Gompertz Differential Equation Calculator . The gompertz equation the following questions consider the gompertz equation , a modification for logistic growth, which is often used for. Have a question about using wolfram|alpha? What is the solution to the gompertz differential equation subject to $p(0)=p_0$? Wolfram|alpha doesn't understand your query. It is easy to verify that the dynamics of x (t) is governed by the gompertz differential equation: Graph functions, plot points, visualize algebraic equations, add sliders, animate graphs, and more. How quickly will i receive a solution. Explore math with our beautiful, free online graphing calculator. The calculator can handle different types of ordinary differential equations, including linear and nonlinear.
from www.chegg.com
The gompertz equation the following questions consider the gompertz equation , a modification for logistic growth, which is often used for. Explore math with our beautiful, free online graphing calculator. What is the solution to the gompertz differential equation subject to $p(0)=p_0$? The calculator can handle different types of ordinary differential equations, including linear and nonlinear. Have a question about using wolfram|alpha? How quickly will i receive a solution. It is easy to verify that the dynamics of x (t) is governed by the gompertz differential equation: Wolfram|alpha doesn't understand your query. Graph functions, plot points, visualize algebraic equations, add sliders, animate graphs, and more.
Solved Suppose that a population Pt follows the following
Gompertz Differential Equation Calculator Have a question about using wolfram|alpha? Wolfram|alpha doesn't understand your query. What is the solution to the gompertz differential equation subject to $p(0)=p_0$? Graph functions, plot points, visualize algebraic equations, add sliders, animate graphs, and more. Explore math with our beautiful, free online graphing calculator. It is easy to verify that the dynamics of x (t) is governed by the gompertz differential equation: The calculator can handle different types of ordinary differential equations, including linear and nonlinear. The gompertz equation the following questions consider the gompertz equation , a modification for logistic growth, which is often used for. How quickly will i receive a solution. Have a question about using wolfram|alpha?
From www.numerade.com
SOLVED point) Another model for a growth function for a limited Gompertz Differential Equation Calculator Have a question about using wolfram|alpha? The gompertz equation the following questions consider the gompertz equation , a modification for logistic growth, which is often used for. It is easy to verify that the dynamics of x (t) is governed by the gompertz differential equation: Graph functions, plot points, visualize algebraic equations, add sliders, animate graphs, and more. What is. Gompertz Differential Equation Calculator.
From www.numerade.com
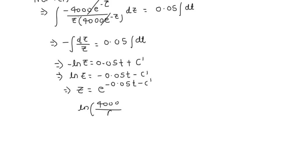
SOLVED Solve the Gompertz differential equation P(t) = 0.15P(t)[ln(800 Gompertz Differential Equation Calculator Explore math with our beautiful, free online graphing calculator. Graph functions, plot points, visualize algebraic equations, add sliders, animate graphs, and more. It is easy to verify that the dynamics of x (t) is governed by the gompertz differential equation: The calculator can handle different types of ordinary differential equations, including linear and nonlinear. Have a question about using wolfram|alpha?. Gompertz Differential Equation Calculator.
From www.chegg.com
Solved (a) Suppose a = b = 1 in the Gompertz differential Gompertz Differential Equation Calculator Have a question about using wolfram|alpha? Wolfram|alpha doesn't understand your query. The calculator can handle different types of ordinary differential equations, including linear and nonlinear. What is the solution to the gompertz differential equation subject to $p(0)=p_0$? The gompertz equation the following questions consider the gompertz equation , a modification for logistic growth, which is often used for. Explore math. Gompertz Differential Equation Calculator.
From www.numerade.com
SOLVED The Gompertz growth curve has proven to be a good model for the Gompertz Differential Equation Calculator Have a question about using wolfram|alpha? What is the solution to the gompertz differential equation subject to $p(0)=p_0$? The gompertz equation the following questions consider the gompertz equation , a modification for logistic growth, which is often used for. It is easy to verify that the dynamics of x (t) is governed by the gompertz differential equation: Explore math with. Gompertz Differential Equation Calculator.
From www.numerade.com
SOLVED Another model for the growth function for a limited population Gompertz Differential Equation Calculator The gompertz equation the following questions consider the gompertz equation , a modification for logistic growth, which is often used for. Wolfram|alpha doesn't understand your query. What is the solution to the gompertz differential equation subject to $p(0)=p_0$? It is easy to verify that the dynamics of x (t) is governed by the gompertz differential equation: The calculator can handle. Gompertz Differential Equation Calculator.
From www.numerade.com
SOLVEDConsider the Gompertz differential equation \frac{d P}{d t}=c P Gompertz Differential Equation Calculator How quickly will i receive a solution. Graph functions, plot points, visualize algebraic equations, add sliders, animate graphs, and more. Wolfram|alpha doesn't understand your query. Explore math with our beautiful, free online graphing calculator. What is the solution to the gompertz differential equation subject to $p(0)=p_0$? The gompertz equation the following questions consider the gompertz equation , a modification for. Gompertz Differential Equation Calculator.
From www.chegg.com
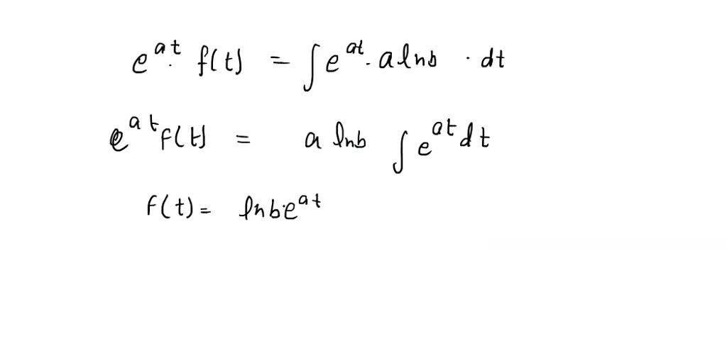
Solved 6. The Gompertz differential equation dy = y (a bln Gompertz Differential Equation Calculator It is easy to verify that the dynamics of x (t) is governed by the gompertz differential equation: Have a question about using wolfram|alpha? Explore math with our beautiful, free online graphing calculator. Wolfram|alpha doesn't understand your query. Graph functions, plot points, visualize algebraic equations, add sliders, animate graphs, and more. What is the solution to the gompertz differential equation. Gompertz Differential Equation Calculator.
From hackaday.io
From the Mendelsohn to the Gompertz growth law • Hackaday.io Gompertz Differential Equation Calculator The gompertz equation the following questions consider the gompertz equation , a modification for logistic growth, which is often used for. Explore math with our beautiful, free online graphing calculator. What is the solution to the gompertz differential equation subject to $p(0)=p_0$? How quickly will i receive a solution. Wolfram|alpha doesn't understand your query. Graph functions, plot points, visualize algebraic. Gompertz Differential Equation Calculator.
From www.chegg.com
Solved 3. (5 points) Gompertz Model with Harvesting The Gompertz Differential Equation Calculator How quickly will i receive a solution. The gompertz equation the following questions consider the gompertz equation , a modification for logistic growth, which is often used for. What is the solution to the gompertz differential equation subject to $p(0)=p_0$? It is easy to verify that the dynamics of x (t) is governed by the gompertz differential equation: Wolfram|alpha doesn't. Gompertz Differential Equation Calculator.
From www.numerade.com
SOLVEDThe Gompertz differential equation, a model for restricted Gompertz Differential Equation Calculator Have a question about using wolfram|alpha? Graph functions, plot points, visualize algebraic equations, add sliders, animate graphs, and more. Wolfram|alpha doesn't understand your query. Explore math with our beautiful, free online graphing calculator. What is the solution to the gompertz differential equation subject to $p(0)=p_0$? It is easy to verify that the dynamics of x (t) is governed by the. Gompertz Differential Equation Calculator.
From www.chegg.com
Solved Suppose that a population Pt follows the following Gompertz Differential Equation Calculator Wolfram|alpha doesn't understand your query. The gompertz equation the following questions consider the gompertz equation , a modification for logistic growth, which is often used for. It is easy to verify that the dynamics of x (t) is governed by the gompertz differential equation: The calculator can handle different types of ordinary differential equations, including linear and nonlinear. Graph functions,. Gompertz Differential Equation Calculator.
From www.numerade.com
SOLVED dP Another differential equation that is used to model Gompertz Differential Equation Calculator What is the solution to the gompertz differential equation subject to $p(0)=p_0$? Explore math with our beautiful, free online graphing calculator. Graph functions, plot points, visualize algebraic equations, add sliders, animate graphs, and more. The calculator can handle different types of ordinary differential equations, including linear and nonlinear. How quickly will i receive a solution. The gompertz equation the following. Gompertz Differential Equation Calculator.
From www.numerade.com
The Gompertz differential equation models the growth of a tumor in Gompertz Differential Equation Calculator Wolfram|alpha doesn't understand your query. Graph functions, plot points, visualize algebraic equations, add sliders, animate graphs, and more. Have a question about using wolfram|alpha? It is easy to verify that the dynamics of x (t) is governed by the gompertz differential equation: The calculator can handle different types of ordinary differential equations, including linear and nonlinear. Explore math with our. Gompertz Differential Equation Calculator.
From www.chegg.com
Solved (a) Suppose a=b=1 in the Gompertz differential Gompertz Differential Equation Calculator What is the solution to the gompertz differential equation subject to $p(0)=p_0$? Have a question about using wolfram|alpha? It is easy to verify that the dynamics of x (t) is governed by the gompertz differential equation: The gompertz equation the following questions consider the gompertz equation , a modification for logistic growth, which is often used for. Wolfram|alpha doesn't understand. Gompertz Differential Equation Calculator.
From www.numerade.com
SOLVEDThe Gompertz differential equation (d y)/(d t)=k y ln((y)/(M Gompertz Differential Equation Calculator Graph functions, plot points, visualize algebraic equations, add sliders, animate graphs, and more. Have a question about using wolfram|alpha? Wolfram|alpha doesn't understand your query. The calculator can handle different types of ordinary differential equations, including linear and nonlinear. How quickly will i receive a solution. It is easy to verify that the dynamics of x (t) is governed by the. Gompertz Differential Equation Calculator.
From www.chegg.com
Solved (a) Suppose a = b = 1 in the Gompertz differential Gompertz Differential Equation Calculator How quickly will i receive a solution. Explore math with our beautiful, free online graphing calculator. The gompertz equation the following questions consider the gompertz equation , a modification for logistic growth, which is often used for. It is easy to verify that the dynamics of x (t) is governed by the gompertz differential equation: Wolfram|alpha doesn't understand your query.. Gompertz Differential Equation Calculator.
From www.numerade.com
SOLVED (1 point) Another model for a growth function for a limited Gompertz Differential Equation Calculator The gompertz equation the following questions consider the gompertz equation , a modification for logistic growth, which is often used for. It is easy to verify that the dynamics of x (t) is governed by the gompertz differential equation: How quickly will i receive a solution. Explore math with our beautiful, free online graphing calculator. Have a question about using. Gompertz Differential Equation Calculator.
From www.numerade.com
⏩SOLVEDExercises 56 and 57 The Gompertz differential equation (d Gompertz Differential Equation Calculator The calculator can handle different types of ordinary differential equations, including linear and nonlinear. Graph functions, plot points, visualize algebraic equations, add sliders, animate graphs, and more. Explore math with our beautiful, free online graphing calculator. The gompertz equation the following questions consider the gompertz equation , a modification for logistic growth, which is often used for. Wolfram|alpha doesn't understand. Gompertz Differential Equation Calculator.
From www.numerade.com
Another model for a growth function for a limited population is given Gompertz Differential Equation Calculator Have a question about using wolfram|alpha? It is easy to verify that the dynamics of x (t) is governed by the gompertz differential equation: The calculator can handle different types of ordinary differential equations, including linear and nonlinear. Wolfram|alpha doesn't understand your query. Graph functions, plot points, visualize algebraic equations, add sliders, animate graphs, and more. The gompertz equation the. Gompertz Differential Equation Calculator.
From www.solutionspile.com
[Solved] 9. Obtain the solution of the Gompertz growth mo Gompertz Differential Equation Calculator Graph functions, plot points, visualize algebraic equations, add sliders, animate graphs, and more. It is easy to verify that the dynamics of x (t) is governed by the gompertz differential equation: The gompertz equation the following questions consider the gompertz equation , a modification for logistic growth, which is often used for. How quickly will i receive a solution. Wolfram|alpha. Gompertz Differential Equation Calculator.
From www.chegg.com
Solved The Gompertz differential equation is Gompertz Differential Equation Calculator It is easy to verify that the dynamics of x (t) is governed by the gompertz differential equation: The gompertz equation the following questions consider the gompertz equation , a modification for logistic growth, which is often used for. Wolfram|alpha doesn't understand your query. Explore math with our beautiful, free online graphing calculator. How quickly will i receive a solution.. Gompertz Differential Equation Calculator.
From www.chegg.com
Solved Solve the Gompertz equation dydt=ryln(Ky), subject Gompertz Differential Equation Calculator The gompertz equation the following questions consider the gompertz equation , a modification for logistic growth, which is often used for. Wolfram|alpha doesn't understand your query. Graph functions, plot points, visualize algebraic equations, add sliders, animate graphs, and more. How quickly will i receive a solution. The calculator can handle different types of ordinary differential equations, including linear and nonlinear.. Gompertz Differential Equation Calculator.
From www.youtube.com
Gompertz Growth Law Differential Equation Derivation YouTube Gompertz Differential Equation Calculator Explore math with our beautiful, free online graphing calculator. How quickly will i receive a solution. Wolfram|alpha doesn't understand your query. The gompertz equation the following questions consider the gompertz equation , a modification for logistic growth, which is often used for. It is easy to verify that the dynamics of x (t) is governed by the gompertz differential equation:. Gompertz Differential Equation Calculator.
From www.chegg.com
Solved dP * = P(a bln P), P >0 is known as the Gompertz Gompertz Differential Equation Calculator Wolfram|alpha doesn't understand your query. How quickly will i receive a solution. Graph functions, plot points, visualize algebraic equations, add sliders, animate graphs, and more. What is the solution to the gompertz differential equation subject to $p(0)=p_0$? The calculator can handle different types of ordinary differential equations, including linear and nonlinear. The gompertz equation the following questions consider the gompertz. Gompertz Differential Equation Calculator.
From www.chegg.com
Solved (a) Suppose a=b=1 in the Gompertz differential Gompertz Differential Equation Calculator What is the solution to the gompertz differential equation subject to $p(0)=p_0$? Wolfram|alpha doesn't understand your query. The gompertz equation the following questions consider the gompertz equation , a modification for logistic growth, which is often used for. The calculator can handle different types of ordinary differential equations, including linear and nonlinear. Have a question about using wolfram|alpha? How quickly. Gompertz Differential Equation Calculator.
From www.numerade.com
SOLVEDRefer to Exercise 18 . Consider the Gompertz differential Gompertz Differential Equation Calculator What is the solution to the gompertz differential equation subject to $p(0)=p_0$? The gompertz equation the following questions consider the gompertz equation , a modification for logistic growth, which is often used for. Have a question about using wolfram|alpha? Wolfram|alpha doesn't understand your query. The calculator can handle different types of ordinary differential equations, including linear and nonlinear. Explore math. Gompertz Differential Equation Calculator.
From www.chegg.com
Solved Gompertz Equation The Gompertz equation dy/dt = y(a Gompertz Differential Equation Calculator How quickly will i receive a solution. Wolfram|alpha doesn't understand your query. The gompertz equation the following questions consider the gompertz equation , a modification for logistic growth, which is often used for. Have a question about using wolfram|alpha? It is easy to verify that the dynamics of x (t) is governed by the gompertz differential equation: Graph functions, plot. Gompertz Differential Equation Calculator.
From www.numerade.com
SOLVEDThe Gompertz differential equation (d y)/(d t)=k y ln((y)/(M Gompertz Differential Equation Calculator It is easy to verify that the dynamics of x (t) is governed by the gompertz differential equation: Have a question about using wolfram|alpha? The calculator can handle different types of ordinary differential equations, including linear and nonlinear. Wolfram|alpha doesn't understand your query. Explore math with our beautiful, free online graphing calculator. Graph functions, plot points, visualize algebraic equations, add. Gompertz Differential Equation Calculator.
From www.youtube.com
The Gompertz Differential Equation and Applications YouTube Gompertz Differential Equation Calculator It is easy to verify that the dynamics of x (t) is governed by the gompertz differential equation: The calculator can handle different types of ordinary differential equations, including linear and nonlinear. Graph functions, plot points, visualize algebraic equations, add sliders, animate graphs, and more. What is the solution to the gompertz differential equation subject to $p(0)=p_0$? Explore math with. Gompertz Differential Equation Calculator.
From www.researchgate.net
(PDF) Classes of Ordinary Differential Equations Obtained for the Gompertz Differential Equation Calculator How quickly will i receive a solution. Wolfram|alpha doesn't understand your query. Explore math with our beautiful, free online graphing calculator. What is the solution to the gompertz differential equation subject to $p(0)=p_0$? Graph functions, plot points, visualize algebraic equations, add sliders, animate graphs, and more. The calculator can handle different types of ordinary differential equations, including linear and nonlinear.. Gompertz Differential Equation Calculator.
From quizlet.com
The Gompertz differential equation, a model for restricted p Quizlet Gompertz Differential Equation Calculator What is the solution to the gompertz differential equation subject to $p(0)=p_0$? The calculator can handle different types of ordinary differential equations, including linear and nonlinear. How quickly will i receive a solution. It is easy to verify that the dynamics of x (t) is governed by the gompertz differential equation: Graph functions, plot points, visualize algebraic equations, add sliders,. Gompertz Differential Equation Calculator.
From www.chegg.com
Solved 3. (5 points) Gompertz Model with Harvesting The Gompertz Differential Equation Calculator Explore math with our beautiful, free online graphing calculator. Wolfram|alpha doesn't understand your query. The calculator can handle different types of ordinary differential equations, including linear and nonlinear. Graph functions, plot points, visualize algebraic equations, add sliders, animate graphs, and more. The gompertz equation the following questions consider the gompertz equation , a modification for logistic growth, which is often. Gompertz Differential Equation Calculator.
From www.chegg.com
Solved Question 4 The Gompertz differential equation at the Gompertz Differential Equation Calculator The calculator can handle different types of ordinary differential equations, including linear and nonlinear. What is the solution to the gompertz differential equation subject to $p(0)=p_0$? The gompertz equation the following questions consider the gompertz equation , a modification for logistic growth, which is often used for. Wolfram|alpha doesn't understand your query. Graph functions, plot points, visualize algebraic equations, add. Gompertz Differential Equation Calculator.
From www.chegg.com
Solved The Gompertz differential equation is Gompertz Differential Equation Calculator Explore math with our beautiful, free online graphing calculator. The gompertz equation the following questions consider the gompertz equation , a modification for logistic growth, which is often used for. Graph functions, plot points, visualize algebraic equations, add sliders, animate graphs, and more. Wolfram|alpha doesn't understand your query. What is the solution to the gompertz differential equation subject to $p(0)=p_0$?. Gompertz Differential Equation Calculator.
From www.chegg.com
Solved (a) Suppose a = b = 1 in the Gompertz differential Gompertz Differential Equation Calculator How quickly will i receive a solution. What is the solution to the gompertz differential equation subject to $p(0)=p_0$? The calculator can handle different types of ordinary differential equations, including linear and nonlinear. It is easy to verify that the dynamics of x (t) is governed by the gompertz differential equation: Graph functions, plot points, visualize algebraic equations, add sliders,. Gompertz Differential Equation Calculator.