Usufruct Property Law Definition . Usufruct is the right to use and benefit from a property, while the ownership of which belongs to another person. It is the right to use the property, to enjoy the fruits and. Usufruct is a legal right that grants an individual or party the temporary use and benefits derived from someone else’s property. For example, if you have. Usufruct is a right in a property owned by another, normally for a limited time or until death. The person who enjoys the. Usufruct is a legal term that means you have the right to use and enjoy someone else's property without owning it. Usufruct is a legal right that allows a person to use and enjoy the benefits of someone else's property without owning it.
from www.scribd.com
Usufruct is a legal right that allows a person to use and enjoy the benefits of someone else's property without owning it. Usufruct is the right to use and benefit from a property, while the ownership of which belongs to another person. Usufruct is a legal term that means you have the right to use and enjoy someone else's property without owning it. Usufruct is a legal right that grants an individual or party the temporary use and benefits derived from someone else’s property. The person who enjoys the. Usufruct is a right in a property owned by another, normally for a limited time or until death. For example, if you have. It is the right to use the property, to enjoy the fruits and.
Contract of Usufruct Deed Law And Economics
Usufruct Property Law Definition Usufruct is a legal term that means you have the right to use and enjoy someone else's property without owning it. Usufruct is a legal right that allows a person to use and enjoy the benefits of someone else's property without owning it. Usufruct is a right in a property owned by another, normally for a limited time or until death. Usufruct is a legal term that means you have the right to use and enjoy someone else's property without owning it. The person who enjoys the. Usufruct is a legal right that grants an individual or party the temporary use and benefits derived from someone else’s property. Usufruct is the right to use and benefit from a property, while the ownership of which belongs to another person. It is the right to use the property, to enjoy the fruits and. For example, if you have.
From www.studocu.com
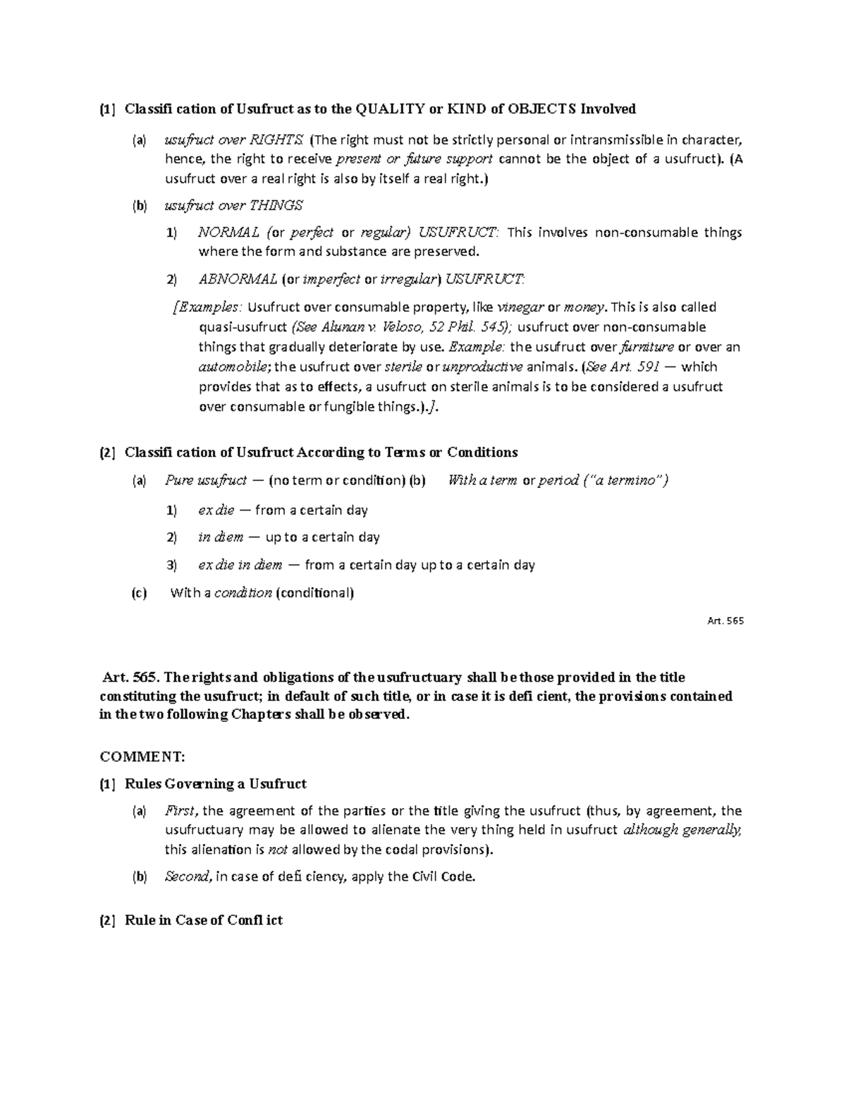
Property law m137 (1) Classifi cation of Usufruct as to the QUALITY Usufruct Property Law Definition Usufruct is a legal right that allows a person to use and enjoy the benefits of someone else's property without owning it. Usufruct is the right to use and benefit from a property, while the ownership of which belongs to another person. The person who enjoys the. For example, if you have. It is the right to use the property,. Usufruct Property Law Definition.
From www.scribd.com
Contract of Usufruct PDF Property Common Law Usufruct Property Law Definition Usufruct is a legal term that means you have the right to use and enjoy someone else's property without owning it. It is the right to use the property, to enjoy the fruits and. Usufruct is a legal right that allows a person to use and enjoy the benefits of someone else's property without owning it. For example, if you. Usufruct Property Law Definition.
From www.studocu.com
Property law m152 Art. 610. A usufruct is not extinguished by bad use Usufruct Property Law Definition For example, if you have. Usufruct is a legal term that means you have the right to use and enjoy someone else's property without owning it. The person who enjoys the. Usufruct is the right to use and benefit from a property, while the ownership of which belongs to another person. It is the right to use the property, to. Usufruct Property Law Definition.
From www.scribd.com
Deed of Usufruct PDF Property Law Government Usufruct Property Law Definition The person who enjoys the. Usufruct is the right to use and benefit from a property, while the ownership of which belongs to another person. Usufruct is a right in a property owned by another, normally for a limited time or until death. Usufruct is a legal term that means you have the right to use and enjoy someone else's. Usufruct Property Law Definition.
From www.scribd.com
Deed of Usufruct Property Law Virtue Usufruct Property Law Definition Usufruct is a right in a property owned by another, normally for a limited time or until death. Usufruct is the right to use and benefit from a property, while the ownership of which belongs to another person. Usufruct is a legal term that means you have the right to use and enjoy someone else's property without owning it. Usufruct. Usufruct Property Law Definition.
From www.scribd.com
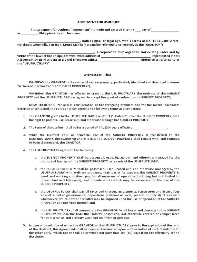
Usufruct Agreement Download Free PDF Property Environmental Law Usufruct Property Law Definition Usufruct is a legal right that grants an individual or party the temporary use and benefits derived from someone else’s property. For example, if you have. Usufruct is the right to use and benefit from a property, while the ownership of which belongs to another person. Usufruct is a right in a property owned by another, normally for a limited. Usufruct Property Law Definition.
From www.scribd.com
Deed of Usufruct PDF Property Civil Law (Legal System) Usufruct Property Law Definition It is the right to use the property, to enjoy the fruits and. The person who enjoys the. Usufruct is a legal term that means you have the right to use and enjoy someone else's property without owning it. Usufruct is a legal right that allows a person to use and enjoy the benefits of someone else's property without owning. Usufruct Property Law Definition.
From www.white-baos.com
Expenses and usufruct Who pays the expenses of the property? Usufruct Property Law Definition It is the right to use the property, to enjoy the fruits and. Usufruct is a legal right that grants an individual or party the temporary use and benefits derived from someone else’s property. Usufruct is a right in a property owned by another, normally for a limited time or until death. Usufruct is the right to use and benefit. Usufruct Property Law Definition.
From www.scribd.com
Sample Usufruct PDF Property Law And Economics Usufruct Property Law Definition Usufruct is the right to use and benefit from a property, while the ownership of which belongs to another person. Usufruct is a legal right that grants an individual or party the temporary use and benefits derived from someone else’s property. For example, if you have. Usufruct is a legal term that means you have the right to use and. Usufruct Property Law Definition.
From www.dubizzle.com
Initial Usufruct Property Laws in Dubai Basics to Know Usufruct Property Law Definition The person who enjoys the. Usufruct is a legal term that means you have the right to use and enjoy someone else's property without owning it. For example, if you have. Usufruct is a right in a property owned by another, normally for a limited time or until death. Usufruct is the right to use and benefit from a property,. Usufruct Property Law Definition.
From www.scribd.com
Deed of Usufruct PDF Private Law Common Law Usufruct Property Law Definition Usufruct is a right in a property owned by another, normally for a limited time or until death. The person who enjoys the. Usufruct is a legal right that allows a person to use and enjoy the benefits of someone else's property without owning it. It is the right to use the property, to enjoy the fruits and. Usufruct is. Usufruct Property Law Definition.
From www.scribd.com
Contract of Usufruct PDF Property Civil Law Law) Usufruct Property Law Definition Usufruct is a legal right that allows a person to use and enjoy the benefits of someone else's property without owning it. Usufruct is a legal term that means you have the right to use and enjoy someone else's property without owning it. Usufruct is a legal right that grants an individual or party the temporary use and benefits derived. Usufruct Property Law Definition.
From www.scribd.com
Sample Usufruct Contract PDF Lease Property Usufruct Property Law Definition Usufruct is a right in a property owned by another, normally for a limited time or until death. The person who enjoys the. Usufruct is a legal right that grants an individual or party the temporary use and benefits derived from someone else’s property. Usufruct is a legal right that allows a person to use and enjoy the benefits of. Usufruct Property Law Definition.
From www.scribd.com
Contract of Usufruct Over Real Property or Usufruct Agreement PDF Usufruct Property Law Definition The person who enjoys the. Usufruct is the right to use and benefit from a property, while the ownership of which belongs to another person. Usufruct is a legal right that grants an individual or party the temporary use and benefits derived from someone else’s property. Usufruct is a legal term that means you have the right to use and. Usufruct Property Law Definition.
From www.scribd.com
Deed of Usufruct Saint Francis PDF Property Law Environmental Law Usufruct Property Law Definition Usufruct is a right in a property owned by another, normally for a limited time or until death. Usufruct is the right to use and benefit from a property, while the ownership of which belongs to another person. It is the right to use the property, to enjoy the fruits and. Usufruct is a legal right that grants an individual. Usufruct Property Law Definition.
From www.scribd.com
Usufruct Agreement PDF Property Civil Law Law) Usufruct Property Law Definition The person who enjoys the. For example, if you have. Usufruct is a right in a property owned by another, normally for a limited time or until death. Usufruct is a legal right that allows a person to use and enjoy the benefits of someone else's property without owning it. Usufruct is the right to use and benefit from a. Usufruct Property Law Definition.
From www.scribd.com
Usufruct Agreement PDF Lease Natural Resources Law Usufruct Property Law Definition Usufruct is a right in a property owned by another, normally for a limited time or until death. It is the right to use the property, to enjoy the fruits and. Usufruct is a legal term that means you have the right to use and enjoy someone else's property without owning it. Usufruct is a legal right that grants an. Usufruct Property Law Definition.
From www.scribd.com
PROPERTY LAW 11 Usufruct Art 562 To 612 (2017) PDF PDF Lease Usufruct Property Law Definition Usufruct is a right in a property owned by another, normally for a limited time or until death. For example, if you have. It is the right to use the property, to enjoy the fruits and. The person who enjoys the. Usufruct is a legal right that allows a person to use and enjoy the benefits of someone else's property. Usufruct Property Law Definition.
From www.scribd.com
Usufruct PDF Assignment (Law) Real Property Usufruct Property Law Definition Usufruct is a legal right that allows a person to use and enjoy the benefits of someone else's property without owning it. Usufruct is a legal right that grants an individual or party the temporary use and benefits derived from someone else’s property. Usufruct is the right to use and benefit from a property, while the ownership of which belongs. Usufruct Property Law Definition.
From legal-explanations.com
Usufruct Definition What Does Usufruct Mean? Usufruct Property Law Definition For example, if you have. Usufruct is a legal term that means you have the right to use and enjoy someone else's property without owning it. Usufruct is a legal right that allows a person to use and enjoy the benefits of someone else's property without owning it. It is the right to use the property, to enjoy the fruits. Usufruct Property Law Definition.
From www.white-baos.com
Usufruct in Spain. Gift purchase and inheritance reserving the usufruct Usufruct Property Law Definition The person who enjoys the. Usufruct is a legal right that allows a person to use and enjoy the benefits of someone else's property without owning it. Usufruct is a legal term that means you have the right to use and enjoy someone else's property without owning it. Usufruct is the right to use and benefit from a property, while. Usufruct Property Law Definition.
From www.youtube.com
Property Law 8 Usufruct Part 1 Law School Bar Exam Audiobook Review Usufruct Property Law Definition Usufruct is a right in a property owned by another, normally for a limited time or until death. Usufruct is a legal right that grants an individual or party the temporary use and benefits derived from someone else’s property. The person who enjoys the. Usufruct is the right to use and benefit from a property, while the ownership of which. Usufruct Property Law Definition.
From www.scribd.com
Contract of Usufruct PDF Private Law Government Usufruct Property Law Definition Usufruct is a legal right that allows a person to use and enjoy the benefits of someone else's property without owning it. For example, if you have. It is the right to use the property, to enjoy the fruits and. Usufruct is a legal right that grants an individual or party the temporary use and benefits derived from someone else’s. Usufruct Property Law Definition.
From www.facebook.com
What is "usufruct"? Unfamiliar with "Usufruct" and its legalities Usufruct Property Law Definition Usufruct is a legal term that means you have the right to use and enjoy someone else's property without owning it. Usufruct is the right to use and benefit from a property, while the ownership of which belongs to another person. Usufruct is a right in a property owned by another, normally for a limited time or until death. It. Usufruct Property Law Definition.
From marketbusinessnews.com
What is a usufruct? Definition and examples Market Business News Usufruct Property Law Definition It is the right to use the property, to enjoy the fruits and. Usufruct is the right to use and benefit from a property, while the ownership of which belongs to another person. Usufruct is a legal right that allows a person to use and enjoy the benefits of someone else's property without owning it. Usufruct is a legal right. Usufruct Property Law Definition.
From www.youtube.com
Usufruct and bare dominium made easy for Estate duty purposes YouTube Usufruct Property Law Definition Usufruct is a legal term that means you have the right to use and enjoy someone else's property without owning it. The person who enjoys the. Usufruct is the right to use and benefit from a property, while the ownership of which belongs to another person. Usufruct is a legal right that allows a person to use and enjoy the. Usufruct Property Law Definition.
From www.scribd.com
Sample Deed of Usufruct Over A Real Property PDF PDF Deed Usufruct Property Law Definition It is the right to use the property, to enjoy the fruits and. For example, if you have. The person who enjoys the. Usufruct is a legal right that allows a person to use and enjoy the benefits of someone else's property without owning it. Usufruct is a right in a property owned by another, normally for a limited time. Usufruct Property Law Definition.
From www.scribd.com
Usufruct Agreement Sample Form Property Ownership Usufruct Property Law Definition Usufruct is a legal term that means you have the right to use and enjoy someone else's property without owning it. Usufruct is a legal right that allows a person to use and enjoy the benefits of someone else's property without owning it. Usufruct is a right in a property owned by another, normally for a limited time or until. Usufruct Property Law Definition.
From www.scribd.com
Contract of Usufruct Deed Law And Economics Usufruct Property Law Definition For example, if you have. The person who enjoys the. Usufruct is a legal right that allows a person to use and enjoy the benefits of someone else's property without owning it. Usufruct is a legal right that grants an individual or party the temporary use and benefits derived from someone else’s property. Usufruct is a right in a property. Usufruct Property Law Definition.
From www.hood-law.com
What is Usufruct? Usufruct Property Law Definition Usufruct is the right to use and benefit from a property, while the ownership of which belongs to another person. Usufruct is a right in a property owned by another, normally for a limited time or until death. It is the right to use the property, to enjoy the fruits and. The person who enjoys the. For example, if you. Usufruct Property Law Definition.
From www.scribd.com
Usufruct PDF Property Law And Economics Usufruct Property Law Definition Usufruct is a legal right that allows a person to use and enjoy the benefits of someone else's property without owning it. Usufruct is a legal right that grants an individual or party the temporary use and benefits derived from someone else’s property. Usufruct is the right to use and benefit from a property, while the ownership of which belongs. Usufruct Property Law Definition.
From www.scribd.com
USUFRUCT PDF Property Legal Liability Usufruct Property Law Definition Usufruct is a right in a property owned by another, normally for a limited time or until death. Usufruct is the right to use and benefit from a property, while the ownership of which belongs to another person. For example, if you have. Usufruct is a legal right that grants an individual or party the temporary use and benefits derived. Usufruct Property Law Definition.
From slideplayer.com
Texas T&E Lawyer’s Roadmap to Louisiana Law ppt download Usufruct Property Law Definition It is the right to use the property, to enjoy the fruits and. Usufruct is a right in a property owned by another, normally for a limited time or until death. Usufruct is a legal right that grants an individual or party the temporary use and benefits derived from someone else’s property. The person who enjoys the. Usufruct is a. Usufruct Property Law Definition.
From arabmls.org
Laws for Initial Usufruct Property in Dubai A Comprehensive Guide Usufruct Property Law Definition The person who enjoys the. For example, if you have. It is the right to use the property, to enjoy the fruits and. Usufruct is a right in a property owned by another, normally for a limited time or until death. Usufruct is a legal right that grants an individual or party the temporary use and benefits derived from someone. Usufruct Property Law Definition.
From www.scribd.com
Property Module 8.1 Usufruct in General and Rights of The Usufruct Property Law Definition The person who enjoys the. Usufruct is a legal right that allows a person to use and enjoy the benefits of someone else's property without owning it. For example, if you have. Usufruct is a legal right that grants an individual or party the temporary use and benefits derived from someone else’s property. It is the right to use the. Usufruct Property Law Definition.