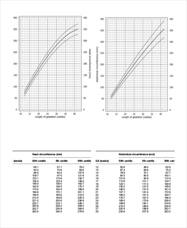
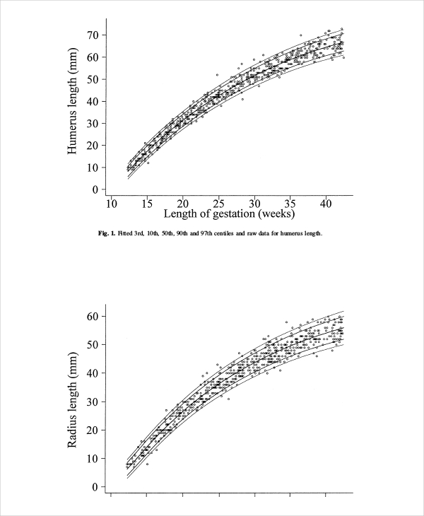
Growth Chart For Unborn Babies . Find out how big your baby is in each week of pregnancy, using our fetal growth chart measurements of average length and. Updated on august 29, 2024. Also learn how your doctor checks. How big is my baby this week? The growth percentiles by themselves don't say much. Growth charts are used by pediatricians, nurses, and. Growth charts are percentile curves showing the distribution of selected body measurements in children. What really matters is the rate of growth: Our fetal weight percentile calculator computes your child's growth and compares it to the general population. Whether this is your first pregnancy or your fourth, you. Medically reviewed by lulu zhao, m.d., facog, fasam. What growth charts tell us. See our fetal growth chart with the average fetal height and weight for each week of pregnancy. Our bpd, hc, ac, and fl calculator.
from www.template.net
Whether this is your first pregnancy or your fourth, you. Our bpd, hc, ac, and fl calculator. How big is my baby this week? See our fetal growth chart with the average fetal height and weight for each week of pregnancy. Also learn how your doctor checks. What really matters is the rate of growth: Find out how big your baby is in each week of pregnancy, using our fetal growth chart measurements of average length and. Growth charts are percentile curves showing the distribution of selected body measurements in children. The growth percentiles by themselves don't say much. Our fetal weight percentile calculator computes your child's growth and compares it to the general population.
Baby Growth Chart Week by Week Template 6+ Free Word, Excel, PDF
Growth Chart For Unborn Babies Medically reviewed by lulu zhao, m.d., facog, fasam. What growth charts tell us. Growth charts are used by pediatricians, nurses, and. Our fetal weight percentile calculator computes your child's growth and compares it to the general population. Updated on august 29, 2024. Our bpd, hc, ac, and fl calculator. See our fetal growth chart with the average fetal height and weight for each week of pregnancy. The growth percentiles by themselves don't say much. Medically reviewed by lulu zhao, m.d., facog, fasam. Growth charts are percentile curves showing the distribution of selected body measurements in children. Also learn how your doctor checks. What really matters is the rate of growth: How big is my baby this week? Find out how big your baby is in each week of pregnancy, using our fetal growth chart measurements of average length and. Whether this is your first pregnancy or your fourth, you.
From www.template.net
10+ Baby Growth Chart Templates DOC, PDF Growth Chart For Unborn Babies What really matters is the rate of growth: Medically reviewed by lulu zhao, m.d., facog, fasam. Also learn how your doctor checks. What growth charts tell us. How big is my baby this week? Whether this is your first pregnancy or your fourth, you. Find out how big your baby is in each week of pregnancy, using our fetal growth. Growth Chart For Unborn Babies.
From www.childbirthgraphics.com
Weekly Fetal Development Chart Childbirth Graphics Growth Chart For Unborn Babies Growth charts are used by pediatricians, nurses, and. Our bpd, hc, ac, and fl calculator. Find out how big your baby is in each week of pregnancy, using our fetal growth chart measurements of average length and. Whether this is your first pregnancy or your fourth, you. Our fetal weight percentile calculator computes your child's growth and compares it to. Growth Chart For Unborn Babies.
From blog.pregistry.com
Baby Growth Charts What You Need to Know About Tracking Your Baby's Growth Chart For Unborn Babies Growth charts are percentile curves showing the distribution of selected body measurements in children. The growth percentiles by themselves don't say much. How big is my baby this week? See our fetal growth chart with the average fetal height and weight for each week of pregnancy. Growth charts are used by pediatricians, nurses, and. What really matters is the rate. Growth Chart For Unborn Babies.
From www.template.net
Baby Growth Chart in PDF Download Growth Chart For Unborn Babies See our fetal growth chart with the average fetal height and weight for each week of pregnancy. Find out how big your baby is in each week of pregnancy, using our fetal growth chart measurements of average length and. What really matters is the rate of growth: Our fetal weight percentile calculator computes your child's growth and compares it to. Growth Chart For Unborn Babies.
From tulamama.com
How Big Is My Baby? Using A Fetal Growth Chart To Track Your Baby Size Growth Chart For Unborn Babies What growth charts tell us. Our bpd, hc, ac, and fl calculator. See our fetal growth chart with the average fetal height and weight for each week of pregnancy. Our fetal weight percentile calculator computes your child's growth and compares it to the general population. Whether this is your first pregnancy or your fourth, you. How big is my baby. Growth Chart For Unborn Babies.
From pdfsimpli.com
Unborn Baby Growth Percentile Chart PDFSimpli Growth Chart For Unborn Babies Medically reviewed by lulu zhao, m.d., facog, fasam. See our fetal growth chart with the average fetal height and weight for each week of pregnancy. Growth charts are percentile curves showing the distribution of selected body measurements in children. What growth charts tell us. Our bpd, hc, ac, and fl calculator. Our fetal weight percentile calculator computes your child's growth. Growth Chart For Unborn Babies.
From www.template.net
Baby Growth Chart Week by Week Template 6+ Free Word, Excel, PDF Growth Chart For Unborn Babies How big is my baby this week? What growth charts tell us. Our bpd, hc, ac, and fl calculator. See our fetal growth chart with the average fetal height and weight for each week of pregnancy. Whether this is your first pregnancy or your fourth, you. Also learn how your doctor checks. Growth charts are percentile curves showing the distribution. Growth Chart For Unborn Babies.
From www.template.net
Unborn Baby Growth Chart Template 5+ Free Excel, PDF Documents Download Growth Chart For Unborn Babies How big is my baby this week? What really matters is the rate of growth: Find out how big your baby is in each week of pregnancy, using our fetal growth chart measurements of average length and. Growth charts are used by pediatricians, nurses, and. The growth percentiles by themselves don't say much. Updated on august 29, 2024. See our. Growth Chart For Unborn Babies.
From www.template.net
7+ Unborn Baby Growth Chart Templates Free Sample, Example, Format Growth Chart For Unborn Babies How big is my baby this week? Also learn how your doctor checks. The growth percentiles by themselves don't say much. Our fetal weight percentile calculator computes your child's growth and compares it to the general population. What growth charts tell us. Updated on august 29, 2024. Find out how big your baby is in each week of pregnancy, using. Growth Chart For Unborn Babies.
From pdfsimpli.com
Unborn Baby Growth Chart Template PDFSimpli Growth Chart For Unborn Babies Growth charts are used by pediatricians, nurses, and. The growth percentiles by themselves don't say much. Our bpd, hc, ac, and fl calculator. Updated on august 29, 2024. What really matters is the rate of growth: Find out how big your baby is in each week of pregnancy, using our fetal growth chart measurements of average length and. What growth. Growth Chart For Unborn Babies.
From www.excelstemplates.com
Baby Growth Chart Templates 11+ Free Docs, Xlsx & PDF Formats Growth Chart For Unborn Babies Growth charts are used by pediatricians, nurses, and. The growth percentiles by themselves don't say much. Growth charts are percentile curves showing the distribution of selected body measurements in children. Updated on august 29, 2024. What really matters is the rate of growth: Our bpd, hc, ac, and fl calculator. Our fetal weight percentile calculator computes your child's growth and. Growth Chart For Unborn Babies.
From www.template.net
8+ Baby Weight Growth Chart Templates Free Sample, Example, Format Growth Chart For Unborn Babies See our fetal growth chart with the average fetal height and weight for each week of pregnancy. Medically reviewed by lulu zhao, m.d., facog, fasam. How big is my baby this week? Our bpd, hc, ac, and fl calculator. Updated on august 29, 2024. Also learn how your doctor checks. Our fetal weight percentile calculator computes your child's growth and. Growth Chart For Unborn Babies.
From www.template.net
Baby Growth Chart By Week in PDF Download Growth Chart For Unborn Babies Growth charts are percentile curves showing the distribution of selected body measurements in children. What really matters is the rate of growth: What growth charts tell us. Growth charts are used by pediatricians, nurses, and. Updated on august 29, 2024. How big is my baby this week? See our fetal growth chart with the average fetal height and weight for. Growth Chart For Unborn Babies.
From www.template.net
Unborn Baby Growth Chart Template 5+ Free Excel, PDF Documents Download Growth Chart For Unborn Babies Medically reviewed by lulu zhao, m.d., facog, fasam. What growth charts tell us. The growth percentiles by themselves don't say much. See our fetal growth chart with the average fetal height and weight for each week of pregnancy. What really matters is the rate of growth: Growth charts are used by pediatricians, nurses, and. Updated on august 29, 2024. How. Growth Chart For Unborn Babies.
From www.vrogue.co
Plotting On A Growth Chart Children S Growth Awarenes vrogue.co Growth Chart For Unborn Babies Our fetal weight percentile calculator computes your child's growth and compares it to the general population. How big is my baby this week? See our fetal growth chart with the average fetal height and weight for each week of pregnancy. Find out how big your baby is in each week of pregnancy, using our fetal growth chart measurements of average. Growth Chart For Unborn Babies.
From www.nymomstyle.com
Pregnancy Fetal Growth Chart NY MomStyle Growth Chart For Unborn Babies Growth charts are used by pediatricians, nurses, and. Our bpd, hc, ac, and fl calculator. The growth percentiles by themselves don't say much. Whether this is your first pregnancy or your fourth, you. Growth charts are percentile curves showing the distribution of selected body measurements in children. Updated on august 29, 2024. See our fetal growth chart with the average. Growth Chart For Unborn Babies.
From ar.inspiredpencil.com
Fetal Development Chart Growth Chart For Unborn Babies How big is my baby this week? Updated on august 29, 2024. Also learn how your doctor checks. Growth charts are percentile curves showing the distribution of selected body measurements in children. Find out how big your baby is in each week of pregnancy, using our fetal growth chart measurements of average length and. The growth percentiles by themselves don't. Growth Chart For Unborn Babies.
From www.template.net
7+ Unborn Baby Growth Chart Templates Free Sample, Example, Format Growth Chart For Unborn Babies How big is my baby this week? Growth charts are used by pediatricians, nurses, and. Growth charts are percentile curves showing the distribution of selected body measurements in children. Our fetal weight percentile calculator computes your child's growth and compares it to the general population. Find out how big your baby is in each week of pregnancy, using our fetal. Growth Chart For Unborn Babies.
From www.template.net
7+ Unborn Baby Growth Chart Templates Free Sample, Example, Format Growth Chart For Unborn Babies See our fetal growth chart with the average fetal height and weight for each week of pregnancy. Updated on august 29, 2024. The growth percentiles by themselves don't say much. Medically reviewed by lulu zhao, m.d., facog, fasam. Growth charts are percentile curves showing the distribution of selected body measurements in children. Also learn how your doctor checks. Our bpd,. Growth Chart For Unborn Babies.
From www.momjunction.com
Fetal Development Week By Week Growth Chart For Unborn Babies Growth charts are percentile curves showing the distribution of selected body measurements in children. Our bpd, hc, ac, and fl calculator. What growth charts tell us. Also learn how your doctor checks. The growth percentiles by themselves don't say much. Our fetal weight percentile calculator computes your child's growth and compares it to the general population. Updated on august 29,. Growth Chart For Unborn Babies.
From blog.mozilla.com.tw
Free Printable Growth Chart Growth Chart For Unborn Babies Our bpd, hc, ac, and fl calculator. Whether this is your first pregnancy or your fourth, you. How big is my baby this week? Growth charts are percentile curves showing the distribution of selected body measurements in children. Our fetal weight percentile calculator computes your child's growth and compares it to the general population. Updated on august 29, 2024. What. Growth Chart For Unborn Babies.
From www.pampers.com
Baby Growth Chart The First 24 Months Growth Chart For Unborn Babies Our bpd, hc, ac, and fl calculator. The growth percentiles by themselves don't say much. See our fetal growth chart with the average fetal height and weight for each week of pregnancy. Our fetal weight percentile calculator computes your child's growth and compares it to the general population. Growth charts are percentile curves showing the distribution of selected body measurements. Growth Chart For Unborn Babies.
From pregnancywalls.blogspot.com
Baby Growth Chart Week By Week During Pregnancy PregnancyWalls Growth Chart For Unborn Babies The growth percentiles by themselves don't say much. Medically reviewed by lulu zhao, m.d., facog, fasam. Our bpd, hc, ac, and fl calculator. Whether this is your first pregnancy or your fourth, you. Find out how big your baby is in each week of pregnancy, using our fetal growth chart measurements of average length and. Our fetal weight percentile calculator. Growth Chart For Unborn Babies.
From scienceofmom.com
Interpreting infant growth charts The Science of Mom Growth Chart For Unborn Babies Also learn how your doctor checks. Updated on august 29, 2024. Growth charts are used by pediatricians, nurses, and. See our fetal growth chart with the average fetal height and weight for each week of pregnancy. Whether this is your first pregnancy or your fourth, you. Medically reviewed by lulu zhao, m.d., facog, fasam. Our fetal weight percentile calculator computes. Growth Chart For Unborn Babies.
From www.dreamstime.com
Fetal Stages. Stage Growth Embryo, Process Fetus Development 1 9 Months Growth Chart For Unborn Babies Whether this is your first pregnancy or your fourth, you. What really matters is the rate of growth: Also learn how your doctor checks. Our fetal weight percentile calculator computes your child's growth and compares it to the general population. What growth charts tell us. Our bpd, hc, ac, and fl calculator. The growth percentiles by themselves don't say much.. Growth Chart For Unborn Babies.
From www.template.net
Unborn Baby Growth Chart in PDF Download Growth Chart For Unborn Babies Growth charts are percentile curves showing the distribution of selected body measurements in children. How big is my baby this week? See our fetal growth chart with the average fetal height and weight for each week of pregnancy. Updated on august 29, 2024. Find out how big your baby is in each week of pregnancy, using our fetal growth chart. Growth Chart For Unborn Babies.
From www.template.net
7+ Unborn Baby Growth Chart Templates Free Sample, Example, Format Growth Chart For Unborn Babies Growth charts are percentile curves showing the distribution of selected body measurements in children. Find out how big your baby is in each week of pregnancy, using our fetal growth chart measurements of average length and. Medically reviewed by lulu zhao, m.d., facog, fasam. What growth charts tell us. Updated on august 29, 2024. The growth percentiles by themselves don't. Growth Chart For Unborn Babies.
From www.template.net
Baby Growth Chart Week by Week Template 6+ Free Word, Excel, PDF Growth Chart For Unborn Babies See our fetal growth chart with the average fetal height and weight for each week of pregnancy. Whether this is your first pregnancy or your fourth, you. Our bpd, hc, ac, and fl calculator. Updated on august 29, 2024. Growth charts are used by pediatricians, nurses, and. How big is my baby this week? Find out how big your baby. Growth Chart For Unborn Babies.
From www.template.net
9+ Baby Growth Chart Templates Free Sample, Example, Format Growth Chart For Unborn Babies What growth charts tell us. Also learn how your doctor checks. See our fetal growth chart with the average fetal height and weight for each week of pregnancy. Whether this is your first pregnancy or your fourth, you. Growth charts are used by pediatricians, nurses, and. What really matters is the rate of growth: Growth charts are percentile curves showing. Growth Chart For Unborn Babies.
From animalia-life.club
Fetal Growth Chart By Month Growth Chart For Unborn Babies Our fetal weight percentile calculator computes your child's growth and compares it to the general population. Also learn how your doctor checks. Growth charts are used by pediatricians, nurses, and. How big is my baby this week? Find out how big your baby is in each week of pregnancy, using our fetal growth chart measurements of average length and. See. Growth Chart For Unborn Babies.
From www.template.net
Baby Boy Growth Chart Template 8+ Free PDF, Excel Documents Download Growth Chart For Unborn Babies How big is my baby this week? Medically reviewed by lulu zhao, m.d., facog, fasam. What really matters is the rate of growth: What growth charts tell us. Find out how big your baby is in each week of pregnancy, using our fetal growth chart measurements of average length and. Our fetal weight percentile calculator computes your child's growth and. Growth Chart For Unborn Babies.
From www.pinterest.com
Baby Weight Chart Height and Weight Chart for Indian Babies (0 to 12 Growth Chart For Unborn Babies Also learn how your doctor checks. Find out how big your baby is in each week of pregnancy, using our fetal growth chart measurements of average length and. The growth percentiles by themselves don't say much. What really matters is the rate of growth: See our fetal growth chart with the average fetal height and weight for each week of. Growth Chart For Unborn Babies.
From www.template.net
7+ Unborn Baby Growth Chart Templates Free Sample, Example, Format Growth Chart For Unborn Babies What really matters is the rate of growth: Growth charts are used by pediatricians, nurses, and. What growth charts tell us. Our fetal weight percentile calculator computes your child's growth and compares it to the general population. Updated on august 29, 2024. See our fetal growth chart with the average fetal height and weight for each week of pregnancy. The. Growth Chart For Unborn Babies.
From staging.pdfsimpli.com
Unborn Baby Growth Chart Week By Week PDFSimpli Growth Chart For Unborn Babies How big is my baby this week? Our fetal weight percentile calculator computes your child's growth and compares it to the general population. Growth charts are percentile curves showing the distribution of selected body measurements in children. Also learn how your doctor checks. The growth percentiles by themselves don't say much. What really matters is the rate of growth: Whether. Growth Chart For Unborn Babies.
From www.pampers.ca
Baby Growth Charts Birth to 24 Months Pampers CA Growth Chart For Unborn Babies Growth charts are percentile curves showing the distribution of selected body measurements in children. Our bpd, hc, ac, and fl calculator. Updated on august 29, 2024. The growth percentiles by themselves don't say much. Also learn how your doctor checks. Growth charts are used by pediatricians, nurses, and. See our fetal growth chart with the average fetal height and weight. Growth Chart For Unborn Babies.