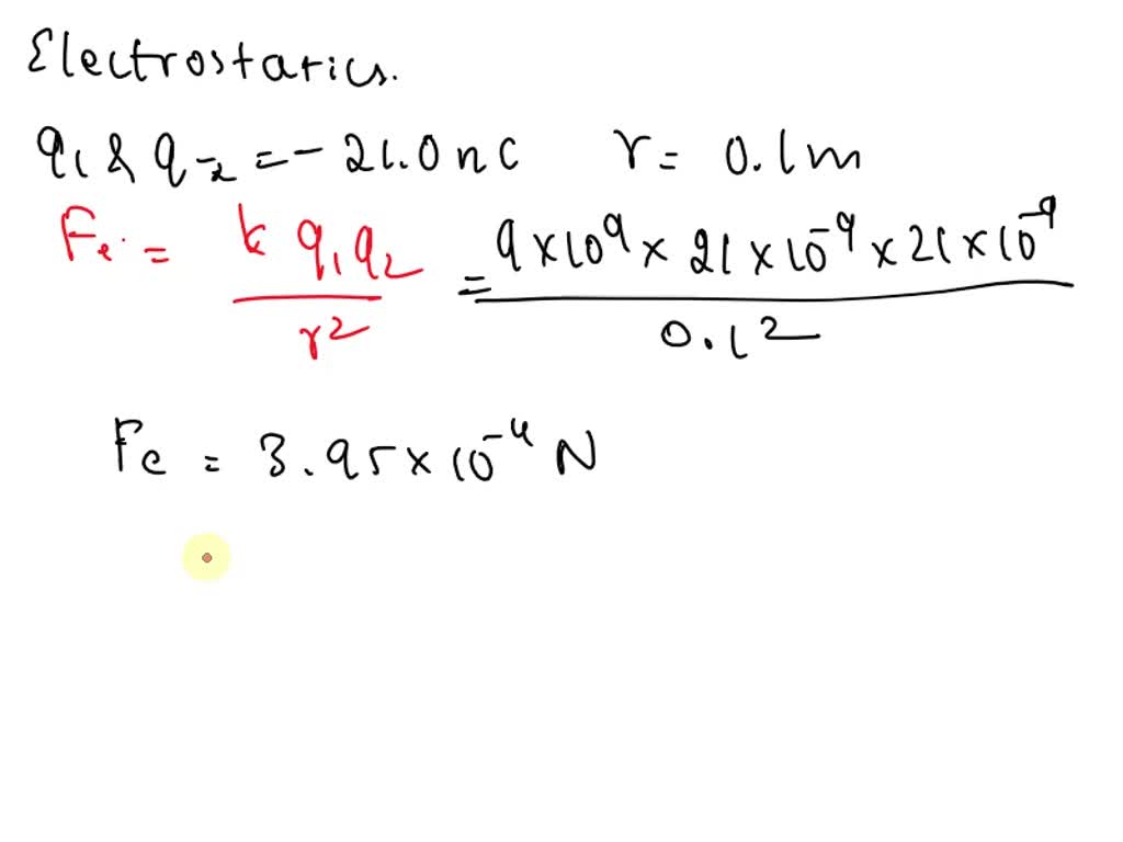
A Small Metal Sphere Has A Mass Of 0.19G . The first thing to do in this problem is to calculate the f electric value. It is 10 cm directly above an identical sphere with the same charge. It is 10.0 cm directly above an identical sphere that has the same charge. It will be the same as k cuban q two by r squared,. A small metal sphere has a mass of 0.15 g and a charge of − 23.0 n c. This lower sphere is fixed and cannot move. We have a small metal sphere, which has a mass of.13 gram and a negative charge of minus 22 nana columns, and we have. It is 10.0 cm directly above an identical sphere with the same charge.
from www.chegg.com
A small metal sphere has a mass of 0.15 g and a charge of − 23.0 n c. It is 10.0 cm directly above an identical sphere that has the same charge. It will be the same as k cuban q two by r squared,. It is 10.0 cm directly above an identical sphere with the same charge. We have a small metal sphere, which has a mass of.13 gram and a negative charge of minus 22 nana columns, and we have. This lower sphere is fixed and cannot move. The first thing to do in this problem is to calculate the f electric value. It is 10 cm directly above an identical sphere with the same charge.
Solved A small metal sphere, carrying a net charge of
A Small Metal Sphere Has A Mass Of 0.19G This lower sphere is fixed and cannot move. It is 10.0 cm directly above an identical sphere with the same charge. We have a small metal sphere, which has a mass of.13 gram and a negative charge of minus 22 nana columns, and we have. A small metal sphere has a mass of 0.15 g and a charge of − 23.0 n c. The first thing to do in this problem is to calculate the f electric value. It is 10.0 cm directly above an identical sphere that has the same charge. It is 10 cm directly above an identical sphere with the same charge. It will be the same as k cuban q two by r squared,. This lower sphere is fixed and cannot move.
From www.chegg.com
Solved A small metal sphere, carrying a net charge of A Small Metal Sphere Has A Mass Of 0.19G It is 10.0 cm directly above an identical sphere that has the same charge. It is 10 cm directly above an identical sphere with the same charge. A small metal sphere has a mass of 0.15 g and a charge of − 23.0 n c. The first thing to do in this problem is to calculate the f electric value.. A Small Metal Sphere Has A Mass Of 0.19G.
From www.chegg.com
Solved Part A A small metal sphere, carrying a net charge of A Small Metal Sphere Has A Mass Of 0.19G The first thing to do in this problem is to calculate the f electric value. A small metal sphere has a mass of 0.15 g and a charge of − 23.0 n c. This lower sphere is fixed and cannot move. It is 10.0 cm directly above an identical sphere that has the same charge. It will be the same. A Small Metal Sphere Has A Mass Of 0.19G.
From www.chegg.com
Solved A small metal sphere, carrying a net charge of q1 A Small Metal Sphere Has A Mass Of 0.19G A small metal sphere has a mass of 0.15 g and a charge of − 23.0 n c. This lower sphere is fixed and cannot move. It will be the same as k cuban q two by r squared,. It is 10.0 cm directly above an identical sphere with the same charge. We have a small metal sphere, which has. A Small Metal Sphere Has A Mass Of 0.19G.
From www.chegg.com
Solved A small metal sphere has a mass of 0.17 g and a A Small Metal Sphere Has A Mass Of 0.19G This lower sphere is fixed and cannot move. The first thing to do in this problem is to calculate the f electric value. It is 10 cm directly above an identical sphere with the same charge. We have a small metal sphere, which has a mass of.13 gram and a negative charge of minus 22 nana columns, and we have.. A Small Metal Sphere Has A Mass Of 0.19G.
From www.chegg.com
Solved Exercise 23.5 Part A A small metal sphere, carrying a A Small Metal Sphere Has A Mass Of 0.19G A small metal sphere has a mass of 0.15 g and a charge of − 23.0 n c. It is 10.0 cm directly above an identical sphere that has the same charge. It is 10 cm directly above an identical sphere with the same charge. We have a small metal sphere, which has a mass of.13 gram and a negative. A Small Metal Sphere Has A Mass Of 0.19G.
From www.chegg.com
Solved A small metal sphere, carrying a net charge of q₁ = A Small Metal Sphere Has A Mass Of 0.19G We have a small metal sphere, which has a mass of.13 gram and a negative charge of minus 22 nana columns, and we have. The first thing to do in this problem is to calculate the f electric value. It is 10 cm directly above an identical sphere with the same charge. This lower sphere is fixed and cannot move.. A Small Metal Sphere Has A Mass Of 0.19G.
From www.chegg.com
Solved A small metal sphere, carrying a net charge of A Small Metal Sphere Has A Mass Of 0.19G A small metal sphere has a mass of 0.15 g and a charge of − 23.0 n c. The first thing to do in this problem is to calculate the f electric value. It will be the same as k cuban q two by r squared,. It is 10.0 cm directly above an identical sphere that has the same charge.. A Small Metal Sphere Has A Mass Of 0.19G.
From www.chegg.com
Solved A small metal sphere has a mass of 0.12 g and a A Small Metal Sphere Has A Mass Of 0.19G A small metal sphere has a mass of 0.15 g and a charge of − 23.0 n c. It is 10 cm directly above an identical sphere with the same charge. We have a small metal sphere, which has a mass of.13 gram and a negative charge of minus 22 nana columns, and we have. The first thing to do. A Small Metal Sphere Has A Mass Of 0.19G.
From www.vecteezy.com
Brown metal sphere. 12658411 PNG A Small Metal Sphere Has A Mass Of 0.19G It is 10.0 cm directly above an identical sphere that has the same charge. This lower sphere is fixed and cannot move. It will be the same as k cuban q two by r squared,. The first thing to do in this problem is to calculate the f electric value. A small metal sphere has a mass of 0.15 g. A Small Metal Sphere Has A Mass Of 0.19G.
From www.chegg.com
Solved A small metal sphere, carrying a net charge of 91 = A Small Metal Sphere Has A Mass Of 0.19G A small metal sphere has a mass of 0.15 g and a charge of − 23.0 n c. It is 10.0 cm directly above an identical sphere with the same charge. It is 10 cm directly above an identical sphere with the same charge. It will be the same as k cuban q two by r squared,. The first thing. A Small Metal Sphere Has A Mass Of 0.19G.
From www.chegg.com
Solved Determine the diameter for a of a small metal sphere A Small Metal Sphere Has A Mass Of 0.19G It will be the same as k cuban q two by r squared,. It is 10.0 cm directly above an identical sphere that has the same charge. The first thing to do in this problem is to calculate the f electric value. It is 10.0 cm directly above an identical sphere with the same charge. We have a small metal. A Small Metal Sphere Has A Mass Of 0.19G.
From www.chegg.com
Solved A small metal sphere has a mass of 0.17 g and a A Small Metal Sphere Has A Mass Of 0.19G It will be the same as k cuban q two by r squared,. The first thing to do in this problem is to calculate the f electric value. It is 10.0 cm directly above an identical sphere that has the same charge. It is 10 cm directly above an identical sphere with the same charge. A small metal sphere has. A Small Metal Sphere Has A Mass Of 0.19G.
From www.chegg.com
Solved Part A A small metal sphere, carrying a net charge of Chegg A Small Metal Sphere Has A Mass Of 0.19G A small metal sphere has a mass of 0.15 g and a charge of − 23.0 n c. We have a small metal sphere, which has a mass of.13 gram and a negative charge of minus 22 nana columns, and we have. It is 10.0 cm directly above an identical sphere with the same charge. It is 10 cm directly. A Small Metal Sphere Has A Mass Of 0.19G.
From www.chegg.com
Solved A small metal sphere, carrying a net charge of A Small Metal Sphere Has A Mass Of 0.19G It is 10.0 cm directly above an identical sphere with the same charge. The first thing to do in this problem is to calculate the f electric value. It is 10 cm directly above an identical sphere with the same charge. It will be the same as k cuban q two by r squared,. We have a small metal sphere,. A Small Metal Sphere Has A Mass Of 0.19G.
From www.chegg.com
Solved Part A A small metal sphere, carrying a net charge of A Small Metal Sphere Has A Mass Of 0.19G It is 10.0 cm directly above an identical sphere that has the same charge. It is 10 cm directly above an identical sphere with the same charge. The first thing to do in this problem is to calculate the f electric value. It will be the same as k cuban q two by r squared,. We have a small metal. A Small Metal Sphere Has A Mass Of 0.19G.
From www.chegg.com
Solved Part AA small metal sphere has a mass of 0.19g and a A Small Metal Sphere Has A Mass Of 0.19G The first thing to do in this problem is to calculate the f electric value. It will be the same as k cuban q two by r squared,. This lower sphere is fixed and cannot move. It is 10.0 cm directly above an identical sphere with the same charge. A small metal sphere has a mass of 0.15 g and. A Small Metal Sphere Has A Mass Of 0.19G.
From www.toppr.com
(ii) A small metal sphere carrying charge +Q is located the centre of a A Small Metal Sphere Has A Mass Of 0.19G It is 10.0 cm directly above an identical sphere with the same charge. It is 10 cm directly above an identical sphere with the same charge. A small metal sphere has a mass of 0.15 g and a charge of − 23.0 n c. This lower sphere is fixed and cannot move. The first thing to do in this problem. A Small Metal Sphere Has A Mass Of 0.19G.
From www.chegg.com
Solved A small metal sphere, carrying a net charge of A Small Metal Sphere Has A Mass Of 0.19G This lower sphere is fixed and cannot move. A small metal sphere has a mass of 0.15 g and a charge of − 23.0 n c. It is 10.0 cm directly above an identical sphere that has the same charge. It will be the same as k cuban q two by r squared,. We have a small metal sphere, which. A Small Metal Sphere Has A Mass Of 0.19G.
From www.chegg.com
Solved A small metal sphere, carrying a net charge of A Small Metal Sphere Has A Mass Of 0.19G This lower sphere is fixed and cannot move. A small metal sphere has a mass of 0.15 g and a charge of − 23.0 n c. It is 10.0 cm directly above an identical sphere with the same charge. It will be the same as k cuban q two by r squared,. It is 10 cm directly above an identical. A Small Metal Sphere Has A Mass Of 0.19G.
From www.chegg.com
Solved Constants PartA A small metal sphere, carrying a net A Small Metal Sphere Has A Mass Of 0.19G The first thing to do in this problem is to calculate the f electric value. It is 10.0 cm directly above an identical sphere with the same charge. It will be the same as k cuban q two by r squared,. It is 10 cm directly above an identical sphere with the same charge. A small metal sphere has a. A Small Metal Sphere Has A Mass Of 0.19G.
From www.chegg.com
Solved Determine the diameter for a of a small metal sphere A Small Metal Sphere Has A Mass Of 0.19G It is 10 cm directly above an identical sphere with the same charge. This lower sphere is fixed and cannot move. It is 10.0 cm directly above an identical sphere with the same charge. A small metal sphere has a mass of 0.15 g and a charge of − 23.0 n c. We have a small metal sphere, which has. A Small Metal Sphere Has A Mass Of 0.19G.
From www.chegg.com
Solved Part A A small metal sphere, carrying a net charge of A Small Metal Sphere Has A Mass Of 0.19G This lower sphere is fixed and cannot move. A small metal sphere has a mass of 0.15 g and a charge of − 23.0 n c. We have a small metal sphere, which has a mass of.13 gram and a negative charge of minus 22 nana columns, and we have. The first thing to do in this problem is to. A Small Metal Sphere Has A Mass Of 0.19G.
From brainly.in
A large positively charged metal sphere is connected to a small A Small Metal Sphere Has A Mass Of 0.19G We have a small metal sphere, which has a mass of.13 gram and a negative charge of minus 22 nana columns, and we have. The first thing to do in this problem is to calculate the f electric value. It is 10.0 cm directly above an identical sphere that has the same charge. A small metal sphere has a mass. A Small Metal Sphere Has A Mass Of 0.19G.
From www.chegg.com
Solved A small metal sphere, carrying a net charge of ql = A Small Metal Sphere Has A Mass Of 0.19G The first thing to do in this problem is to calculate the f electric value. This lower sphere is fixed and cannot move. It will be the same as k cuban q two by r squared,. It is 10.0 cm directly above an identical sphere that has the same charge. A small metal sphere has a mass of 0.15 g. A Small Metal Sphere Has A Mass Of 0.19G.
From www.chegg.com
Solved A small metal sphere has a mass of 0.19g and a charge A Small Metal Sphere Has A Mass Of 0.19G It is 10.0 cm directly above an identical sphere with the same charge. It is 10 cm directly above an identical sphere with the same charge. A small metal sphere has a mass of 0.15 g and a charge of − 23.0 n c. The first thing to do in this problem is to calculate the f electric value. We. A Small Metal Sphere Has A Mass Of 0.19G.
From www.alibaba.com
5 Inch 120mm Mirror Polished Hollow Core Stainless Steel Metal Half A Small Metal Sphere Has A Mass Of 0.19G It is 10 cm directly above an identical sphere with the same charge. It will be the same as k cuban q two by r squared,. The first thing to do in this problem is to calculate the f electric value. A small metal sphere has a mass of 0.15 g and a charge of − 23.0 n c. It. A Small Metal Sphere Has A Mass Of 0.19G.
From maoping.art
Large solid metal sphere of 304 stainless steel balls from factory A Small Metal Sphere Has A Mass Of 0.19G It is 10.0 cm directly above an identical sphere with the same charge. The first thing to do in this problem is to calculate the f electric value. It is 10 cm directly above an identical sphere with the same charge. It is 10.0 cm directly above an identical sphere that has the same charge. A small metal sphere has. A Small Metal Sphere Has A Mass Of 0.19G.
From www.numerade.com
SOLVED 'Review Constants Periodic Table Part A A small metal sphere A Small Metal Sphere Has A Mass Of 0.19G The first thing to do in this problem is to calculate the f electric value. It will be the same as k cuban q two by r squared,. It is 10 cm directly above an identical sphere with the same charge. It is 10.0 cm directly above an identical sphere with the same charge. It is 10.0 cm directly above. A Small Metal Sphere Has A Mass Of 0.19G.
From www.numerade.com
Electrical Charges and Forces Example (Text problem 20.10) A small A Small Metal Sphere Has A Mass Of 0.19G It is 10.0 cm directly above an identical sphere that has the same charge. A small metal sphere has a mass of 0.15 g and a charge of − 23.0 n c. This lower sphere is fixed and cannot move. We have a small metal sphere, which has a mass of.13 gram and a negative charge of minus 22 nana. A Small Metal Sphere Has A Mass Of 0.19G.
From www.toppr.com
A small metal sphere carrying charge + Q is located at the centre of a A Small Metal Sphere Has A Mass Of 0.19G We have a small metal sphere, which has a mass of.13 gram and a negative charge of minus 22 nana columns, and we have. The first thing to do in this problem is to calculate the f electric value. This lower sphere is fixed and cannot move. It is 10.0 cm directly above an identical sphere that has the same. A Small Metal Sphere Has A Mass Of 0.19G.
From www.chegg.com
Solved Item 5 Part A A small metal sphere, carrying a net A Small Metal Sphere Has A Mass Of 0.19G The first thing to do in this problem is to calculate the f electric value. We have a small metal sphere, which has a mass of.13 gram and a negative charge of minus 22 nana columns, and we have. A small metal sphere has a mass of 0.15 g and a charge of − 23.0 n c. It will be. A Small Metal Sphere Has A Mass Of 0.19G.
From www.numerade.com
A small metal sphere has a mass of 0.15 g and a charge of 23.0 nC . It A Small Metal Sphere Has A Mass Of 0.19G A small metal sphere has a mass of 0.15 g and a charge of − 23.0 n c. It is 10 cm directly above an identical sphere with the same charge. It will be the same as k cuban q two by r squared,. This lower sphere is fixed and cannot move. The first thing to do in this problem. A Small Metal Sphere Has A Mass Of 0.19G.
From www.chegg.com
A small metal sphere, carrying a net charge of q1= A Small Metal Sphere Has A Mass Of 0.19G A small metal sphere has a mass of 0.15 g and a charge of − 23.0 n c. It will be the same as k cuban q two by r squared,. It is 10.0 cm directly above an identical sphere with the same charge. We have a small metal sphere, which has a mass of.13 gram and a negative charge. A Small Metal Sphere Has A Mass Of 0.19G.
From www.chegg.com
Solved Determine the diameter for a of a small metal sphere A Small Metal Sphere Has A Mass Of 0.19G A small metal sphere has a mass of 0.15 g and a charge of − 23.0 n c. We have a small metal sphere, which has a mass of.13 gram and a negative charge of minus 22 nana columns, and we have. The first thing to do in this problem is to calculate the f electric value. It is 10. A Small Metal Sphere Has A Mass Of 0.19G.
From www.chegg.com
Solved A small metal sphere, carrying a net charge of A Small Metal Sphere Has A Mass Of 0.19G This lower sphere is fixed and cannot move. We have a small metal sphere, which has a mass of.13 gram and a negative charge of minus 22 nana columns, and we have. It is 10.0 cm directly above an identical sphere that has the same charge. A small metal sphere has a mass of 0.15 g and a charge of. A Small Metal Sphere Has A Mass Of 0.19G.