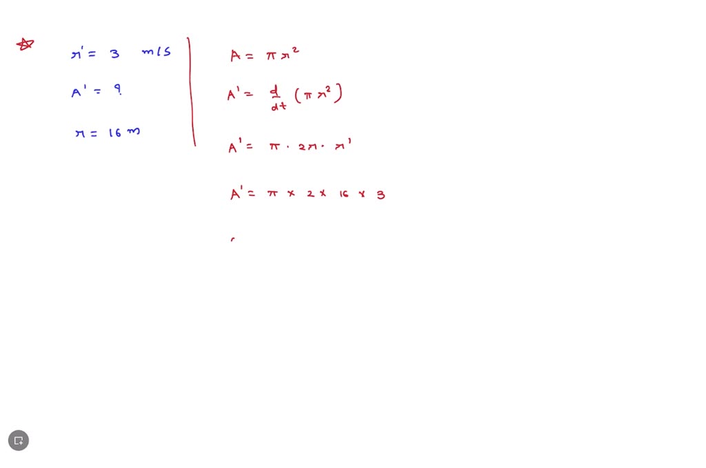
Oil Spilled From A Ruptured Tanker Spreads In A Circle . assume that oil spilled from a ruptured tanker forms a circular oil slick whose radius increases at a constant rate. If the radius of the oil spill. (b) suppose oil spills from a ruptured tanker and spreads in a circular pattern. oil spilled from a ruptured tanker spreads in a circle whose area increases at a constant rate of 6 m i 2 / h. in this lecture, we will discuss the following related rates problems. If a is the area of a circle with radius r and the. How rapidly is radius of. How fast is the radius. oil spilled from a ruptured tanker spreads in a circle whose area increases at a constant rate of 6 m^2/h. oil spilled from a ruptured tanker spreads in a circle whose area increases at a constant rate of 9 miⓡ/hr.
from www.numerade.com
assume that oil spilled from a ruptured tanker forms a circular oil slick whose radius increases at a constant rate. oil spilled from a ruptured tanker spreads in a circle whose area increases at a constant rate of 6 m i 2 / h. in this lecture, we will discuss the following related rates problems. oil spilled from a ruptured tanker spreads in a circle whose area increases at a constant rate of 9 miⓡ/hr. (b) suppose oil spills from a ruptured tanker and spreads in a circular pattern. If the radius of the oil spill. If a is the area of a circle with radius r and the. How rapidly is radius of. How fast is the radius. oil spilled from a ruptured tanker spreads in a circle whose area increases at a constant rate of 6 m^2/h.
SOLVED Oil spilled from a ruptured tanker spreads in a circle whose
Oil Spilled From A Ruptured Tanker Spreads In A Circle If the radius of the oil spill. oil spilled from a ruptured tanker spreads in a circle whose area increases at a constant rate of 6 m i 2 / h. (b) suppose oil spills from a ruptured tanker and spreads in a circular pattern. If a is the area of a circle with radius r and the. assume that oil spilled from a ruptured tanker forms a circular oil slick whose radius increases at a constant rate. oil spilled from a ruptured tanker spreads in a circle whose area increases at a constant rate of 6 m^2/h. How fast is the radius. If the radius of the oil spill. oil spilled from a ruptured tanker spreads in a circle whose area increases at a constant rate of 9 miⓡ/hr. in this lecture, we will discuss the following related rates problems. How rapidly is radius of.
From www.chegg.com
Solved Oil spilled from a ruptured tanker spreads in a Oil Spilled From A Ruptured Tanker Spreads In A Circle If the radius of the oil spill. oil spilled from a ruptured tanker spreads in a circle whose area increases at a constant rate of 6 m^2/h. (b) suppose oil spills from a ruptured tanker and spreads in a circular pattern. oil spilled from a ruptured tanker spreads in a circle whose area increases at a constant. Oil Spilled From A Ruptured Tanker Spreads In A Circle.
From www.coursehero.com
[Solved] Oil spilled from a ruptured tanker spreads in a circular Oil Spilled From A Ruptured Tanker Spreads In A Circle How fast is the radius. in this lecture, we will discuss the following related rates problems. oil spilled from a ruptured tanker spreads in a circle whose area increases at a constant rate of 6 m i 2 / h. If a is the area of a circle with radius r and the. oil spilled from a. Oil Spilled From A Ruptured Tanker Spreads In A Circle.
From www.chegg.com
Solved a) Assume that oil spilled from a ruptured tanker Oil Spilled From A Ruptured Tanker Spreads In A Circle assume that oil spilled from a ruptured tanker forms a circular oil slick whose radius increases at a constant rate. How rapidly is radius of. oil spilled from a ruptured tanker spreads in a circle whose area increases at a constant rate of 6 m i 2 / h. (b) suppose oil spills from a ruptured tanker. Oil Spilled From A Ruptured Tanker Spreads In A Circle.
From www.numerade.com
SOLVED Assume that the oil spilled from a ruptured tanker spreads in a Oil Spilled From A Ruptured Tanker Spreads In A Circle How fast is the radius. If a is the area of a circle with radius r and the. assume that oil spilled from a ruptured tanker forms a circular oil slick whose radius increases at a constant rate. oil spilled from a ruptured tanker spreads in a circle whose area increases at a constant rate of 9 miⓡ/hr.. Oil Spilled From A Ruptured Tanker Spreads In A Circle.
From www.coursehero.com
[Solved] (1 point) Oil spilled from a ruptured tanker spreads in a Oil Spilled From A Ruptured Tanker Spreads In A Circle oil spilled from a ruptured tanker spreads in a circle whose area increases at a constant rate of 6 m i 2 / h. in this lecture, we will discuss the following related rates problems. How fast is the radius. oil spilled from a ruptured tanker spreads in a circle whose area increases at a constant rate. Oil Spilled From A Ruptured Tanker Spreads In A Circle.
From www.coursehero.com
[Solved] Oil spilled from a ruptured tanker spreads in a circle whose Oil Spilled From A Ruptured Tanker Spreads In A Circle (b) suppose oil spills from a ruptured tanker and spreads in a circular pattern. How fast is the radius. assume that oil spilled from a ruptured tanker forms a circular oil slick whose radius increases at a constant rate. oil spilled from a ruptured tanker spreads in a circle whose area increases at a constant rate of. Oil Spilled From A Ruptured Tanker Spreads In A Circle.
From www.chegg.com
Solved Suppose oil spills from a ruptured tanker and spreads Oil Spilled From A Ruptured Tanker Spreads In A Circle How fast is the radius. in this lecture, we will discuss the following related rates problems. If the radius of the oil spill. oil spilled from a ruptured tanker spreads in a circle whose area increases at a constant rate of 9 miⓡ/hr. If a is the area of a circle with radius r and the. assume. Oil Spilled From A Ruptured Tanker Spreads In A Circle.
From www.numerade.com
SOLVED Question 24 (6 points) Suppose oil spills from a ruptured Oil Spilled From A Ruptured Tanker Spreads In A Circle If the radius of the oil spill. If a is the area of a circle with radius r and the. How rapidly is radius of. oil spilled from a ruptured tanker spreads in a circle whose area increases at a constant rate of 9 miⓡ/hr. oil spilled from a ruptured tanker spreads in a circle whose area increases. Oil Spilled From A Ruptured Tanker Spreads In A Circle.
From www.numerade.com
SOLVED Suppose oil spills from a ruptured tanker and spreads in a Oil Spilled From A Ruptured Tanker Spreads In A Circle in this lecture, we will discuss the following related rates problems. oil spilled from a ruptured tanker spreads in a circle whose area increases at a constant rate of 6 m^2/h. (b) suppose oil spills from a ruptured tanker and spreads in a circular pattern. oil spilled from a ruptured tanker spreads in a circle whose. Oil Spilled From A Ruptured Tanker Spreads In A Circle.
From www.numerade.com
SOLVED 1 . Oil spilled from a tanker spreads in a circle whose Oil Spilled From A Ruptured Tanker Spreads In A Circle If the radius of the oil spill. oil spilled from a ruptured tanker spreads in a circle whose area increases at a constant rate of 9 miⓡ/hr. If a is the area of a circle with radius r and the. oil spilled from a ruptured tanker spreads in a circle whose area increases at a constant rate of. Oil Spilled From A Ruptured Tanker Spreads In A Circle.
From www.numerade.com
SOLVED Oil spilled from a ruptured tanker spreads in a circle whose Oil Spilled From A Ruptured Tanker Spreads In A Circle How fast is the radius. If a is the area of a circle with radius r and the. How rapidly is radius of. oil spilled from a ruptured tanker spreads in a circle whose area increases at a constant rate of 9 miⓡ/hr. If the radius of the oil spill. (b) suppose oil spills from a ruptured tanker. Oil Spilled From A Ruptured Tanker Spreads In A Circle.
From www.chegg.com
Solved (1 point) Oil spilled from a ruptured tanker spreads Oil Spilled From A Ruptured Tanker Spreads In A Circle in this lecture, we will discuss the following related rates problems. How fast is the radius. oil spilled from a ruptured tanker spreads in a circle whose area increases at a constant rate of 6 m i 2 / h. How rapidly is radius of. If the radius of the oil spill. assume that oil spilled from. Oil Spilled From A Ruptured Tanker Spreads In A Circle.
From www.coursehero.com
[Solved] (2) Oil spilled from a ruptured tanker spreads in a circle Oil Spilled From A Ruptured Tanker Spreads In A Circle oil spilled from a ruptured tanker spreads in a circle whose area increases at a constant rate of 9 miⓡ/hr. oil spilled from a ruptured tanker spreads in a circle whose area increases at a constant rate of 6 m^2/h. oil spilled from a ruptured tanker spreads in a circle whose area increases at a constant rate. Oil Spilled From A Ruptured Tanker Spreads In A Circle.
From www.coursehero.com
[Solved] Ask for Suppose oil spills from a ruptured tanker and spreads Oil Spilled From A Ruptured Tanker Spreads In A Circle in this lecture, we will discuss the following related rates problems. assume that oil spilled from a ruptured tanker forms a circular oil slick whose radius increases at a constant rate. oil spilled from a ruptured tanker spreads in a circle whose area increases at a constant rate of 9 miⓡ/hr. If the radius of the oil. Oil Spilled From A Ruptured Tanker Spreads In A Circle.
From www.chegg.com
Solved Suppose oil spills from a ruptured tanker and spreads Oil Spilled From A Ruptured Tanker Spreads In A Circle oil spilled from a ruptured tanker spreads in a circle whose area increases at a constant rate of 6 m i 2 / h. If a is the area of a circle with radius r and the. oil spilled from a ruptured tanker spreads in a circle whose area increases at a constant rate of 9 miⓡ/hr. . Oil Spilled From A Ruptured Tanker Spreads In A Circle.
From www.chegg.com
Solved (1 point) Oil spilled from a ruptured tanker spreads Oil Spilled From A Ruptured Tanker Spreads In A Circle in this lecture, we will discuss the following related rates problems. If the radius of the oil spill. How fast is the radius. oil spilled from a ruptured tanker spreads in a circle whose area increases at a constant rate of 9 miⓡ/hr. How rapidly is radius of. oil spilled from a ruptured tanker spreads in a. Oil Spilled From A Ruptured Tanker Spreads In A Circle.
From www.numerade.com
SOLVED Suppose oil spills from a ruptured tanker and spreads in a Oil Spilled From A Ruptured Tanker Spreads In A Circle How fast is the radius. If the radius of the oil spill. oil spilled from a ruptured tanker spreads in a circle whose area increases at a constant rate of 6 m i 2 / h. assume that oil spilled from a ruptured tanker forms a circular oil slick whose radius increases at a constant rate. (b). Oil Spilled From A Ruptured Tanker Spreads In A Circle.
From www.numerade.com
SOLVED Oil spilled from a ruptured tanker spreads in a circle whose Oil Spilled From A Ruptured Tanker Spreads In A Circle How rapidly is radius of. How fast is the radius. oil spilled from a ruptured tanker spreads in a circle whose area increases at a constant rate of 6 m i 2 / h. assume that oil spilled from a ruptured tanker forms a circular oil slick whose radius increases at a constant rate. oil spilled from. Oil Spilled From A Ruptured Tanker Spreads In A Circle.
From www.chegg.com
Solved Question (1 Point) Oil spilled from a ruptured tanker Oil Spilled From A Ruptured Tanker Spreads In A Circle If a is the area of a circle with radius r and the. (b) suppose oil spills from a ruptured tanker and spreads in a circular pattern. How fast is the radius. oil spilled from a ruptured tanker spreads in a circle whose area increases at a constant rate of 9 miⓡ/hr. If the radius of the oil. Oil Spilled From A Ruptured Tanker Spreads In A Circle.
From www.coursehero.com
[Solved] (1 pt) Oil spilled from a ruptured tanker spreads in a circle Oil Spilled From A Ruptured Tanker Spreads In A Circle If the radius of the oil spill. oil spilled from a ruptured tanker spreads in a circle whose area increases at a constant rate of 6 m i 2 / h. (b) suppose oil spills from a ruptured tanker and spreads in a circular pattern. assume that oil spilled from a ruptured tanker forms a circular oil. Oil Spilled From A Ruptured Tanker Spreads In A Circle.
From www.coursehero.com
[Solved] (1 pt) Oil spilled from a ruptured tanker spreads in a circle Oil Spilled From A Ruptured Tanker Spreads In A Circle oil spilled from a ruptured tanker spreads in a circle whose area increases at a constant rate of 9 miⓡ/hr. If a is the area of a circle with radius r and the. How fast is the radius. oil spilled from a ruptured tanker spreads in a circle whose area increases at a constant rate of 6 m. Oil Spilled From A Ruptured Tanker Spreads In A Circle.
From www.numerade.com
SOLVED Oil spilled from a ruptured tanker spreads in a circle whose Oil Spilled From A Ruptured Tanker Spreads In A Circle If the radius of the oil spill. If a is the area of a circle with radius r and the. assume that oil spilled from a ruptured tanker forms a circular oil slick whose radius increases at a constant rate. How fast is the radius. oil spilled from a ruptured tanker spreads in a circle whose area increases. Oil Spilled From A Ruptured Tanker Spreads In A Circle.
From www.numerade.com
SOLVED Oil spilled from a ruptured tanker spreads in a circle whose Oil Spilled From A Ruptured Tanker Spreads In A Circle How fast is the radius. oil spilled from a ruptured tanker spreads in a circle whose area increases at a constant rate of 9 miⓡ/hr. in this lecture, we will discuss the following related rates problems. oil spilled from a ruptured tanker spreads in a circle whose area increases at a constant rate of 6 m^2/h. . Oil Spilled From A Ruptured Tanker Spreads In A Circle.
From www.coursehero.com
[Solved] Oil spilled from a ruptured tanker spreads in a circle whose Oil Spilled From A Ruptured Tanker Spreads In A Circle oil spilled from a ruptured tanker spreads in a circle whose area increases at a constant rate of 6 m^2/h. oil spilled from a ruptured tanker spreads in a circle whose area increases at a constant rate of 6 m i 2 / h. How fast is the radius. assume that oil spilled from a ruptured tanker. Oil Spilled From A Ruptured Tanker Spreads In A Circle.
From studyx.ai
Oil spilled from a ruptured tanker spreads in StudyX Oil Spilled From A Ruptured Tanker Spreads In A Circle How rapidly is radius of. in this lecture, we will discuss the following related rates problems. oil spilled from a ruptured tanker spreads in a circle whose area increases at a constant rate of 6 m^2/h. assume that oil spilled from a ruptured tanker forms a circular oil slick whose radius increases at a constant rate. If. Oil Spilled From A Ruptured Tanker Spreads In A Circle.
From www.coursehero.com
[Solved] (2) Oil spilled from a ruptured tanker spreads in a circle Oil Spilled From A Ruptured Tanker Spreads In A Circle If the radius of the oil spill. How rapidly is radius of. oil spilled from a ruptured tanker spreads in a circle whose area increases at a constant rate of 6 m i 2 / h. If a is the area of a circle with radius r and the. oil spilled from a ruptured tanker spreads in a. Oil Spilled From A Ruptured Tanker Spreads In A Circle.
From www.youtube.com
Oil spilled from a ruptured tanker spreads in a circle whose area Oil Spilled From A Ruptured Tanker Spreads In A Circle How fast is the radius. assume that oil spilled from a ruptured tanker forms a circular oil slick whose radius increases at a constant rate. If the radius of the oil spill. oil spilled from a ruptured tanker spreads in a circle whose area increases at a constant rate of 6 m^2/h. in this lecture, we will. Oil Spilled From A Ruptured Tanker Spreads In A Circle.
From www.numerade.com
SOLVED Oil spilled from a ruptured tanker spreads in a circle whose Oil Spilled From A Ruptured Tanker Spreads In A Circle How fast is the radius. oil spilled from a ruptured tanker spreads in a circle whose area increases at a constant rate of 9 miⓡ/hr. How rapidly is radius of. assume that oil spilled from a ruptured tanker forms a circular oil slick whose radius increases at a constant rate. oil spilled from a ruptured tanker spreads. Oil Spilled From A Ruptured Tanker Spreads In A Circle.
From www.numerade.com
SOLVED Assume that oil spilled from ruptured tanker spreads in Oil Spilled From A Ruptured Tanker Spreads In A Circle If a is the area of a circle with radius r and the. How rapidly is radius of. in this lecture, we will discuss the following related rates problems. (b) suppose oil spills from a ruptured tanker and spreads in a circular pattern. oil spilled from a ruptured tanker spreads in a circle whose area increases at. Oil Spilled From A Ruptured Tanker Spreads In A Circle.
From www.chegg.com
Solved Question 1Oil spilled from a ruptured tanker spreads Oil Spilled From A Ruptured Tanker Spreads In A Circle If the radius of the oil spill. assume that oil spilled from a ruptured tanker forms a circular oil slick whose radius increases at a constant rate. oil spilled from a ruptured tanker spreads in a circle whose area increases at a constant rate of 9 miⓡ/hr. How rapidly is radius of. How fast is the radius. . Oil Spilled From A Ruptured Tanker Spreads In A Circle.
From www.chegg.com
Solved (1 point) Oil spilled from a ruptured tanker spreads Oil Spilled From A Ruptured Tanker Spreads In A Circle oil spilled from a ruptured tanker spreads in a circle whose area increases at a constant rate of 6 m i 2 / h. (b) suppose oil spills from a ruptured tanker and spreads in a circular pattern. How rapidly is radius of. oil spilled from a ruptured tanker spreads in a circle whose area increases at. Oil Spilled From A Ruptured Tanker Spreads In A Circle.
From www.numerade.com
Assume that oil spilled from a ruptured tanker spreads in a circular Oil Spilled From A Ruptured Tanker Spreads In A Circle If a is the area of a circle with radius r and the. How fast is the radius. in this lecture, we will discuss the following related rates problems. assume that oil spilled from a ruptured tanker forms a circular oil slick whose radius increases at a constant rate. oil spilled from a ruptured tanker spreads in. Oil Spilled From A Ruptured Tanker Spreads In A Circle.
From www.bartleby.com
Answered Oil spilled from a tanker spreads in a… bartleby Oil Spilled From A Ruptured Tanker Spreads In A Circle How fast is the radius. assume that oil spilled from a ruptured tanker forms a circular oil slick whose radius increases at a constant rate. If the radius of the oil spill. oil spilled from a ruptured tanker spreads in a circle whose area increases at a constant rate of 6 m i 2 / h. How rapidly. Oil Spilled From A Ruptured Tanker Spreads In A Circle.
From www.coursehero.com
[Solved] Oil spilled from a ruptured tanker spreads in a circle whose Oil Spilled From A Ruptured Tanker Spreads In A Circle oil spilled from a ruptured tanker spreads in a circle whose area increases at a constant rate of 6 m^2/h. oil spilled from a ruptured tanker spreads in a circle whose area increases at a constant rate of 9 miⓡ/hr. How fast is the radius. How rapidly is radius of. (b) suppose oil spills from a ruptured. Oil Spilled From A Ruptured Tanker Spreads In A Circle.
From www.coursehero.com
[Solved] Suppose oil spills from a ruptured tanker and spreads in a Oil Spilled From A Ruptured Tanker Spreads In A Circle If a is the area of a circle with radius r and the. oil spilled from a ruptured tanker spreads in a circle whose area increases at a constant rate of 6 m^2/h. (b) suppose oil spills from a ruptured tanker and spreads in a circular pattern. in this lecture, we will discuss the following related rates. Oil Spilled From A Ruptured Tanker Spreads In A Circle.