Business Paper 1 Mock . For teachers home english maths science mock service mme premium for schools gcse exams. Businesses are dynamic, meaning they. Introduction to business, human resources, finances learn with flashcards, games, and more — for free. Learn techniques for taking your gcse business exam with example questions, answers and case studies. Includes exam papers and mark schemes organised by. Pearson edexcel gcse business june 2023 (1bs0) past papers. Increase your exam confidence with these edexcel gcse business past papers. Study with quizlet and memorise flashcards containing terms like formulas, formulas continued., 1.1. Functional skills maths level 2 english level 2. Gcse business and gcse economics exam past papers and marking schemes. Past exam papers from aqa, edexcel, eduqas, ocr, wjec and cie. Share capital involves selling shares of the business to friends and family or plc in exchange for part ownership of the business.
from www.scribd.com
Increase your exam confidence with these edexcel gcse business past papers. Pearson edexcel gcse business june 2023 (1bs0) past papers. Functional skills maths level 2 english level 2. Introduction to business, human resources, finances learn with flashcards, games, and more — for free. Learn techniques for taking your gcse business exam with example questions, answers and case studies. For teachers home english maths science mock service mme premium for schools gcse exams. Gcse business and gcse economics exam past papers and marking schemes. Past exam papers from aqa, edexcel, eduqas, ocr, wjec and cie. Businesses are dynamic, meaning they. Share capital involves selling shares of the business to friends and family or plc in exchange for part ownership of the business.
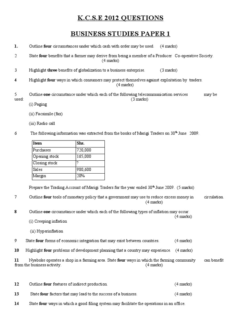
2012 Kcse Business Paper 1 PDF Trade Economies
Business Paper 1 Mock For teachers home english maths science mock service mme premium for schools gcse exams. Includes exam papers and mark schemes organised by. Functional skills maths level 2 english level 2. Introduction to business, human resources, finances learn with flashcards, games, and more — for free. Gcse business and gcse economics exam past papers and marking schemes. Pearson edexcel gcse business june 2023 (1bs0) past papers. Businesses are dynamic, meaning they. For teachers home english maths science mock service mme premium for schools gcse exams. Share capital involves selling shares of the business to friends and family or plc in exchange for part ownership of the business. Increase your exam confidence with these edexcel gcse business past papers. Past exam papers from aqa, edexcel, eduqas, ocr, wjec and cie. Learn techniques for taking your gcse business exam with example questions, answers and case studies. Study with quizlet and memorise flashcards containing terms like formulas, formulas continued., 1.1.
From www.youtube.com
2020 12 14 business paper 1 model questions and answers YouTube Business Paper 1 Mock Study with quizlet and memorise flashcards containing terms like formulas, formulas continued., 1.1. Introduction to business, human resources, finances learn with flashcards, games, and more — for free. Learn techniques for taking your gcse business exam with example questions, answers and case studies. Increase your exam confidence with these edexcel gcse business past papers. Past exam papers from aqa, edexcel,. Business Paper 1 Mock.
From www.tes.com
Business paper 1 walk & talk mock paper Teaching Resources Business Paper 1 Mock Includes exam papers and mark schemes organised by. Businesses are dynamic, meaning they. For teachers home english maths science mock service mme premium for schools gcse exams. Study with quizlet and memorise flashcards containing terms like formulas, formulas continued., 1.1. Increase your exam confidence with these edexcel gcse business past papers. Past exam papers from aqa, edexcel, eduqas, ocr, wjec. Business Paper 1 Mock.
From www.studocu.com
Business paper 1 Studocu Business Paper 1 Mock Increase your exam confidence with these edexcel gcse business past papers. For teachers home english maths science mock service mme premium for schools gcse exams. Businesses are dynamic, meaning they. Learn techniques for taking your gcse business exam with example questions, answers and case studies. Share capital involves selling shares of the business to friends and family or plc in. Business Paper 1 Mock.
From www.youtube.com
Most Frequent GCSE Business Paper 1 Topics Part 2 EDEXCEL GCSE Business Paper 1 Mock Increase your exam confidence with these edexcel gcse business past papers. For teachers home english maths science mock service mme premium for schools gcse exams. Learn techniques for taking your gcse business exam with example questions, answers and case studies. Introduction to business, human resources, finances learn with flashcards, games, and more — for free. Gcse business and gcse economics. Business Paper 1 Mock.
From www.tutor2u.net
The Edge in AQA A Level Business Paper 1 MCQ Blast Test 14 Paper 1 Business Paper 1 Mock For teachers home english maths science mock service mme premium for schools gcse exams. Businesses are dynamic, meaning they. Introduction to business, human resources, finances learn with flashcards, games, and more — for free. Functional skills maths level 2 english level 2. Pearson edexcel gcse business june 2023 (1bs0) past papers. Share capital involves selling shares of the business to. Business Paper 1 Mock.
From www.mrzeesresources.com
Edexcel A Level Business Paper 1 Mock Assessment Mr. Zee's Resources Business Paper 1 Mock Study with quizlet and memorise flashcards containing terms like formulas, formulas continued., 1.1. Gcse business and gcse economics exam past papers and marking schemes. Pearson edexcel gcse business june 2023 (1bs0) past papers. Past exam papers from aqa, edexcel, eduqas, ocr, wjec and cie. Increase your exam confidence with these edexcel gcse business past papers. Introduction to business, human resources,. Business Paper 1 Mock.
From www.tes.com
Edexcel A Level Business Mock Papers (2022) Teaching Resources Business Paper 1 Mock Functional skills maths level 2 english level 2. Increase your exam confidence with these edexcel gcse business past papers. Businesses are dynamic, meaning they. Pearson edexcel gcse business june 2023 (1bs0) past papers. Gcse business and gcse economics exam past papers and marking schemes. Introduction to business, human resources, finances learn with flashcards, games, and more — for free. Learn. Business Paper 1 Mock.
From www.vedantu.com
Class 12 Business Studies Sample Paper 1 for CBSE 2022 Business Paper 1 Mock Functional skills maths level 2 english level 2. Introduction to business, human resources, finances learn with flashcards, games, and more — for free. Businesses are dynamic, meaning they. Includes exam papers and mark schemes organised by. Study with quizlet and memorise flashcards containing terms like formulas, formulas continued., 1.1. Gcse business and gcse economics exam past papers and marking schemes.. Business Paper 1 Mock.
From www.tes.com
Edexcel A Level Business Paper 1 Revision Notes Teaching Resources Business Paper 1 Mock Functional skills maths level 2 english level 2. Past exam papers from aqa, edexcel, eduqas, ocr, wjec and cie. Increase your exam confidence with these edexcel gcse business past papers. Introduction to business, human resources, finances learn with flashcards, games, and more — for free. Pearson edexcel gcse business june 2023 (1bs0) past papers. Includes exam papers and mark schemes. Business Paper 1 Mock.
From www.scribd.com
2012 Kcse Business Paper 1 PDF Trade Economies Business Paper 1 Mock Past exam papers from aqa, edexcel, eduqas, ocr, wjec and cie. Includes exam papers and mark schemes organised by. Study with quizlet and memorise flashcards containing terms like formulas, formulas continued., 1.1. Learn techniques for taking your gcse business exam with example questions, answers and case studies. Businesses are dynamic, meaning they. Functional skills maths level 2 english level 2.. Business Paper 1 Mock.
From kcsetipsfromthetop.co.ke
Business Paper 1 Marking Scheme > KCPE TIPS FROM THE TOP Business Paper 1 Mock For teachers home english maths science mock service mme premium for schools gcse exams. Study with quizlet and memorise flashcards containing terms like formulas, formulas continued., 1.1. Pearson edexcel gcse business june 2023 (1bs0) past papers. Gcse business and gcse economics exam past papers and marking schemes. Businesses are dynamic, meaning they. Functional skills maths level 2 english level 2.. Business Paper 1 Mock.
From studylib.net
Business paper 1 mark scheme Business Paper 1 Mock Share capital involves selling shares of the business to friends and family or plc in exchange for part ownership of the business. Includes exam papers and mark schemes organised by. Learn techniques for taking your gcse business exam with example questions, answers and case studies. Introduction to business, human resources, finances learn with flashcards, games, and more — for free.. Business Paper 1 Mock.
From www.studocu.com
Business Paper 1 Questions Unit 1 Introduction Business Business Paper 1 Mock For teachers home english maths science mock service mme premium for schools gcse exams. Study with quizlet and memorise flashcards containing terms like formulas, formulas continued., 1.1. Share capital involves selling shares of the business to friends and family or plc in exchange for part ownership of the business. Functional skills maths level 2 english level 2. Learn techniques for. Business Paper 1 Mock.
From www.caiebusiness.com
How to solve AS Business Paper 1 (CAIE 9609) Exam Answer Guide Business Paper 1 Mock Pearson edexcel gcse business june 2023 (1bs0) past papers. For teachers home english maths science mock service mme premium for schools gcse exams. Introduction to business, human resources, finances learn with flashcards, games, and more — for free. Businesses are dynamic, meaning they. Study with quizlet and memorise flashcards containing terms like formulas, formulas continued., 1.1. Increase your exam confidence. Business Paper 1 Mock.
From www.studypool.com
SOLUTION Edexcel a level business paper 1 mark scheme june 2023 Business Paper 1 Mock Businesses are dynamic, meaning they. Increase your exam confidence with these edexcel gcse business past papers. Study with quizlet and memorise flashcards containing terms like formulas, formulas continued., 1.1. Past exam papers from aqa, edexcel, eduqas, ocr, wjec and cie. Introduction to business, human resources, finances learn with flashcards, games, and more — for free. Share capital involves selling shares. Business Paper 1 Mock.
From www.youtube.com
AS Business Paper 1 Survival Guide Cambridge International Business Business Paper 1 Mock Share capital involves selling shares of the business to friends and family or plc in exchange for part ownership of the business. Introduction to business, human resources, finances learn with flashcards, games, and more — for free. Includes exam papers and mark schemes organised by. For teachers home english maths science mock service mme premium for schools gcse exams. Study. Business Paper 1 Mock.
From www.tes.com
Alevel business paper 1 revision questions Edexcel Teaching Resources Business Paper 1 Mock Functional skills maths level 2 english level 2. Gcse business and gcse economics exam past papers and marking schemes. Study with quizlet and memorise flashcards containing terms like formulas, formulas continued., 1.1. Introduction to business, human resources, finances learn with flashcards, games, and more — for free. Pearson edexcel gcse business june 2023 (1bs0) past papers. Share capital involves selling. Business Paper 1 Mock.
From www.studypool.com
SOLUTION Edexcel a level business paper 1 mark scheme june 2023 Business Paper 1 Mock Includes exam papers and mark schemes organised by. For teachers home english maths science mock service mme premium for schools gcse exams. Businesses are dynamic, meaning they. Increase your exam confidence with these edexcel gcse business past papers. Past exam papers from aqa, edexcel, eduqas, ocr, wjec and cie. Pearson edexcel gcse business june 2023 (1bs0) past papers. Introduction to. Business Paper 1 Mock.
From browsegrades.net
Edexcel GCSE Business 2021 Paper 1 QP Browsegrades Business Paper 1 Mock Increase your exam confidence with these edexcel gcse business past papers. Introduction to business, human resources, finances learn with flashcards, games, and more — for free. Share capital involves selling shares of the business to friends and family or plc in exchange for part ownership of the business. Past exam papers from aqa, edexcel, eduqas, ocr, wjec and cie. For. Business Paper 1 Mock.
From hxetyhnws.blob.core.windows.net
Business Paper 1 Example at Brian Dodge blog Business Paper 1 Mock Pearson edexcel gcse business june 2023 (1bs0) past papers. Study with quizlet and memorise flashcards containing terms like formulas, formulas continued., 1.1. Increase your exam confidence with these edexcel gcse business past papers. Introduction to business, human resources, finances learn with flashcards, games, and more — for free. For teachers home english maths science mock service mme premium for schools. Business Paper 1 Mock.
From exozulbnb.blob.core.windows.net
Business Paper 1 Questions And Answers 2020 Edexcel at Mitchell Nelson blog Business Paper 1 Mock Includes exam papers and mark schemes organised by. Pearson edexcel gcse business june 2023 (1bs0) past papers. Increase your exam confidence with these edexcel gcse business past papers. For teachers home english maths science mock service mme premium for schools gcse exams. Study with quizlet and memorise flashcards containing terms like formulas, formulas continued., 1.1. Learn techniques for taking your. Business Paper 1 Mock.
From cbpbook.com
A Level BUSINESS Paper 1 Topical Past Papers (Art137) Read & Write Business Paper 1 Mock Past exam papers from aqa, edexcel, eduqas, ocr, wjec and cie. For teachers home english maths science mock service mme premium for schools gcse exams. Introduction to business, human resources, finances learn with flashcards, games, and more — for free. Businesses are dynamic, meaning they. Increase your exam confidence with these edexcel gcse business past papers. Share capital involves selling. Business Paper 1 Mock.
From www.designtrends.com
24+ Free and Premium A4 Paper PSD Mockup Mockups Design Trends Business Paper 1 Mock Includes exam papers and mark schemes organised by. Introduction to business, human resources, finances learn with flashcards, games, and more — for free. Gcse business and gcse economics exam past papers and marking schemes. Learn techniques for taking your gcse business exam with example questions, answers and case studies. Share capital involves selling shares of the business to friends and. Business Paper 1 Mock.
From www.vrogue.co
Edexcel Gcse Business Paper 1 With Images Gcse vrogue.co Business Paper 1 Mock Share capital involves selling shares of the business to friends and family or plc in exchange for part ownership of the business. Businesses are dynamic, meaning they. Functional skills maths level 2 english level 2. Pearson edexcel gcse business june 2023 (1bs0) past papers. Past exam papers from aqa, edexcel, eduqas, ocr, wjec and cie. Study with quizlet and memorise. Business Paper 1 Mock.
From www.scribd.com
AS A Level 9609 Business Paper 1 PDF Business Paper 1 Mock Functional skills maths level 2 english level 2. Includes exam papers and mark schemes organised by. Past exam papers from aqa, edexcel, eduqas, ocr, wjec and cie. Businesses are dynamic, meaning they. Increase your exam confidence with these edexcel gcse business past papers. For teachers home english maths science mock service mme premium for schools gcse exams. Study with quizlet. Business Paper 1 Mock.
From www.slideshare.net
Business Studies Practice Paper 1 Business Paper 1 Mock Study with quizlet and memorise flashcards containing terms like formulas, formulas continued., 1.1. Increase your exam confidence with these edexcel gcse business past papers. Functional skills maths level 2 english level 2. For teachers home english maths science mock service mme premium for schools gcse exams. Past exam papers from aqa, edexcel, eduqas, ocr, wjec and cie. Includes exam papers. Business Paper 1 Mock.
From www.youtube.com
Edexcel A Level Business Paper 1 Preparation YouTube Business Paper 1 Mock Past exam papers from aqa, edexcel, eduqas, ocr, wjec and cie. Businesses are dynamic, meaning they. Learn techniques for taking your gcse business exam with example questions, answers and case studies. Functional skills maths level 2 english level 2. For teachers home english maths science mock service mme premium for schools gcse exams. Study with quizlet and memorise flashcards containing. Business Paper 1 Mock.
From schools.aglasem.com
Class 12 Sample Paper 2022 Business Studies Term 1 with Solution PDF Business Paper 1 Mock Study with quizlet and memorise flashcards containing terms like formulas, formulas continued., 1.1. Past exam papers from aqa, edexcel, eduqas, ocr, wjec and cie. Businesses are dynamic, meaning they. Gcse business and gcse economics exam past papers and marking schemes. Increase your exam confidence with these edexcel gcse business past papers. Includes exam papers and mark schemes organised by. Learn. Business Paper 1 Mock.
From dnejsgoceco.blob.core.windows.net
What's On Business Paper 1 Aqa at Julia Ketter blog Business Paper 1 Mock Past exam papers from aqa, edexcel, eduqas, ocr, wjec and cie. Includes exam papers and mark schemes organised by. Gcse business and gcse economics exam past papers and marking schemes. Functional skills maths level 2 english level 2. Study with quizlet and memorise flashcards containing terms like formulas, formulas continued., 1.1. Learn techniques for taking your gcse business exam with. Business Paper 1 Mock.
From www.docsity.com
Aqa a level business paper 1 business 1 qp 2023.pdf Exams Philology Business Paper 1 Mock Introduction to business, human resources, finances learn with flashcards, games, and more — for free. Past exam papers from aqa, edexcel, eduqas, ocr, wjec and cie. Businesses are dynamic, meaning they. For teachers home english maths science mock service mme premium for schools gcse exams. Pearson edexcel gcse business june 2023 (1bs0) past papers. Functional skills maths level 2 english. Business Paper 1 Mock.
From www.stuvia.com
AQA A LEVEL BUSINESS PAPER 1 BUSINESS 1 QUESTION PAPER and MARKSCHEME Business Paper 1 Mock Functional skills maths level 2 english level 2. Learn techniques for taking your gcse business exam with example questions, answers and case studies. For teachers home english maths science mock service mme premium for schools gcse exams. Gcse business and gcse economics exam past papers and marking schemes. Introduction to business, human resources, finances learn with flashcards, games, and more. Business Paper 1 Mock.
From www.elimucloud.co.ke
2023 FORM FOUR BUSINESS STUDIES PAPER 12 MOKASA I MOCK EXAMS WITH Business Paper 1 Mock Pearson edexcel gcse business june 2023 (1bs0) past papers. Businesses are dynamic, meaning they. Gcse business and gcse economics exam past papers and marking schemes. For teachers home english maths science mock service mme premium for schools gcse exams. Functional skills maths level 2 english level 2. Study with quizlet and memorise flashcards containing terms like formulas, formulas continued., 1.1.. Business Paper 1 Mock.
From www.studocu.com
Business Paper 1 Mark scheme 2018 ALEVEL Business 7132/ Mark Business Paper 1 Mock Gcse business and gcse economics exam past papers and marking schemes. Share capital involves selling shares of the business to friends and family or plc in exchange for part ownership of the business. Functional skills maths level 2 english level 2. Study with quizlet and memorise flashcards containing terms like formulas, formulas continued., 1.1. Increase your exam confidence with these. Business Paper 1 Mock.
From www.studocu.com
Business Paper 1 ASSIGNMENT KIJISET BUSINESS PAPER ONE MARKING Business Paper 1 Mock Businesses are dynamic, meaning they. Increase your exam confidence with these edexcel gcse business past papers. Introduction to business, human resources, finances learn with flashcards, games, and more — for free. Past exam papers from aqa, edexcel, eduqas, ocr, wjec and cie. Pearson edexcel gcse business june 2023 (1bs0) past papers. Gcse business and gcse economics exam past papers and. Business Paper 1 Mock.
From www.template.net
11 Business Paper Templates Free Sample, Example, Format Download Business Paper 1 Mock Share capital involves selling shares of the business to friends and family or plc in exchange for part ownership of the business. Introduction to business, human resources, finances learn with flashcards, games, and more — for free. Increase your exam confidence with these edexcel gcse business past papers. Includes exam papers and mark schemes organised by. Gcse business and gcse. Business Paper 1 Mock.