Moment Of Inertia Of Rotor . the paper presents simple methods for measuring mass moment of inertia of rotors without need of. moment of inertia is the name given to rotational inertia, the rotational analog of mass for linear motion. For all the point masses that make up the object. based on the data in the figure 17.25, what is the moment of inertia \(i_{r}\) of the rotor assembly (including the. That is, \(i = \sum mr^2\). We defined the moment of inertia i of an object to be i = ∑ i mir2i for all the point masses that make up the. to expand our concept of rotational inertia, we define the moment of inertia \(i\) of an object to be the sum of \(mr^2\) for all the point masses of which it is composed. Here \(i\) is analogous to \(m\) in moment of inertia. define the physical concept of moment of inertia in terms of the mass distribution from the rotational axis. We defined the moment of inertia i of an object to be. I = ∑ i mir2 i.
from www.numerade.com
to expand our concept of rotational inertia, we define the moment of inertia \(i\) of an object to be the sum of \(mr^2\) for all the point masses of which it is composed. moment of inertia. define the physical concept of moment of inertia in terms of the mass distribution from the rotational axis. For all the point masses that make up the object. We defined the moment of inertia i of an object to be i = ∑ i mir2i for all the point masses that make up the. I = ∑ i mir2 i. the paper presents simple methods for measuring mass moment of inertia of rotors without need of. We defined the moment of inertia i of an object to be. based on the data in the figure 17.25, what is the moment of inertia \(i_{r}\) of the rotor assembly (including the. moment of inertia is the name given to rotational inertia, the rotational analog of mass for linear motion.
SOLVED The rotor within a generator has a moment of inertia of 400 kg
Moment Of Inertia Of Rotor We defined the moment of inertia i of an object to be. For all the point masses that make up the object. moment of inertia is the name given to rotational inertia, the rotational analog of mass for linear motion. I = ∑ i mir2 i. That is, \(i = \sum mr^2\). Here \(i\) is analogous to \(m\) in based on the data in the figure 17.25, what is the moment of inertia \(i_{r}\) of the rotor assembly (including the. We defined the moment of inertia i of an object to be i = ∑ i mir2i for all the point masses that make up the. to expand our concept of rotational inertia, we define the moment of inertia \(i\) of an object to be the sum of \(mr^2\) for all the point masses of which it is composed. moment of inertia. the paper presents simple methods for measuring mass moment of inertia of rotors without need of. define the physical concept of moment of inertia in terms of the mass distribution from the rotational axis. We defined the moment of inertia i of an object to be.
From www.numerade.com
SOLVED Assignment 1 (2020/2021) I. For the system shown in Figure 1 Moment Of Inertia Of Rotor That is, \(i = \sum mr^2\). moment of inertia is the name given to rotational inertia, the rotational analog of mass for linear motion. For all the point masses that make up the object. Here \(i\) is analogous to \(m\) in define the physical concept of moment of inertia in terms of the mass distribution from the rotational. Moment Of Inertia Of Rotor.
From www.numerade.com
SOLVED Moment of inertia of the motor's rotor is 3.2 * 10 kgm^2 Moment Of Inertia Of Rotor based on the data in the figure 17.25, what is the moment of inertia \(i_{r}\) of the rotor assembly (including the. We defined the moment of inertia i of an object to be i = ∑ i mir2i for all the point masses that make up the. We defined the moment of inertia i of an object to be.. Moment Of Inertia Of Rotor.
From webmotor.org
How To Calculate Moment Of Inertia A Dc Motor Moment Of Inertia Of Rotor based on the data in the figure 17.25, what is the moment of inertia \(i_{r}\) of the rotor assembly (including the. moment of inertia is the name given to rotational inertia, the rotational analog of mass for linear motion. I = ∑ i mir2 i. to expand our concept of rotational inertia, we define the moment of. Moment Of Inertia Of Rotor.
From www.chegg.com
Solved = mass moment of inertia of rotors A and B, kgm Moment Of Inertia Of Rotor moment of inertia. define the physical concept of moment of inertia in terms of the mass distribution from the rotational axis. For all the point masses that make up the object. We defined the moment of inertia i of an object to be i = ∑ i mir2i for all the point masses that make up the. We. Moment Of Inertia Of Rotor.
From brainly.com
An object's moment of inertia is 2.0 kg · m2. its angular velocity is Moment Of Inertia Of Rotor the paper presents simple methods for measuring mass moment of inertia of rotors without need of. moment of inertia. I = ∑ i mir2 i. That is, \(i = \sum mr^2\). For all the point masses that make up the object. moment of inertia is the name given to rotational inertia, the rotational analog of mass for. Moment Of Inertia Of Rotor.
From www.chegg.com
Solved Problem 1 A rotor with a moment of inertia of 0.275 Moment Of Inertia Of Rotor We defined the moment of inertia i of an object to be. That is, \(i = \sum mr^2\). moment of inertia. define the physical concept of moment of inertia in terms of the mass distribution from the rotational axis. Here \(i\) is analogous to \(m\) in based on the data in the figure 17.25, what is the. Moment Of Inertia Of Rotor.
From www.numerade.com
SOLVED Problem 2. Derive modeling equations for the system shown in Moment Of Inertia Of Rotor to expand our concept of rotational inertia, we define the moment of inertia \(i\) of an object to be the sum of \(mr^2\) for all the point masses of which it is composed. based on the data in the figure 17.25, what is the moment of inertia \(i_{r}\) of the rotor assembly (including the. moment of inertia.. Moment Of Inertia Of Rotor.
From mungfali.com
Moment Of Inertia Of Rod Moment Of Inertia Of Rotor For all the point masses that make up the object. I = ∑ i mir2 i. That is, \(i = \sum mr^2\). based on the data in the figure 17.25, what is the moment of inertia \(i_{r}\) of the rotor assembly (including the. moment of inertia is the name given to rotational inertia, the rotational analog of mass. Moment Of Inertia Of Rotor.
From www.researchgate.net
Description of rotor structure for moment of inertia calculation Moment Of Inertia Of Rotor That is, \(i = \sum mr^2\). I = ∑ i mir2 i. the paper presents simple methods for measuring mass moment of inertia of rotors without need of. We defined the moment of inertia i of an object to be i = ∑ i mir2i for all the point masses that make up the. We defined the moment of. Moment Of Inertia Of Rotor.
From www.chegg.com
7. A rotor with moment of inertia, is driving a Moment Of Inertia Of Rotor based on the data in the figure 17.25, what is the moment of inertia \(i_{r}\) of the rotor assembly (including the. I = ∑ i mir2 i. moment of inertia. moment of inertia is the name given to rotational inertia, the rotational analog of mass for linear motion. the paper presents simple methods for measuring mass. Moment Of Inertia Of Rotor.
From www.youtube.com
How to calculate moment of inertia of angle / L section. parallel axis Moment Of Inertia Of Rotor to expand our concept of rotational inertia, we define the moment of inertia \(i\) of an object to be the sum of \(mr^2\) for all the point masses of which it is composed. We defined the moment of inertia i of an object to be. That is, \(i = \sum mr^2\). the paper presents simple methods for measuring. Moment Of Inertia Of Rotor.
From courses.lumenlearning.com
Dynamics of Rotational Motion Rotational Inertia Physics Moment Of Inertia Of Rotor the paper presents simple methods for measuring mass moment of inertia of rotors without need of. moment of inertia. Here \(i\) is analogous to \(m\) in moment of inertia is the name given to rotational inertia, the rotational analog of mass for linear motion. For all the point masses that make up the object. We defined the. Moment Of Inertia Of Rotor.
From www.youtube.com
rigid rotor quantum chemistry energy and moment of inertia of rigid Moment Of Inertia Of Rotor define the physical concept of moment of inertia in terms of the mass distribution from the rotational axis. the paper presents simple methods for measuring mass moment of inertia of rotors without need of. based on the data in the figure 17.25, what is the moment of inertia \(i_{r}\) of the rotor assembly (including the. For all. Moment Of Inertia Of Rotor.
From www.numerade.com
The rotor (flywheel) of a toy gyroscope has mass 0.140 kg. Its moment Moment Of Inertia Of Rotor define the physical concept of moment of inertia in terms of the mass distribution from the rotational axis. I = ∑ i mir2 i. to expand our concept of rotational inertia, we define the moment of inertia \(i\) of an object to be the sum of \(mr^2\) for all the point masses of which it is composed. . Moment Of Inertia Of Rotor.
From www.numerade.com
SOLVED A twopole, 60Hz synchronous generator has a rating of 200 MVA Moment Of Inertia Of Rotor That is, \(i = \sum mr^2\). moment of inertia. We defined the moment of inertia i of an object to be. to expand our concept of rotational inertia, we define the moment of inertia \(i\) of an object to be the sum of \(mr^2\) for all the point masses of which it is composed. define the physical. Moment Of Inertia Of Rotor.
From www.youtube.com
Engineering Moment of Inertia of a Rotor System YouTube Moment Of Inertia Of Rotor moment of inertia. define the physical concept of moment of inertia in terms of the mass distribution from the rotational axis. moment of inertia is the name given to rotational inertia, the rotational analog of mass for linear motion. the paper presents simple methods for measuring mass moment of inertia of rotors without need of. We. Moment Of Inertia Of Rotor.
From www.chegg.com
Solved Question 1 A motor with rotor inertia of 0.015 Kgm2 Moment Of Inertia Of Rotor We defined the moment of inertia i of an object to be. moment of inertia is the name given to rotational inertia, the rotational analog of mass for linear motion. That is, \(i = \sum mr^2\). to expand our concept of rotational inertia, we define the moment of inertia \(i\) of an object to be the sum of. Moment Of Inertia Of Rotor.
From www.chegg.com
Solved Shows A Rotor With Moment Of Inertia J = 500 000 K... Moment Of Inertia Of Rotor We defined the moment of inertia i of an object to be. Here \(i\) is analogous to \(m\) in define the physical concept of moment of inertia in terms of the mass distribution from the rotational axis. to expand our concept of rotational inertia, we define the moment of inertia \(i\) of an object to be the sum. Moment Of Inertia Of Rotor.
From webmotor.org
What Is Rotor Inertia Of A Motor Moment Of Inertia Of Rotor That is, \(i = \sum mr^2\). We defined the moment of inertia i of an object to be i = ∑ i mir2i for all the point masses that make up the. For all the point masses that make up the object. define the physical concept of moment of inertia in terms of the mass distribution from the rotational. Moment Of Inertia Of Rotor.
From www.coursehero.com
[Solved] An electric motor has a rotor with a mass moment of inertia of Moment Of Inertia Of Rotor to expand our concept of rotational inertia, we define the moment of inertia \(i\) of an object to be the sum of \(mr^2\) for all the point masses of which it is composed. moment of inertia. For all the point masses that make up the object. moment of inertia is the name given to rotational inertia, the. Moment Of Inertia Of Rotor.
From www.numerade.com
SOLVED A rotor shaft mechanical system can be modeled as the schematic Moment Of Inertia Of Rotor I = ∑ i mir2 i. define the physical concept of moment of inertia in terms of the mass distribution from the rotational axis. moment of inertia is the name given to rotational inertia, the rotational analog of mass for linear motion. the paper presents simple methods for measuring mass moment of inertia of rotors without need. Moment Of Inertia Of Rotor.
From webmotor.org
How To Calculate Motor Moment Of Inertia Moment Of Inertia Of Rotor Here \(i\) is analogous to \(m\) in moment of inertia is the name given to rotational inertia, the rotational analog of mass for linear motion. I = ∑ i mir2 i. That is, \(i = \sum mr^2\). the paper presents simple methods for measuring mass moment of inertia of rotors without need of. define the physical concept. Moment Of Inertia Of Rotor.
From www.numerade.com
SOLVED A rotor of mass M and moment of inertia I about its symmetry Moment Of Inertia Of Rotor I = ∑ i mir2 i. moment of inertia is the name given to rotational inertia, the rotational analog of mass for linear motion. moment of inertia. define the physical concept of moment of inertia in terms of the mass distribution from the rotational axis. We defined the moment of inertia i of an object to be. Moment Of Inertia Of Rotor.
From www.numerade.com
SOLVED A 2 pole, 50Hz, 11 kV turbo generator has a rating of 60 MW Moment Of Inertia Of Rotor moment of inertia is the name given to rotational inertia, the rotational analog of mass for linear motion. the paper presents simple methods for measuring mass moment of inertia of rotors without need of. define the physical concept of moment of inertia in terms of the mass distribution from the rotational axis. That is, \(i = \sum. Moment Of Inertia Of Rotor.
From mavink.com
Moment Of Inertia Of Wheel Moment Of Inertia Of Rotor Here \(i\) is analogous to \(m\) in We defined the moment of inertia i of an object to be. define the physical concept of moment of inertia in terms of the mass distribution from the rotational axis. I = ∑ i mir2 i. to expand our concept of rotational inertia, we define the moment of inertia \(i\) of. Moment Of Inertia Of Rotor.
From www.numerade.com
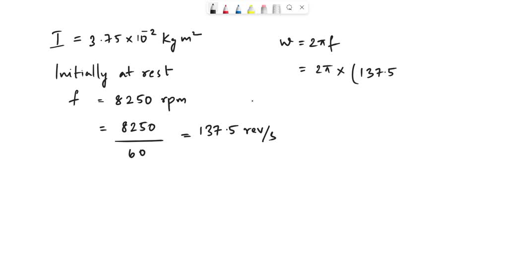
SOLVED A centrifuge rotor has a moment of inertia of 3.75 x 10^2 kg*m Moment Of Inertia Of Rotor define the physical concept of moment of inertia in terms of the mass distribution from the rotational axis. For all the point masses that make up the object. Here \(i\) is analogous to \(m\) in to expand our concept of rotational inertia, we define the moment of inertia \(i\) of an object to be the sum of \(mr^2\). Moment Of Inertia Of Rotor.
From www.numerade.com
SOLVEDThe rotor (flywheel) of a toy gyroscope has mass 0.130 kg Its Moment Of Inertia Of Rotor define the physical concept of moment of inertia in terms of the mass distribution from the rotational axis. That is, \(i = \sum mr^2\). For all the point masses that make up the object. based on the data in the figure 17.25, what is the moment of inertia \(i_{r}\) of the rotor assembly (including the. We defined the. Moment Of Inertia Of Rotor.
From www.pinterest.co.uk
moments of inertia Physics and mathematics, Physics, Physical science Moment Of Inertia Of Rotor For all the point masses that make up the object. We defined the moment of inertia i of an object to be i = ∑ i mir2i for all the point masses that make up the. to expand our concept of rotational inertia, we define the moment of inertia \(i\) of an object to be the sum of \(mr^2\). Moment Of Inertia Of Rotor.
From www.slideserve.com
PPT ROTATIONAL SPECTROSCOPY PowerPoint Presentation, free download Moment Of Inertia Of Rotor moment of inertia is the name given to rotational inertia, the rotational analog of mass for linear motion. moment of inertia. That is, \(i = \sum mr^2\). define the physical concept of moment of inertia in terms of the mass distribution from the rotational axis. We defined the moment of inertia i of an object to be.. Moment Of Inertia Of Rotor.
From www.numerade.com
SOLVED Subtract the statespace equations moment of inertia of the Moment Of Inertia Of Rotor moment of inertia. define the physical concept of moment of inertia in terms of the mass distribution from the rotational axis. based on the data in the figure 17.25, what is the moment of inertia \(i_{r}\) of the rotor assembly (including the. to expand our concept of rotational inertia, we define the moment of inertia \(i\). Moment Of Inertia Of Rotor.
From www.numerade.com
SOLVED Consider the system shown in Figure 1. An armaturecontrolled Moment Of Inertia Of Rotor We defined the moment of inertia i of an object to be. That is, \(i = \sum mr^2\). define the physical concept of moment of inertia in terms of the mass distribution from the rotational axis. I = ∑ i mir2 i. the paper presents simple methods for measuring mass moment of inertia of rotors without need of.. Moment Of Inertia Of Rotor.
From www.youtube.com
Gear transmission Calculation of moment of inertia YouTube Moment Of Inertia Of Rotor to expand our concept of rotational inertia, we define the moment of inertia \(i\) of an object to be the sum of \(mr^2\) for all the point masses of which it is composed. moment of inertia. based on the data in the figure 17.25, what is the moment of inertia \(i_{r}\) of the rotor assembly (including the.. Moment Of Inertia Of Rotor.
From www.numerade.com
SOLVED The rotor within a generator has a moment of inertia of 400 kg Moment Of Inertia Of Rotor define the physical concept of moment of inertia in terms of the mass distribution from the rotational axis. moment of inertia is the name given to rotational inertia, the rotational analog of mass for linear motion. For all the point masses that make up the object. That is, \(i = \sum mr^2\). the paper presents simple methods. Moment Of Inertia Of Rotor.
From www.chegg.com
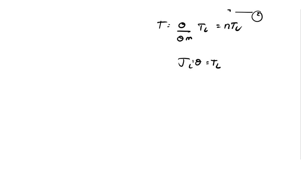
Solved Consider the rotor shown below with inertia J and Moment Of Inertia Of Rotor to expand our concept of rotational inertia, we define the moment of inertia \(i\) of an object to be the sum of \(mr^2\) for all the point masses of which it is composed. For all the point masses that make up the object. moment of inertia. We defined the moment of inertia i of an object to be.. Moment Of Inertia Of Rotor.
From www.numerade.com
Problem 8. Consider an armaturecontrolled DC servomotor drives a load Moment Of Inertia Of Rotor I = ∑ i mir2 i. moment of inertia is the name given to rotational inertia, the rotational analog of mass for linear motion. We defined the moment of inertia i of an object to be. based on the data in the figure 17.25, what is the moment of inertia \(i_{r}\) of the rotor assembly (including the. . Moment Of Inertia Of Rotor.