Tompkins County Ny Birth Certificate . Access certified birth certificate copies, genealogical research, and. Vital records | tompkins county ny. Vital records in tompkins county (new york) find essential resources for certified copies of vital records in tompkins county, ny. Discover how to request and retrieve birth records in tompkins county, ny. Vital records has birth records (since 1881) for all of new york state except new york city. Application to local registrar for copy of birth certificate. Birth and death records for those born or died in tompkins county from 1880 to the present. Who can obtain a birth certificate copy? The tompkins county health department, vital records division: How to obtain a copy of a birth certificate or transcript for someone born in tompkins county. It does not have these records for new york city (the. Click here to download a request form(pdf, 8k.) print and complete the form. Click here to download a request.
from www.pinterest.com
Who can obtain a birth certificate copy? Birth and death records for those born or died in tompkins county from 1880 to the present. Click here to download a request form(pdf, 8k.) print and complete the form. Discover how to request and retrieve birth records in tompkins county, ny. Access certified birth certificate copies, genealogical research, and. The tompkins county health department, vital records division: How to obtain a copy of a birth certificate or transcript for someone born in tompkins county. Vital records | tompkins county ny. Vital records has birth records (since 1881) for all of new york state except new york city. Vital records in tompkins county (new york) find essential resources for certified copies of vital records in tompkins county, ny.
Lucy Diedrich Birth Certificate, New York Birth certificate, Vital
Tompkins County Ny Birth Certificate Application to local registrar for copy of birth certificate. Vital records | tompkins county ny. Click here to download a request form(pdf, 8k.) print and complete the form. Birth and death records for those born or died in tompkins county from 1880 to the present. It does not have these records for new york city (the. How to obtain a copy of a birth certificate or transcript for someone born in tompkins county. Application to local registrar for copy of birth certificate. Vital records in tompkins county (new york) find essential resources for certified copies of vital records in tompkins county, ny. Click here to download a request. Discover how to request and retrieve birth records in tompkins county, ny. The tompkins county health department, vital records division: Access certified birth certificate copies, genealogical research, and. Who can obtain a birth certificate copy? Vital records has birth records (since 1881) for all of new york state except new york city.
From www.tompkinscountyny.gov
NYS CountyWide Shared Services Initiative Tompkins County NY Tompkins County Ny Birth Certificate Click here to download a request form(pdf, 8k.) print and complete the form. Application to local registrar for copy of birth certificate. Who can obtain a birth certificate copy? It does not have these records for new york city (the. Vital records | tompkins county ny. Discover how to request and retrieve birth records in tompkins county, ny. Access certified. Tompkins County Ny Birth Certificate.
From playerhurt30.pythonanywhere.com
How To Get A Certified Birth Certificate Playerhurt30 Tompkins County Ny Birth Certificate Vital records in tompkins county (new york) find essential resources for certified copies of vital records in tompkins county, ny. Application to local registrar for copy of birth certificate. Discover how to request and retrieve birth records in tompkins county, ny. Who can obtain a birth certificate copy? Vital records has birth records (since 1881) for all of new york. Tompkins County Ny Birth Certificate.
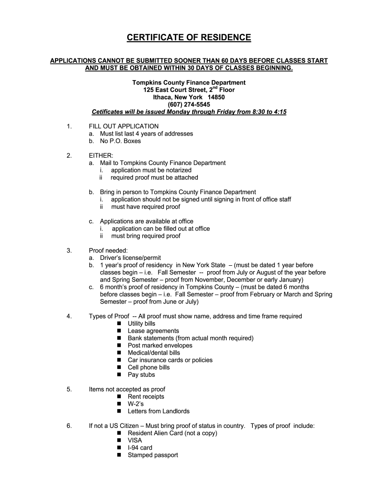
From www.pdffiller.com
Certificate Residence County Fill Online, Printable, Fillable, Blank Tompkins County Ny Birth Certificate Click here to download a request form(pdf, 8k.) print and complete the form. Vital records in tompkins county (new york) find essential resources for certified copies of vital records in tompkins county, ny. How to obtain a copy of a birth certificate or transcript for someone born in tompkins county. Who can obtain a birth certificate copy? Access certified birth. Tompkins County Ny Birth Certificate.
From www.mapsofworld.com
Tompkins County Map Map of Tompkins County New York Tompkins County Ny Birth Certificate Access certified birth certificate copies, genealogical research, and. How to obtain a copy of a birth certificate or transcript for someone born in tompkins county. The tompkins county health department, vital records division: Who can obtain a birth certificate copy? Birth and death records for those born or died in tompkins county from 1880 to the present. Vital records in. Tompkins County Ny Birth Certificate.
From www.pinterest.com
copy of birth certificate nyc amazing vitalchek orders birth Tompkins County Ny Birth Certificate Who can obtain a birth certificate copy? Vital records has birth records (since 1881) for all of new york state except new york city. How to obtain a copy of a birth certificate or transcript for someone born in tompkins county. Vital records in tompkins county (new york) find essential resources for certified copies of vital records in tompkins county,. Tompkins County Ny Birth Certificate.
From templateways.com
USA New York Birth Certificate Template Tompkins County Ny Birth Certificate Birth and death records for those born or died in tompkins county from 1880 to the present. It does not have these records for new york city (the. Access certified birth certificate copies, genealogical research, and. The tompkins county health department, vital records division: How to obtain a copy of a birth certificate or transcript for someone born in tompkins. Tompkins County Ny Birth Certificate.
From www.psdstores.com
NewYork Birth Certificate Template PSD Stores Tompkins County Ny Birth Certificate Access certified birth certificate copies, genealogical research, and. Discover how to request and retrieve birth records in tompkins county, ny. Click here to download a request form(pdf, 8k.) print and complete the form. Application to local registrar for copy of birth certificate. The tompkins county health department, vital records division: Vital records has birth records (since 1881) for all of. Tompkins County Ny Birth Certificate.
From govinfo.me
Procedure to Apply for Birth Certificate in Maharashtra GovInfo.me Tompkins County Ny Birth Certificate Discover how to request and retrieve birth records in tompkins county, ny. Access certified birth certificate copies, genealogical research, and. How to obtain a copy of a birth certificate or transcript for someone born in tompkins county. It does not have these records for new york city (the. Click here to download a request form(pdf, 8k.) print and complete the. Tompkins County Ny Birth Certificate.
From www.wgrz.com
New law allows New York adoptees to obtain birth certificates Tompkins County Ny Birth Certificate Application to local registrar for copy of birth certificate. Birth and death records for those born or died in tompkins county from 1880 to the present. Click here to download a request. Access certified birth certificate copies, genealogical research, and. It does not have these records for new york city (the. How to obtain a copy of a birth certificate. Tompkins County Ny Birth Certificate.
From www.templateroller.com
Monroe County, New York Birth Certificate Application Fill Out, Sign Tompkins County Ny Birth Certificate The tompkins county health department, vital records division: Vital records has birth records (since 1881) for all of new york state except new york city. It does not have these records for new york city (the. Vital records | tompkins county ny. Who can obtain a birth certificate copy? How to obtain a copy of a birth certificate or transcript. Tompkins County Ny Birth Certificate.
From dxoosrpvy.blob.core.windows.net
Vital Statistics Of New Jersey Birth Certificate at Terrance Phillips blog Tompkins County Ny Birth Certificate Vital records has birth records (since 1881) for all of new york state except new york city. Who can obtain a birth certificate copy? It does not have these records for new york city (the. Click here to download a request. Vital records | tompkins county ny. Birth and death records for those born or died in tompkins county from. Tompkins County Ny Birth Certificate.
From adopteerevelations.com
Original Birth Certificates Available to NY Adoptees Adoptee Revelations Tompkins County Ny Birth Certificate Birth and death records for those born or died in tompkins county from 1880 to the present. The tompkins county health department, vital records division: It does not have these records for new york city (the. Vital records | tompkins county ny. Access certified birth certificate copies, genealogical research, and. Who can obtain a birth certificate copy? Vital records in. Tompkins County Ny Birth Certificate.
From fyogqycaf.blob.core.windows.net
How Do I Find Death Records In Nyc at Penny Perry blog Tompkins County Ny Birth Certificate Birth and death records for those born or died in tompkins county from 1880 to the present. Vital records has birth records (since 1881) for all of new york state except new york city. Application to local registrar for copy of birth certificate. Access certified birth certificate copies, genealogical research, and. Click here to download a request form(pdf, 8k.) print. Tompkins County Ny Birth Certificate.
From www.pinterest.com
Lucy Diedrich Birth Certificate, New York Birth certificate, Vital Tompkins County Ny Birth Certificate How to obtain a copy of a birth certificate or transcript for someone born in tompkins county. Click here to download a request. It does not have these records for new york city (the. Vital records | tompkins county ny. Click here to download a request form(pdf, 8k.) print and complete the form. Vital records has birth records (since 1881). Tompkins County Ny Birth Certificate.
From exoysbuwo.blob.core.windows.net
Can You Travel With A Birth Certificate at Anthony Laureano blog Tompkins County Ny Birth Certificate Vital records in tompkins county (new york) find essential resources for certified copies of vital records in tompkins county, ny. Birth and death records for those born or died in tompkins county from 1880 to the present. Application to local registrar for copy of birth certificate. Discover how to request and retrieve birth records in tompkins county, ny. It does. Tompkins County Ny Birth Certificate.
From notary.harryotto.com
Can you Apostille your NYC Birth Certificate? Tompkins County Ny Birth Certificate How to obtain a copy of a birth certificate or transcript for someone born in tompkins county. Click here to download a request. Who can obtain a birth certificate copy? Access certified birth certificate copies, genealogical research, and. Vital records in tompkins county (new york) find essential resources for certified copies of vital records in tompkins county, ny. It does. Tompkins County Ny Birth Certificate.
From www.pdffiller.com
Fillable Online Tompkins County ClerkTompkins County Clerk Ithaca, NY Tompkins County Ny Birth Certificate It does not have these records for new york city (the. Birth and death records for those born or died in tompkins county from 1880 to the present. Access certified birth certificate copies, genealogical research, and. Click here to download a request. Vital records has birth records (since 1881) for all of new york state except new york city. Discover. Tompkins County Ny Birth Certificate.
From www.changeyourwindows.com
Blank Birth Certificate Nyc Outlet Tompkins County Ny Birth Certificate Click here to download a request form(pdf, 8k.) print and complete the form. The tompkins county health department, vital records division: Vital records in tompkins county (new york) find essential resources for certified copies of vital records in tompkins county, ny. Click here to download a request. Discover how to request and retrieve birth records in tompkins county, ny. Who. Tompkins County Ny Birth Certificate.
From musteruebersetzungen.de
Certification of Birth New York Musterübersetzungen von Urkunden Tompkins County Ny Birth Certificate Click here to download a request. Vital records has birth records (since 1881) for all of new york state except new york city. Access certified birth certificate copies, genealogical research, and. It does not have these records for new york city (the. Click here to download a request form(pdf, 8k.) print and complete the form. How to obtain a copy. Tompkins County Ny Birth Certificate.
From tompkinscountyny.gov
Tompkins County Whole Health Announces Available Funding for Three Tompkins County Ny Birth Certificate Vital records in tompkins county (new york) find essential resources for certified copies of vital records in tompkins county, ny. It does not have these records for new york city (the. Access certified birth certificate copies, genealogical research, and. Birth and death records for those born or died in tompkins county from 1880 to the present. Click here to download. Tompkins County Ny Birth Certificate.
From www.pinterest.com
Apostille for New York Birth Certificate Foreign Documents Express Tompkins County Ny Birth Certificate Birth and death records for those born or died in tompkins county from 1880 to the present. Vital records | tompkins county ny. The tompkins county health department, vital records division: Access certified birth certificate copies, genealogical research, and. Click here to download a request. Who can obtain a birth certificate copy? It does not have these records for new. Tompkins County Ny Birth Certificate.
From dxorfvjsu.blob.core.windows.net
Long Island Ny Birth Certificate at Benjamin Paul blog Tompkins County Ny Birth Certificate Vital records has birth records (since 1881) for all of new york state except new york city. Application to local registrar for copy of birth certificate. Who can obtain a birth certificate copy? Vital records | tompkins county ny. Click here to download a request form(pdf, 8k.) print and complete the form. It does not have these records for new. Tompkins County Ny Birth Certificate.
From forbiddenfamily.com
My Revoked and Sealed Birth Certificate and its Replacement Issued Tompkins County Ny Birth Certificate Access certified birth certificate copies, genealogical research, and. Click here to download a request form(pdf, 8k.) print and complete the form. Click here to download a request. The tompkins county health department, vital records division: How to obtain a copy of a birth certificate or transcript for someone born in tompkins county. It does not have these records for new. Tompkins County Ny Birth Certificate.
From davida.davivienda.com
New York Birth Certificate Template Printable Word Searches Tompkins County Ny Birth Certificate Vital records in tompkins county (new york) find essential resources for certified copies of vital records in tompkins county, ny. Vital records has birth records (since 1881) for all of new york state except new york city. It does not have these records for new york city (the. Click here to download a request. Vital records | tompkins county ny.. Tompkins County Ny Birth Certificate.
From www2.tompkinscountyny.gov
Planning Natural Features Focus Areas Tompkins County NY Tompkins County Ny Birth Certificate Vital records has birth records (since 1881) for all of new york state except new york city. Vital records in tompkins county (new york) find essential resources for certified copies of vital records in tompkins county, ny. Who can obtain a birth certificate copy? Vital records | tompkins county ny. Click here to download a request form(pdf, 8k.) print and. Tompkins County Ny Birth Certificate.
From www.notary911.org
Apostille Service 1 Apostille Service in New York Tompkins County Ny Birth Certificate Discover how to request and retrieve birth records in tompkins county, ny. The tompkins county health department, vital records division: Click here to download a request. Who can obtain a birth certificate copy? It does not have these records for new york city (the. Click here to download a request form(pdf, 8k.) print and complete the form. Application to local. Tompkins County Ny Birth Certificate.
From recordmecca.com
Velvet Underground Guitarist Sterling Morrison’s Birth Certificate Tompkins County Ny Birth Certificate Click here to download a request form(pdf, 8k.) print and complete the form. Vital records in tompkins county (new york) find essential resources for certified copies of vital records in tompkins county, ny. Vital records has birth records (since 1881) for all of new york state except new york city. Access certified birth certificate copies, genealogical research, and. The tompkins. Tompkins County Ny Birth Certificate.
From www.pinterest.com
Image result for 1920 new york birth certificate Birth certificate Tompkins County Ny Birth Certificate Vital records in tompkins county (new york) find essential resources for certified copies of vital records in tompkins county, ny. Vital records | tompkins county ny. Click here to download a request form(pdf, 8k.) print and complete the form. Application to local registrar for copy of birth certificate. Access certified birth certificate copies, genealogical research, and. The tompkins county health. Tompkins County Ny Birth Certificate.
From prntbl.concejomunicipaldechinu.gov.co
Birth Certificate Syracuse Ny prntbl.concejomunicipaldechinu.gov.co Tompkins County Ny Birth Certificate Access certified birth certificate copies, genealogical research, and. Vital records in tompkins county (new york) find essential resources for certified copies of vital records in tompkins county, ny. Vital records | tompkins county ny. It does not have these records for new york city (the. Click here to download a request form(pdf, 8k.) print and complete the form. Application to. Tompkins County Ny Birth Certificate.
From mavink.com
Nyc Long Form Birth Certificate Tompkins County Ny Birth Certificate Click here to download a request. Vital records has birth records (since 1881) for all of new york state except new york city. Vital records in tompkins county (new york) find essential resources for certified copies of vital records in tompkins county, ny. The tompkins county health department, vital records division: Application to local registrar for copy of birth certificate.. Tompkins County Ny Birth Certificate.
From forum.wordreference.com
In your country, does any labour proof or certificate exists Tompkins County Ny Birth Certificate Discover how to request and retrieve birth records in tompkins county, ny. Vital records | tompkins county ny. Vital records has birth records (since 1881) for all of new york state except new york city. Vital records in tompkins county (new york) find essential resources for certified copies of vital records in tompkins county, ny. Application to local registrar for. Tompkins County Ny Birth Certificate.
From curtiswrightmaps.com
Map of Tompkins County New York Curtis Wright Maps Tompkins County Ny Birth Certificate The tompkins county health department, vital records division: Who can obtain a birth certificate copy? Click here to download a request. Discover how to request and retrieve birth records in tompkins county, ny. Application to local registrar for copy of birth certificate. It does not have these records for new york city (the. How to obtain a copy of a. Tompkins County Ny Birth Certificate.
From mungfali.com
Tompkins County Towns Map Tompkins County Ny Birth Certificate Birth and death records for those born or died in tompkins county from 1880 to the present. Vital records in tompkins county (new york) find essential resources for certified copies of vital records in tompkins county, ny. Who can obtain a birth certificate copy? Access certified birth certificate copies, genealogical research, and. Discover how to request and retrieve birth records. Tompkins County Ny Birth Certificate.
From shop.old-maps.com
Tompkins County New York 1840 Burr State Atlas OLD MAPS Tompkins County Ny Birth Certificate How to obtain a copy of a birth certificate or transcript for someone born in tompkins county. Who can obtain a birth certificate copy? The tompkins county health department, vital records division: Vital records has birth records (since 1881) for all of new york state except new york city. Access certified birth certificate copies, genealogical research, and. Discover how to. Tompkins County Ny Birth Certificate.
From dl-uk.apowersoft.com
New York Birth Certificate Template Tompkins County Ny Birth Certificate How to obtain a copy of a birth certificate or transcript for someone born in tompkins county. Application to local registrar for copy of birth certificate. Access certified birth certificate copies, genealogical research, and. Vital records in tompkins county (new york) find essential resources for certified copies of vital records in tompkins county, ny. Discover how to request and retrieve. Tompkins County Ny Birth Certificate.