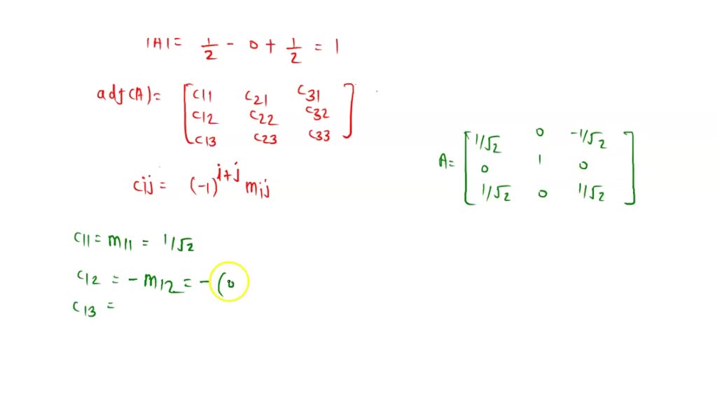
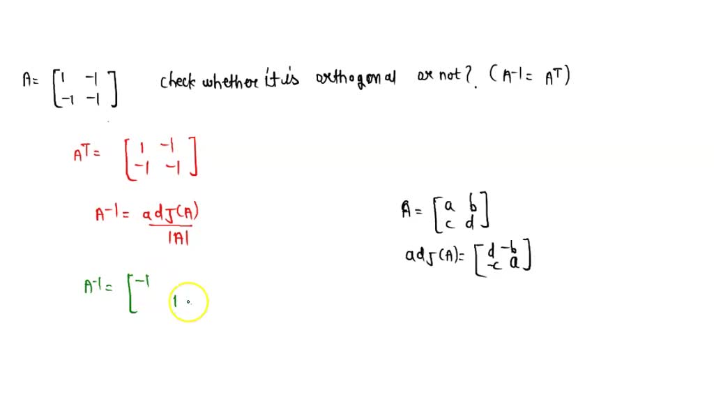
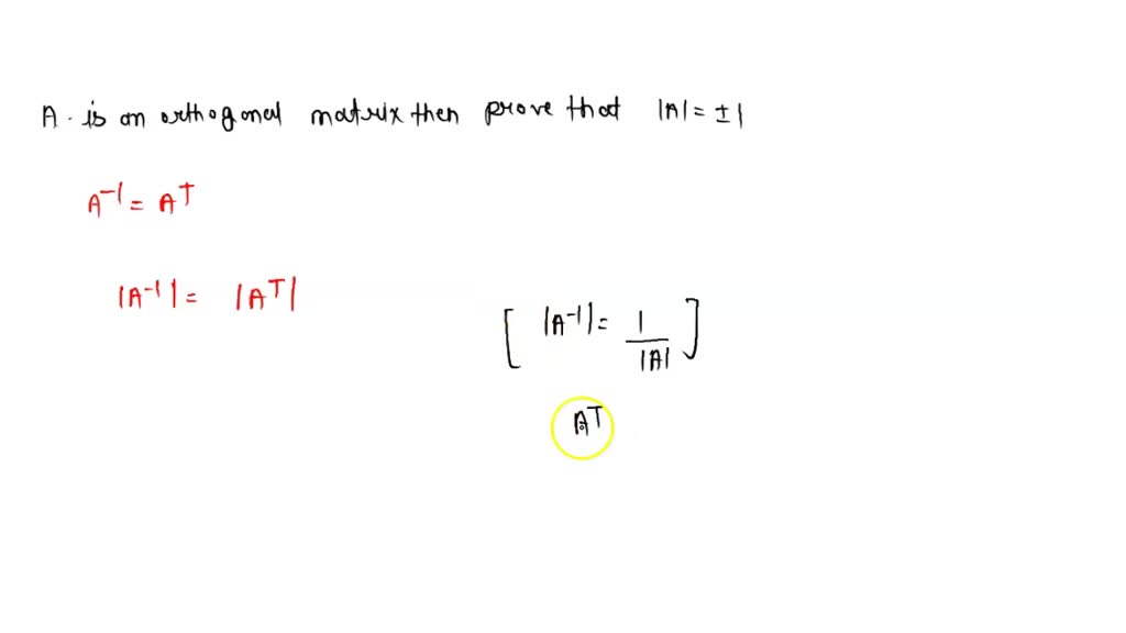
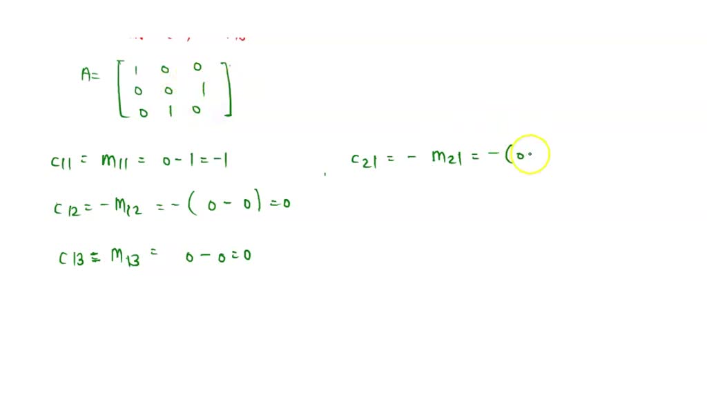
Orthogonal Matrix Is Invertible . Also, the product of an orthogonal matrix and its transpose is equal to i. an \(n\times n\) matrix \(a\) is said to be non defective or diagonalizable if there exists an invertible matrix \(p\) such that. suppose u u is an n × n n × n (n ∈z+ n ∈ z +) orthogonal matrix. I understand for u u. a square matrix with real numbers or elements is said to be an orthogonal matrix if its transpose is equal to its inverse. Show that u u is invertible. represent your orthogonal matrix o as element of the lie group of orthogonal matrices. In short, the columns (or the rows) of an orthogonal matrix are an orthonormal basis of rn, and any orthonormal basis. a matrix 'a' is orthogonal if and only if its inverse is equal to its transpose. a n×n matrix a is an orthogonal matrix if aa^(t)=i, (1) where a^(t) is the transpose of a and i is the identity matrix.
from www.youtube.com
a n×n matrix a is an orthogonal matrix if aa^(t)=i, (1) where a^(t) is the transpose of a and i is the identity matrix. an \(n\times n\) matrix \(a\) is said to be non defective or diagonalizable if there exists an invertible matrix \(p\) such that. Show that u u is invertible. I understand for u u. suppose u u is an n × n n × n (n ∈z+ n ∈ z +) orthogonal matrix. a matrix 'a' is orthogonal if and only if its inverse is equal to its transpose. In short, the columns (or the rows) of an orthogonal matrix are an orthonormal basis of rn, and any orthonormal basis. a square matrix with real numbers or elements is said to be an orthogonal matrix if its transpose is equal to its inverse. Also, the product of an orthogonal matrix and its transpose is equal to i. represent your orthogonal matrix o as element of the lie group of orthogonal matrices.
Inverse of a 3x3 matrix (using elementary row operations) YouTube
Orthogonal Matrix Is Invertible In short, the columns (or the rows) of an orthogonal matrix are an orthonormal basis of rn, and any orthonormal basis. represent your orthogonal matrix o as element of the lie group of orthogonal matrices. I understand for u u. In short, the columns (or the rows) of an orthogonal matrix are an orthonormal basis of rn, and any orthonormal basis. Show that u u is invertible. Also, the product of an orthogonal matrix and its transpose is equal to i. suppose u u is an n × n n × n (n ∈z+ n ∈ z +) orthogonal matrix. a n×n matrix a is an orthogonal matrix if aa^(t)=i, (1) where a^(t) is the transpose of a and i is the identity matrix. an \(n\times n\) matrix \(a\) is said to be non defective or diagonalizable if there exists an invertible matrix \(p\) such that. a matrix 'a' is orthogonal if and only if its inverse is equal to its transpose. a square matrix with real numbers or elements is said to be an orthogonal matrix if its transpose is equal to its inverse.
From www.geeksforgeeks.org
Invertible Matrix Definition, Properties, Theorems, and Examples Orthogonal Matrix Is Invertible represent your orthogonal matrix o as element of the lie group of orthogonal matrices. a n×n matrix a is an orthogonal matrix if aa^(t)=i, (1) where a^(t) is the transpose of a and i is the identity matrix. Show that u u is invertible. In short, the columns (or the rows) of an orthogonal matrix are an orthonormal. Orthogonal Matrix Is Invertible.
From dxofuolpl.blob.core.windows.net
Orthogonal Matrix And Orthonormal Matrix at Diane Fisher blog Orthogonal Matrix Is Invertible Also, the product of an orthogonal matrix and its transpose is equal to i. a matrix 'a' is orthogonal if and only if its inverse is equal to its transpose. I understand for u u. a n×n matrix a is an orthogonal matrix if aa^(t)=i, (1) where a^(t) is the transpose of a and i is the identity. Orthogonal Matrix Is Invertible.
From www.youtube.com
How to Prove that a Matrix is Invertible YouTube Orthogonal Matrix Is Invertible Show that u u is invertible. represent your orthogonal matrix o as element of the lie group of orthogonal matrices. suppose u u is an n × n n × n (n ∈z+ n ∈ z +) orthogonal matrix. an \(n\times n\) matrix \(a\) is said to be non defective or diagonalizable if there exists an invertible. Orthogonal Matrix Is Invertible.
From www.numerade.com
SOLVEDDetermine whether the matrix is orthogonal. An invertible square Orthogonal Matrix Is Invertible a square matrix with real numbers or elements is said to be an orthogonal matrix if its transpose is equal to its inverse. a matrix 'a' is orthogonal if and only if its inverse is equal to its transpose. a n×n matrix a is an orthogonal matrix if aa^(t)=i, (1) where a^(t) is the transpose of a. Orthogonal Matrix Is Invertible.
From www.numerade.com
SOLVEDDetermine whether the matrix is orthogonal. An invertible square Orthogonal Matrix Is Invertible a n×n matrix a is an orthogonal matrix if aa^(t)=i, (1) where a^(t) is the transpose of a and i is the identity matrix. an \(n\times n\) matrix \(a\) is said to be non defective or diagonalizable if there exists an invertible matrix \(p\) such that. Also, the product of an orthogonal matrix and its transpose is equal. Orthogonal Matrix Is Invertible.
From www.youtube.com
invertible matrix theorem YouTube Orthogonal Matrix Is Invertible Show that u u is invertible. a matrix 'a' is orthogonal if and only if its inverse is equal to its transpose. In short, the columns (or the rows) of an orthogonal matrix are an orthonormal basis of rn, and any orthonormal basis. represent your orthogonal matrix o as element of the lie group of orthogonal matrices. . Orthogonal Matrix Is Invertible.
From www.youtube.com
Inverse of a 3x3 Matrix YouTube Orthogonal Matrix Is Invertible In short, the columns (or the rows) of an orthogonal matrix are an orthonormal basis of rn, and any orthonormal basis. a square matrix with real numbers or elements is said to be an orthogonal matrix if its transpose is equal to its inverse. Also, the product of an orthogonal matrix and its transpose is equal to i. . Orthogonal Matrix Is Invertible.
From www.youtube.com
Trick to find Inverse of (A.A^T) of Orthogonal Matrix GATE question Orthogonal Matrix Is Invertible represent your orthogonal matrix o as element of the lie group of orthogonal matrices. a square matrix with real numbers or elements is said to be an orthogonal matrix if its transpose is equal to its inverse. suppose u u is an n × n n × n (n ∈z+ n ∈ z +) orthogonal matrix. . Orthogonal Matrix Is Invertible.
From datascienceparichay.com
Numpy Check If a Matrix is Invertible Data Science Parichay Orthogonal Matrix Is Invertible a matrix 'a' is orthogonal if and only if its inverse is equal to its transpose. a n×n matrix a is an orthogonal matrix if aa^(t)=i, (1) where a^(t) is the transpose of a and i is the identity matrix. I understand for u u. suppose u u is an n × n n × n (n. Orthogonal Matrix Is Invertible.
From www.youtube.com
Orthogonal Matrix Definition Example Properties Class 12 Maths YouTube Orthogonal Matrix Is Invertible In short, the columns (or the rows) of an orthogonal matrix are an orthonormal basis of rn, and any orthonormal basis. Show that u u is invertible. suppose u u is an n × n n × n (n ∈z+ n ∈ z +) orthogonal matrix. an \(n\times n\) matrix \(a\) is said to be non defective or. Orthogonal Matrix Is Invertible.
From www.youtube.com
Orthogonal Matrix example YouTube Orthogonal Matrix Is Invertible a matrix 'a' is orthogonal if and only if its inverse is equal to its transpose. Show that u u is invertible. In short, the columns (or the rows) of an orthogonal matrix are an orthonormal basis of rn, and any orthonormal basis. represent your orthogonal matrix o as element of the lie group of orthogonal matrices. . Orthogonal Matrix Is Invertible.
From limfadreams.weebly.com
Orthogonal matrix limfadreams Orthogonal Matrix Is Invertible Also, the product of an orthogonal matrix and its transpose is equal to i. suppose u u is an n × n n × n (n ∈z+ n ∈ z +) orthogonal matrix. In short, the columns (or the rows) of an orthogonal matrix are an orthonormal basis of rn, and any orthonormal basis. represent your orthogonal matrix. Orthogonal Matrix Is Invertible.
From datascienceparichay.com
Numpy Check If a Matrix is Orthogonal Data Science Parichay Orthogonal Matrix Is Invertible an \(n\times n\) matrix \(a\) is said to be non defective or diagonalizable if there exists an invertible matrix \(p\) such that. Show that u u is invertible. a n×n matrix a is an orthogonal matrix if aa^(t)=i, (1) where a^(t) is the transpose of a and i is the identity matrix. a square matrix with real. Orthogonal Matrix Is Invertible.
From www.numerade.com
SOLVEDDetermine whether the matrix is orthogonal. An invertible square Orthogonal Matrix Is Invertible Show that u u is invertible. a n×n matrix a is an orthogonal matrix if aa^(t)=i, (1) where a^(t) is the transpose of a and i is the identity matrix. represent your orthogonal matrix o as element of the lie group of orthogonal matrices. In short, the columns (or the rows) of an orthogonal matrix are an orthonormal. Orthogonal Matrix Is Invertible.
From www.youtube.com
Invertible matrices are square YouTube Orthogonal Matrix Is Invertible suppose u u is an n × n n × n (n ∈z+ n ∈ z +) orthogonal matrix. an \(n\times n\) matrix \(a\) is said to be non defective or diagonalizable if there exists an invertible matrix \(p\) such that. I understand for u u. Show that u u is invertible. a matrix 'a' is orthogonal. Orthogonal Matrix Is Invertible.
From berlindaheaven.weebly.com
Invertible matrix berlindaheaven Orthogonal Matrix Is Invertible In short, the columns (or the rows) of an orthogonal matrix are an orthonormal basis of rn, and any orthonormal basis. a square matrix with real numbers or elements is said to be an orthogonal matrix if its transpose is equal to its inverse. an \(n\times n\) matrix \(a\) is said to be non defective or diagonalizable if. Orthogonal Matrix Is Invertible.
From askfilo.com
Example 8. If A is an invertible matrix and orthogonal matrix of the orde.. Orthogonal Matrix Is Invertible represent your orthogonal matrix o as element of the lie group of orthogonal matrices. a square matrix with real numbers or elements is said to be an orthogonal matrix if its transpose is equal to its inverse. Show that u u is invertible. a matrix 'a' is orthogonal if and only if its inverse is equal to. Orthogonal Matrix Is Invertible.
From 911weknow.com
[Linear Algebra] 9. Properties of orthogonal matrices 911 WeKnow Orthogonal Matrix Is Invertible Also, the product of an orthogonal matrix and its transpose is equal to i. a n×n matrix a is an orthogonal matrix if aa^(t)=i, (1) where a^(t) is the transpose of a and i is the identity matrix. I understand for u u. a matrix 'a' is orthogonal if and only if its inverse is equal to its. Orthogonal Matrix Is Invertible.
From www.numerade.com
SOLVEDDetermine whether the matrix is orthogonal. An invertible square Orthogonal Matrix Is Invertible a square matrix with real numbers or elements is said to be an orthogonal matrix if its transpose is equal to its inverse. suppose u u is an n × n n × n (n ∈z+ n ∈ z +) orthogonal matrix. Show that u u is invertible. a n×n matrix a is an orthogonal matrix if. Orthogonal Matrix Is Invertible.
From www.numerade.com
Let U and V be n x n orthogonal matrices. Explain why UV is an Orthogonal Matrix Is Invertible a matrix 'a' is orthogonal if and only if its inverse is equal to its transpose. suppose u u is an n × n n × n (n ∈z+ n ∈ z +) orthogonal matrix. a square matrix with real numbers or elements is said to be an orthogonal matrix if its transpose is equal to its. Orthogonal Matrix Is Invertible.
From www.youtube.com
Writing an Invertible Matrix as a Product of Elementary Matrices YouTube Orthogonal Matrix Is Invertible a square matrix with real numbers or elements is said to be an orthogonal matrix if its transpose is equal to its inverse. an \(n\times n\) matrix \(a\) is said to be non defective or diagonalizable if there exists an invertible matrix \(p\) such that. represent your orthogonal matrix o as element of the lie group of. Orthogonal Matrix Is Invertible.
From www.w3schools.blog
Invertible matrices and proof of the uniqueness of inverse W3schools Orthogonal Matrix Is Invertible In short, the columns (or the rows) of an orthogonal matrix are an orthonormal basis of rn, and any orthonormal basis. represent your orthogonal matrix o as element of the lie group of orthogonal matrices. a matrix 'a' is orthogonal if and only if its inverse is equal to its transpose. suppose u u is an n. Orthogonal Matrix Is Invertible.
From www.youtube.com
Inverse of a 3x3 matrix (using elementary row operations) YouTube Orthogonal Matrix Is Invertible represent your orthogonal matrix o as element of the lie group of orthogonal matrices. suppose u u is an n × n n × n (n ∈z+ n ∈ z +) orthogonal matrix. a square matrix with real numbers or elements is said to be an orthogonal matrix if its transpose is equal to its inverse. . Orthogonal Matrix Is Invertible.
From www.numerade.com
SOLVEDDetermine if the matrix A is invertible by cal. culating det A A Orthogonal Matrix Is Invertible In short, the columns (or the rows) of an orthogonal matrix are an orthonormal basis of rn, and any orthonormal basis. I understand for u u. a matrix 'a' is orthogonal if and only if its inverse is equal to its transpose. a n×n matrix a is an orthogonal matrix if aa^(t)=i, (1) where a^(t) is the transpose. Orthogonal Matrix Is Invertible.
From www.numerade.com
SOLVEDSuppose an n by n matrix is invertible A A^1=I. Then the first Orthogonal Matrix Is Invertible In short, the columns (or the rows) of an orthogonal matrix are an orthonormal basis of rn, and any orthonormal basis. suppose u u is an n × n n × n (n ∈z+ n ∈ z +) orthogonal matrix. a square matrix with real numbers or elements is said to be an orthogonal matrix if its transpose. Orthogonal Matrix Is Invertible.
From www.chegg.com
Solved 2. An invertible square matrix A is orthogonal when Orthogonal Matrix Is Invertible In short, the columns (or the rows) of an orthogonal matrix are an orthonormal basis of rn, and any orthonormal basis. an \(n\times n\) matrix \(a\) is said to be non defective or diagonalizable if there exists an invertible matrix \(p\) such that. I understand for u u. a square matrix with real numbers or elements is said. Orthogonal Matrix Is Invertible.
From www.youtube.com
If three 3' 3 invertible matrices A,B,C are ldempotent, Involutary and Orthogonal Matrix Is Invertible suppose u u is an n × n n × n (n ∈z+ n ∈ z +) orthogonal matrix. a square matrix with real numbers or elements is said to be an orthogonal matrix if its transpose is equal to its inverse. an \(n\times n\) matrix \(a\) is said to be non defective or diagonalizable if there. Orthogonal Matrix Is Invertible.
From www.youtube.com
Invertible matrix YouTube Orthogonal Matrix Is Invertible represent your orthogonal matrix o as element of the lie group of orthogonal matrices. Also, the product of an orthogonal matrix and its transpose is equal to i. In short, the columns (or the rows) of an orthogonal matrix are an orthonormal basis of rn, and any orthonormal basis. a matrix 'a' is orthogonal if and only if. Orthogonal Matrix Is Invertible.
From www.numerade.com
SOLVEDDetermine whether the matrix is orthogonal. An invertible square Orthogonal Matrix Is Invertible a square matrix with real numbers or elements is said to be an orthogonal matrix if its transpose is equal to its inverse. an \(n\times n\) matrix \(a\) is said to be non defective or diagonalizable if there exists an invertible matrix \(p\) such that. suppose u u is an n × n n × n (n. Orthogonal Matrix Is Invertible.
From www.youtube.com
How to Find the Inverse of a 3x3 Matrix Simple & Indepth Explanation Orthogonal Matrix Is Invertible an \(n\times n\) matrix \(a\) is said to be non defective or diagonalizable if there exists an invertible matrix \(p\) such that. represent your orthogonal matrix o as element of the lie group of orthogonal matrices. a matrix 'a' is orthogonal if and only if its inverse is equal to its transpose. In short, the columns (or. Orthogonal Matrix Is Invertible.
From www.chegg.com
Solved The inverse of the orthogonal matrix A=[53545−453] Orthogonal Matrix Is Invertible I understand for u u. a square matrix with real numbers or elements is said to be an orthogonal matrix if its transpose is equal to its inverse. In short, the columns (or the rows) of an orthogonal matrix are an orthonormal basis of rn, and any orthonormal basis. Also, the product of an orthogonal matrix and its transpose. Orthogonal Matrix Is Invertible.
From www.youtube.com
Linear Algebra 25 Inverse of 3x3 Matrix YouTube Orthogonal Matrix Is Invertible a matrix 'a' is orthogonal if and only if its inverse is equal to its transpose. In short, the columns (or the rows) of an orthogonal matrix are an orthonormal basis of rn, and any orthonormal basis. an \(n\times n\) matrix \(a\) is said to be non defective or diagonalizable if there exists an invertible matrix \(p\) such. Orthogonal Matrix Is Invertible.
From courses.lumenlearning.com
3.6b. Examples Inverses of Matrices Finite Math Orthogonal Matrix Is Invertible a n×n matrix a is an orthogonal matrix if aa^(t)=i, (1) where a^(t) is the transpose of a and i is the identity matrix. Also, the product of an orthogonal matrix and its transpose is equal to i. suppose u u is an n × n n × n (n ∈z+ n ∈ z +) orthogonal matrix. In. Orthogonal Matrix Is Invertible.
From www.numerade.com
SOLVEDDetermine whether the matrix is orthogonal. An invertible square Orthogonal Matrix Is Invertible a n×n matrix a is an orthogonal matrix if aa^(t)=i, (1) where a^(t) is the transpose of a and i is the identity matrix. Show that u u is invertible. represent your orthogonal matrix o as element of the lie group of orthogonal matrices. Also, the product of an orthogonal matrix and its transpose is equal to i.. Orthogonal Matrix Is Invertible.
From www.numerade.com
SOLVEDDetermine whether the matrix is orthogonal. An invertible square Orthogonal Matrix Is Invertible Also, the product of an orthogonal matrix and its transpose is equal to i. In short, the columns (or the rows) of an orthogonal matrix are an orthonormal basis of rn, and any orthonormal basis. I understand for u u. suppose u u is an n × n n × n (n ∈z+ n ∈ z +) orthogonal matrix.. Orthogonal Matrix Is Invertible.