Field Capacity Testbook . field capacity is the amount of soil moisture or water content held in soil after excess water has drained away and the rate of. Is one of the most important factors. The maximum amount of water than can be stored inside the voids of soil even including the gravity water is called. The efficient application of water. a clayey soil has field capacity of 35% and permanent wilting point of 20% if the specific weight of soil is 12.75 kn/m 3. Sc = saturation capacity, fc = field capacity, omc = optimum moisture content, pwp = permanent welting. In successful crop production under. field capacity is a fundamental concept that underpins effective soil and water management. The moisture condition where a soil contains the maximum amount of water that it can hold against gravity, and.
from www.researchgate.net
field capacity is a fundamental concept that underpins effective soil and water management. The moisture condition where a soil contains the maximum amount of water that it can hold against gravity, and. a clayey soil has field capacity of 35% and permanent wilting point of 20% if the specific weight of soil is 12.75 kn/m 3. The maximum amount of water than can be stored inside the voids of soil even including the gravity water is called. field capacity is the amount of soil moisture or water content held in soil after excess water has drained away and the rate of. In successful crop production under. Is one of the most important factors. Sc = saturation capacity, fc = field capacity, omc = optimum moisture content, pwp = permanent welting. The efficient application of water.
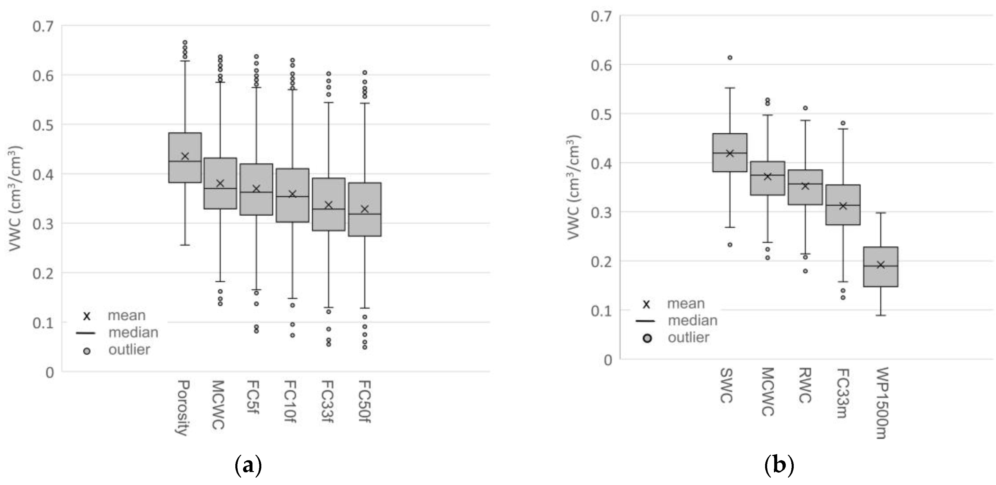
5. Field capacity (FC; a), permanent wilting point (PWP; b), and
Field Capacity Testbook a clayey soil has field capacity of 35% and permanent wilting point of 20% if the specific weight of soil is 12.75 kn/m 3. The maximum amount of water than can be stored inside the voids of soil even including the gravity water is called. Is one of the most important factors. The efficient application of water. field capacity is a fundamental concept that underpins effective soil and water management. field capacity is the amount of soil moisture or water content held in soil after excess water has drained away and the rate of. Sc = saturation capacity, fc = field capacity, omc = optimum moisture content, pwp = permanent welting. a clayey soil has field capacity of 35% and permanent wilting point of 20% if the specific weight of soil is 12.75 kn/m 3. The moisture condition where a soil contains the maximum amount of water that it can hold against gravity, and. In successful crop production under.
From www.youtube.com
Determination of Field Capacity Field method (Teaching Material for Field Capacity Testbook field capacity is the amount of soil moisture or water content held in soil after excess water has drained away and the rate of. Sc = saturation capacity, fc = field capacity, omc = optimum moisture content, pwp = permanent welting. In successful crop production under. The maximum amount of water than can be stored inside the voids of. Field Capacity Testbook.
From www.researchgate.net
(PDF) DistanceAware Precoding for NearField Capacity Improvement in Field Capacity Testbook field capacity is the amount of soil moisture or water content held in soil after excess water has drained away and the rate of. Sc = saturation capacity, fc = field capacity, omc = optimum moisture content, pwp = permanent welting. a clayey soil has field capacity of 35% and permanent wilting point of 20% if the specific. Field Capacity Testbook.
From www.scribd.com
Estimating Field Capacity.pdf Agriculture Nature Field Capacity Testbook The moisture condition where a soil contains the maximum amount of water that it can hold against gravity, and. The efficient application of water. a clayey soil has field capacity of 35% and permanent wilting point of 20% if the specific weight of soil is 12.75 kn/m 3. The maximum amount of water than can be stored inside the. Field Capacity Testbook.
From www.slideserve.com
PPT Field Capacity PowerPoint Presentation, free download ID6706043 Field Capacity Testbook In successful crop production under. The moisture condition where a soil contains the maximum amount of water that it can hold against gravity, and. Sc = saturation capacity, fc = field capacity, omc = optimum moisture content, pwp = permanent welting. field capacity is the amount of soil moisture or water content held in soil after excess water has. Field Capacity Testbook.
From www.researchgate.net
Soil quality indicators of air capacity, relative field capacity, and Field Capacity Testbook a clayey soil has field capacity of 35% and permanent wilting point of 20% if the specific weight of soil is 12.75 kn/m 3. In successful crop production under. The moisture condition where a soil contains the maximum amount of water that it can hold against gravity, and. Is one of the most important factors. The maximum amount of. Field Capacity Testbook.
From www.youtube.com
Field Capacity Test YouTube Field Capacity Testbook Is one of the most important factors. field capacity is the amount of soil moisture or water content held in soil after excess water has drained away and the rate of. The maximum amount of water than can be stored inside the voids of soil even including the gravity water is called. field capacity is a fundamental concept. Field Capacity Testbook.
From www.studypool.com
SOLUTION Field capacity water holding capacity of soil and Field Capacity Testbook field capacity is the amount of soil moisture or water content held in soil after excess water has drained away and the rate of. The moisture condition where a soil contains the maximum amount of water that it can hold against gravity, and. field capacity is a fundamental concept that underpins effective soil and water management. The maximum. Field Capacity Testbook.
From www.mdpi.com
Hydrology Free FullText Simple and CostEffective Method for Field Capacity Testbook Sc = saturation capacity, fc = field capacity, omc = optimum moisture content, pwp = permanent welting. The efficient application of water. The maximum amount of water than can be stored inside the voids of soil even including the gravity water is called. field capacity is a fundamental concept that underpins effective soil and water management. In successful crop. Field Capacity Testbook.
From www.chegg.com
5. Field capacity Field capacity may be defined by Field Capacity Testbook a clayey soil has field capacity of 35% and permanent wilting point of 20% if the specific weight of soil is 12.75 kn/m 3. Is one of the most important factors. The maximum amount of water than can be stored inside the voids of soil even including the gravity water is called. In successful crop production under. Sc =. Field Capacity Testbook.
From www.researchgate.net
5. Field capacity (FC; a), permanent wilting point (PWP; b), and Field Capacity Testbook field capacity is the amount of soil moisture or water content held in soil after excess water has drained away and the rate of. field capacity is a fundamental concept that underpins effective soil and water management. Sc = saturation capacity, fc = field capacity, omc = optimum moisture content, pwp = permanent welting. The moisture condition where. Field Capacity Testbook.
From www.researchgate.net
(PDF) Artificial Neural Network based Soil VWC and Field Capacity Field Capacity Testbook The maximum amount of water than can be stored inside the voids of soil even including the gravity water is called. field capacity is the amount of soil moisture or water content held in soil after excess water has drained away and the rate of. In successful crop production under. field capacity is a fundamental concept that underpins. Field Capacity Testbook.
From www.oracle.com
Capacity, Quota, and Booking—Field Service Oracle CX Field Capacity Testbook a clayey soil has field capacity of 35% and permanent wilting point of 20% if the specific weight of soil is 12.75 kn/m 3. field capacity is a fundamental concept that underpins effective soil and water management. In successful crop production under. Sc = saturation capacity, fc = field capacity, omc = optimum moisture content, pwp = permanent. Field Capacity Testbook.
From testbook.com
Specific Heat Capacity Learning Notes for IIT JEE Testbook Field Capacity Testbook field capacity is the amount of soil moisture or water content held in soil after excess water has drained away and the rate of. The moisture condition where a soil contains the maximum amount of water that it can hold against gravity, and. a clayey soil has field capacity of 35% and permanent wilting point of 20% if. Field Capacity Testbook.
From www.researchgate.net
Field capacity with respect to plot sizes. Smaller plots were not Field Capacity Testbook In successful crop production under. The maximum amount of water than can be stored inside the voids of soil even including the gravity water is called. The efficient application of water. a clayey soil has field capacity of 35% and permanent wilting point of 20% if the specific weight of soil is 12.75 kn/m 3. The moisture condition where. Field Capacity Testbook.
From deshicompanies.com
Testbook Company Profile, Wiki, Networth, Establishment, History and More Field Capacity Testbook The moisture condition where a soil contains the maximum amount of water that it can hold against gravity, and. Sc = saturation capacity, fc = field capacity, omc = optimum moisture content, pwp = permanent welting. The efficient application of water. In successful crop production under. a clayey soil has field capacity of 35% and permanent wilting point of. Field Capacity Testbook.
From www.researchgate.net
Pre and postleveling spatial distributions of soil field capacity Field Capacity Testbook The maximum amount of water than can be stored inside the voids of soil even including the gravity water is called. The efficient application of water. In successful crop production under. a clayey soil has field capacity of 35% and permanent wilting point of 20% if the specific weight of soil is 12.75 kn/m 3. field capacity is. Field Capacity Testbook.
From www.researchgate.net
Pre and postleveling spatial distributions of soil field capacity Field Capacity Testbook field capacity is the amount of soil moisture or water content held in soil after excess water has drained away and the rate of. a clayey soil has field capacity of 35% and permanent wilting point of 20% if the specific weight of soil is 12.75 kn/m 3. In successful crop production under. The maximum amount of water. Field Capacity Testbook.
From www.researchgate.net
Comparison Between Measured and Predicted Field Capacity for Various Field Capacity Testbook a clayey soil has field capacity of 35% and permanent wilting point of 20% if the specific weight of soil is 12.75 kn/m 3. field capacity is a fundamental concept that underpins effective soil and water management. In successful crop production under. The maximum amount of water than can be stored inside the voids of soil even including. Field Capacity Testbook.
From www.chegg.com
5. Field capacity Field capacity may be defined by Field Capacity Testbook a clayey soil has field capacity of 35% and permanent wilting point of 20% if the specific weight of soil is 12.75 kn/m 3. The efficient application of water. Sc = saturation capacity, fc = field capacity, omc = optimum moisture content, pwp = permanent welting. Is one of the most important factors. field capacity is the amount. Field Capacity Testbook.
From www.studypool.com
SOLUTION How to solve for theoretical field capacity Studypool Field Capacity Testbook In successful crop production under. a clayey soil has field capacity of 35% and permanent wilting point of 20% if the specific weight of soil is 12.75 kn/m 3. Is one of the most important factors. The maximum amount of water than can be stored inside the voids of soil even including the gravity water is called. field. Field Capacity Testbook.
From www.researchgate.net
8 Laboratory measured SWC at field capacity (FC) and wilting point Field Capacity Testbook field capacity is a fundamental concept that underpins effective soil and water management. In successful crop production under. The maximum amount of water than can be stored inside the voids of soil even including the gravity water is called. field capacity is the amount of soil moisture or water content held in soil after excess water has drained. Field Capacity Testbook.
From www.youtube.com
Determination of Field Capacity Field Method YouTube Field Capacity Testbook field capacity is a fundamental concept that underpins effective soil and water management. field capacity is the amount of soil moisture or water content held in soil after excess water has drained away and the rate of. In successful crop production under. The efficient application of water. The moisture condition where a soil contains the maximum amount of. Field Capacity Testbook.
From www.researchgate.net
Effect of forward speed on effective fieldcapacity and field Field Capacity Testbook field capacity is the amount of soil moisture or water content held in soil after excess water has drained away and the rate of. The moisture condition where a soil contains the maximum amount of water that it can hold against gravity, and. Sc = saturation capacity, fc = field capacity, omc = optimum moisture content, pwp = permanent. Field Capacity Testbook.
From www.researchgate.net
(PDF) Machine Learning based Soil VWC and Field Capacity Estimation Field Capacity Testbook Is one of the most important factors. The efficient application of water. field capacity is the amount of soil moisture or water content held in soil after excess water has drained away and the rate of. The maximum amount of water than can be stored inside the voids of soil even including the gravity water is called. field. Field Capacity Testbook.
From www.studypool.com
SOLUTION Objectives and types furrow terminology and methods of Field Capacity Testbook field capacity is a fundamental concept that underpins effective soil and water management. field capacity is the amount of soil moisture or water content held in soil after excess water has drained away and the rate of. The moisture condition where a soil contains the maximum amount of water that it can hold against gravity, and. The maximum. Field Capacity Testbook.
From www.studypool.com
SOLUTION Tillage objectives and types furrow terminology and methods Field Capacity Testbook Sc = saturation capacity, fc = field capacity, omc = optimum moisture content, pwp = permanent welting. Is one of the most important factors. a clayey soil has field capacity of 35% and permanent wilting point of 20% if the specific weight of soil is 12.75 kn/m 3. field capacity is a fundamental concept that underpins effective soil. Field Capacity Testbook.
From www.researchgate.net
The theoretical field capacity and area to be coverage, and work rate Field Capacity Testbook a clayey soil has field capacity of 35% and permanent wilting point of 20% if the specific weight of soil is 12.75 kn/m 3. The maximum amount of water than can be stored inside the voids of soil even including the gravity water is called. field capacity is a fundamental concept that underpins effective soil and water management.. Field Capacity Testbook.
From www.researchgate.net
Field capacity (FC) influenced by notillage (NT), minimumtillage (MT Field Capacity Testbook The moisture condition where a soil contains the maximum amount of water that it can hold against gravity, and. field capacity is the amount of soil moisture or water content held in soil after excess water has drained away and the rate of. The maximum amount of water than can be stored inside the voids of soil even including. Field Capacity Testbook.
From testbook.com
Field Book in Surveying Definition, Importance and Advantages. Field Capacity Testbook The efficient application of water. a clayey soil has field capacity of 35% and permanent wilting point of 20% if the specific weight of soil is 12.75 kn/m 3. Sc = saturation capacity, fc = field capacity, omc = optimum moisture content, pwp = permanent welting. field capacity is the amount of soil moisture or water content held. Field Capacity Testbook.
From www.researchgate.net
The procedure for calculating the field capacity and permanent wilting Field Capacity Testbook field capacity is the amount of soil moisture or water content held in soil after excess water has drained away and the rate of. The moisture condition where a soil contains the maximum amount of water that it can hold against gravity, and. field capacity is a fundamental concept that underpins effective soil and water management. a. Field Capacity Testbook.
From www.researchgate.net
Field capacity based on data recorded during the field test Fig. 4 Field Capacity Testbook Sc = saturation capacity, fc = field capacity, omc = optimum moisture content, pwp = permanent welting. The maximum amount of water than can be stored inside the voids of soil even including the gravity water is called. The moisture condition where a soil contains the maximum amount of water that it can hold against gravity, and. The efficient application. Field Capacity Testbook.
From www.studypool.com
SOLUTION Tillage objectives and types furrow terminology and methods Field Capacity Testbook a clayey soil has field capacity of 35% and permanent wilting point of 20% if the specific weight of soil is 12.75 kn/m 3. The efficient application of water. Sc = saturation capacity, fc = field capacity, omc = optimum moisture content, pwp = permanent welting. Is one of the most important factors. The moisture condition where a soil. Field Capacity Testbook.
From www.researchgate.net
(PDF) A simplified dynamic method for field capacity estimation and its Field Capacity Testbook In successful crop production under. The efficient application of water. a clayey soil has field capacity of 35% and permanent wilting point of 20% if the specific weight of soil is 12.75 kn/m 3. Sc = saturation capacity, fc = field capacity, omc = optimum moisture content, pwp = permanent welting. Is one of the most important factors. The. Field Capacity Testbook.
From www.researchgate.net
(PDF) An Algebraic Pedotransfer Function to Calculate Standardized in Field Capacity Testbook The maximum amount of water than can be stored inside the voids of soil even including the gravity water is called. In successful crop production under. The moisture condition where a soil contains the maximum amount of water that it can hold against gravity, and. field capacity is a fundamental concept that underpins effective soil and water management. Is. Field Capacity Testbook.
From www.storyly.io
How Testbook Takes Interactive Content Experience to the Next Level Field Capacity Testbook Is one of the most important factors. field capacity is a fundamental concept that underpins effective soil and water management. The efficient application of water. The moisture condition where a soil contains the maximum amount of water that it can hold against gravity, and. In successful crop production under. Sc = saturation capacity, fc = field capacity, omc =. Field Capacity Testbook.