Nail Tech Questions . These questions will help you increase your nail technician test score. Prepare with our nail technician practice test questions. Click “start test” above to take a free nail technician practice test, and. Test your knowledge of the material right. Take our nail test quiz! Are you ready to text your knowledge on nail care? Explore quizzes and practice tests. All of the following elements make up the nails except: Explore quizzes and practice tests created. Quiz yourself with questions and answers for nail tech: Understand the core “nail technician exam questions and answers” that often appear. Our free, comprehensive, nail technician practice test includes questions direct from the state board exam. Quiz yourself with questions and answers for nail tech written exam, so you can be ready for test day. Learn about nail care, health, and maintenance with fun and informative questions. Practice exam 1, so you can be ready for test day.
        
         
         
        from www.etsy.com 
     
        
        The best way to protect yourself and your clients against infection is to always. Prepare with our nail technician practice test questions. Understand the core “nail technician exam questions and answers” that often appear. Click “start test” above to take a free nail technician practice test, and. Are you ready to text your knowledge on nail care? Anyone that wants to work as a nail technician in the us must complete and pass this examination. Explore quizzes and practice tests. Quiz yourself with questions and answers for nail tech: Explore quizzes and practice tests created. Learn about nail care, health, and maintenance with fun and informative questions.
    
    	
            
	
		 
	 
         
    Nail Technician Aftercare Cards Nail Artist Frequently Asked Etsy 
    Nail Tech Questions  Learn about nail care, health, and maintenance with fun and informative questions. Prepare with our nail technician practice test questions. Our free, comprehensive, nail technician practice test includes questions direct from the state board exam. Anyone that wants to work as a nail technician in the us must complete and pass this examination. Quiz yourself with questions and answers for nail tech: These questions will help you increase your nail technician test score. Test your knowledge of the material right. Practice exam 1, so you can be ready for test day. Explore quizzes and practice tests created. The best way to protect yourself and your clients against infection is to always. Click “start test” above to take a free nail technician practice test, and. Take our nail test quiz! Are you ready to text your knowledge on nail care? All of the following elements make up the nails except: Discover critical topics like sanitation, safety,. Explore quizzes and practice tests.
            
	
		 
	 
         
 
    
         
        From www.youtube.com 
                    10 job interview questions for a nail technician YouTube Nail Tech Questions  Practice exam 1, so you can be ready for test day. These questions will help you increase your nail technician test score. Anyone that wants to work as a nail technician in the us must complete and pass this examination. Understand the core “nail technician exam questions and answers” that often appear. Quiz yourself with questions and answers for nail. Nail Tech Questions.
     
    
         
        From vogue.edu 
                    What is Nail Technology? Vogue College of Cosmetology Nail Tech Questions  Are you ready to text your knowledge on nail care? Explore quizzes and practice tests created. Practice exam 1, so you can be ready for test day. Learn about nail care, health, and maintenance with fun and informative questions. Our free, comprehensive, nail technician practice test includes questions direct from the state board exam. Test your knowledge of the material. Nail Tech Questions.
     
    
         
        From apps.apple.com 
                    Nail Technician Quiz Prep on the App Store Nail Tech Questions  Quiz yourself with questions and answers for nail tech written exam, so you can be ready for test day. All of the following elements make up the nails except: Quiz yourself with questions and answers for nail tech: Discover critical topics like sanitation, safety,. Our free, comprehensive, nail technician practice test includes questions direct from the state board exam. Are. Nail Tech Questions.
     
    
         
        From www.pinterest.com 
                    Find Nail Technician Test help using our Nail Technician flashcards and practice questions Nail Tech Questions  Explore quizzes and practice tests created. Quiz yourself with questions and answers for nail tech written exam, so you can be ready for test day. Are you ready to text your knowledge on nail care? These questions will help you increase your nail technician test score. Test your knowledge of the material right. The best way to protect yourself and. Nail Tech Questions.
     
    
         
        From education2research.com 
                    Master the State Board Exam with this Nail Tech Practice Exam Nail Tech Questions  Our free, comprehensive, nail technician practice test includes questions direct from the state board exam. Take our nail test quiz! Click “start test” above to take a free nail technician practice test, and. Explore quizzes and practice tests created. Quiz yourself with questions and answers for nail tech written exam, so you can be ready for test day. All of. Nail Tech Questions.
     
    
         
        From esign.com 
                    Free Nail Salon Client Intake Form PDF Word Nail Tech Questions  Our free, comprehensive, nail technician practice test includes questions direct from the state board exam. Quiz yourself with questions and answers for nail tech: The best way to protect yourself and your clients against infection is to always. Discover critical topics like sanitation, safety,. Quiz yourself with questions and answers for nail tech written exam, so you can be ready. Nail Tech Questions.
     
    
         
        From www.youtube.com 
                    Nail Technician Manicuring & Pedicuring Exam Question With Answer (Part 2) (3160) (2020/2021 Nail Tech Questions  Our free, comprehensive, nail technician practice test includes questions direct from the state board exam. Discover critical topics like sanitation, safety,. The best way to protect yourself and your clients against infection is to always. Are you ready to text your knowledge on nail care? Anyone that wants to work as a nail technician in the us must complete and. Nail Tech Questions.
     
    
         
        From www.mometrix.com 
                    Free National Nail Technology Theory Practice Test Nail Tech Questions  The best way to protect yourself and your clients against infection is to always. Test your knowledge of the material right. Discover critical topics like sanitation, safety,. Prepare with our nail technician practice test questions. Take our nail test quiz! Learn about nail care, health, and maintenance with fun and informative questions. Understand the core “nail technician exam questions and. Nail Tech Questions.
     
    
         
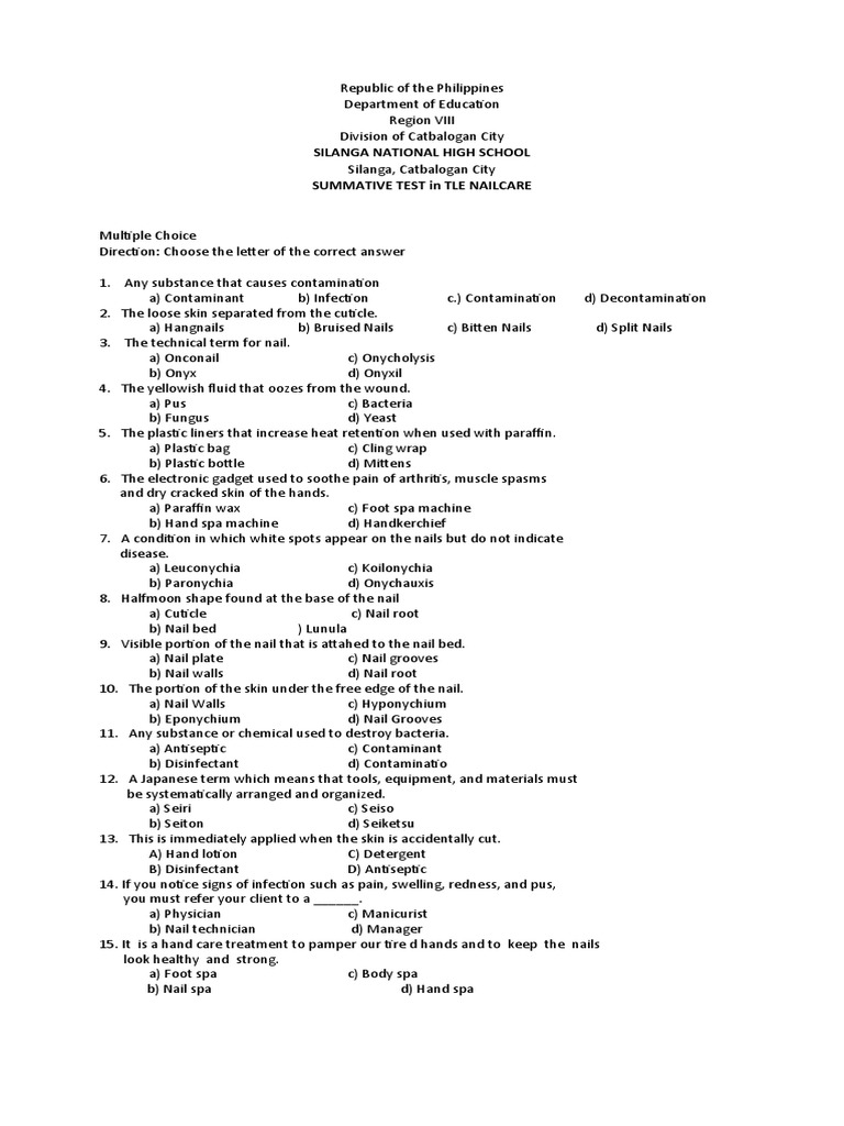
        From www.scribd.com 
                    Summative Test in TLE Nailcare Multiple Choice Questions on Nail Technology Concepts and Nail Tech Questions  All of the following elements make up the nails except: These questions will help you increase your nail technician test score. Quiz yourself with questions and answers for nail tech written exam, so you can be ready for test day. Understand the core “nail technician exam questions and answers” that often appear. Anyone that wants to work as a nail. Nail Tech Questions.
     
    
         
        From www.pinterest.com 
                    Nail Technician PRINTABLE Charts / Cheat Sheets. Instant PDF Downloads. Print as many copies as Nail Tech Questions  The best way to protect yourself and your clients against infection is to always. Explore quizzes and practice tests created. Anyone that wants to work as a nail technician in the us must complete and pass this examination. Learn about nail care, health, and maintenance with fun and informative questions. Take our nail test quiz! Are you ready to text. Nail Tech Questions.
     
    
         
        From www.pinterest.com 
                    Free Nail Technician Practice Test Questions Prep for the Nail Technician Test This or that Nail Tech Questions  All of the following elements make up the nails except: Prepare with our nail technician practice test questions. Take our nail test quiz! These questions will help you increase your nail technician test score. Learn about nail care, health, and maintenance with fun and informative questions. Quiz yourself with questions and answers for nail tech written exam, so you can. Nail Tech Questions.
     
    
         
        From careersidekick.com 
                    Top 15 Nail Technician Interview Questions & Answers Career Sidekick Nail Tech Questions  Explore quizzes and practice tests created. Our free, comprehensive, nail technician practice test includes questions direct from the state board exam. Practice exam 1, so you can be ready for test day. The best way to protect yourself and your clients against infection is to always. Are you ready to text your knowledge on nail care? Test your knowledge of. Nail Tech Questions.
     
    
         
        From www.youtube.com 
                    Nail technician state board exam 2022 Manicurist Practice Test Part 3 (Questions and Answers Nail Tech Questions  Quiz yourself with questions and answers for nail tech: Prepare with our nail technician practice test questions. Explore quizzes and practice tests created. Practice exam 1, so you can be ready for test day. Are you ready to text your knowledge on nail care? All of the following elements make up the nails except: These questions will help you increase. Nail Tech Questions.
     
    
         
        From www.caribbeanemagazine.com 
                    What To Tell Your Nail Tech To Get What You Want Nail Tech Questions  Discover critical topics like sanitation, safety,. Understand the core “nail technician exam questions and answers” that often appear. Quiz yourself with questions and answers for nail tech written exam, so you can be ready for test day. Quiz yourself with questions and answers for nail tech: Click “start test” above to take a free nail technician practice test, and. Learn. Nail Tech Questions.
     
    
         
        From www.pinterest.com 
                    Pin on nails Nail Tech Questions  The best way to protect yourself and your clients against infection is to always. Are you ready to text your knowledge on nail care? Quiz yourself with questions and answers for nail tech written exam, so you can be ready for test day. Anyone that wants to work as a nail technician in the us must complete and pass this. Nail Tech Questions.
     
    
         
        From www.etsy.com 
                    Nail Technician New Client Form Template Editable Nail Etsy Sweden Nail Tech Questions  Click “start test” above to take a free nail technician practice test, and. Explore quizzes and practice tests. These questions will help you increase your nail technician test score. Our free, comprehensive, nail technician practice test includes questions direct from the state board exam. Quiz yourself with questions and answers for nail tech: Test your knowledge of the material right.. Nail Tech Questions.
     
    
         
        From www.youtube.com 
                    Beginner Nail Technician Course Perfect Salon Nail YouTube Nail Tech Questions  Quiz yourself with questions and answers for nail tech: Explore quizzes and practice tests. Explore quizzes and practice tests created. Test your knowledge of the material right. Click “start test” above to take a free nail technician practice test, and. Are you ready to text your knowledge on nail care? Anyone that wants to work as a nail technician in. Nail Tech Questions.
     
    
         
        From merriellewnorah.pages.dev 
                    Nail Technician Practical Exam 2024 A Tami Zorina Nail Tech Questions  All of the following elements make up the nails except: Practice exam 1, so you can be ready for test day. Understand the core “nail technician exam questions and answers” that often appear. Quiz yourself with questions and answers for nail tech written exam, so you can be ready for test day. Prepare with our nail technician practice test questions.. Nail Tech Questions.
     
    
         
        From www.pinterest.com 
                    Nail Tech Chart 2 Sided Laminated Quick Reference Guide Cosmetology Charts Business nails Nail Tech Questions  Discover critical topics like sanitation, safety,. Explore quizzes and practice tests. All of the following elements make up the nails except: Are you ready to text your knowledge on nail care? These questions will help you increase your nail technician test score. Anyone that wants to work as a nail technician in the us must complete and pass this examination.. Nail Tech Questions.
     
    
         
        From www.etsy.com 
                    Nail Technician Aftercare Cards Nail Artist Frequently Asked Etsy Nail Tech Questions  Learn about nail care, health, and maintenance with fun and informative questions. Discover critical topics like sanitation, safety,. Quiz yourself with questions and answers for nail tech: Practice exam 1, so you can be ready for test day. Our free, comprehensive, nail technician practice test includes questions direct from the state board exam. Test your knowledge of the material right.. Nail Tech Questions.
     
    
         
        From www.shesbackatit.com 
                    Nail Technician Practice Forms ShesBackAtIt Printable Spa, Salon and Esthetician Client Forms Nail Tech Questions  Are you ready to text your knowledge on nail care? All of the following elements make up the nails except: The best way to protect yourself and your clients against infection is to always. Anyone that wants to work as a nail technician in the us must complete and pass this examination. Learn about nail care, health, and maintenance with. Nail Tech Questions.
     
    
         
        From www.youtube.com 
                    How to a Nail Technician Questions to ask the Nail School YouTube Nail Tech Questions  Quiz yourself with questions and answers for nail tech: Explore quizzes and practice tests created. Learn about nail care, health, and maintenance with fun and informative questions. Click “start test” above to take a free nail technician practice test, and. All of the following elements make up the nails except: Discover critical topics like sanitation, safety,. Quiz yourself with questions. Nail Tech Questions.
     
    
         
        From www.youtube.com 
                    Nail Technician Manicuring & Pedicuring Exam Question With Answer (Part 1) (130) (2020/2021 Nail Tech Questions  Test your knowledge of the material right. Quiz yourself with questions and answers for nail tech written exam, so you can be ready for test day. Explore quizzes and practice tests created. Understand the core “nail technician exam questions and answers” that often appear. Click “start test” above to take a free nail technician practice test, and. The best way. Nail Tech Questions.
     
    
         
        From www.youtube.com 
                    Nail Technician Acrylics, Gels & Wraps Exam Question With Answer 2020 (4171)(Part 3) YouTube Nail Tech Questions  Discover critical topics like sanitation, safety,. Explore quizzes and practice tests created. Quiz yourself with questions and answers for nail tech: Anyone that wants to work as a nail technician in the us must complete and pass this examination. Take our nail test quiz! Test your knowledge of the material right. Practice exam 1, so you can be ready for. Nail Tech Questions.
     
    
         
        From www.pinterest.com 
                    Nail Technician Forms, Nail Artist Client Forms, Nail Technician Planner Nail technician, Nail Nail Tech Questions  Quiz yourself with questions and answers for nail tech written exam, so you can be ready for test day. Learn about nail care, health, and maintenance with fun and informative questions. Quiz yourself with questions and answers for nail tech: Understand the core “nail technician exam questions and answers” that often appear. Discover critical topics like sanitation, safety,. Prepare with. Nail Tech Questions.
     
    
         
        From www.pinterest.com 
                    NAIL this or that Nail tech quotes, Nail tech, Business nails Nail Tech Questions  All of the following elements make up the nails except: The best way to protect yourself and your clients against infection is to always. Quiz yourself with questions and answers for nail tech: Test your knowledge of the material right. Prepare with our nail technician practice test questions. Click “start test” above to take a free nail technician practice test,. Nail Tech Questions.
     
    
         
        From www.youtube.com 
                    I Take A Nail Technician Exam (pass or nail?) YouTube Nail Tech Questions  Learn about nail care, health, and maintenance with fun and informative questions. Explore quizzes and practice tests created. Are you ready to text your knowledge on nail care? These questions will help you increase your nail technician test score. Quiz yourself with questions and answers for nail tech written exam, so you can be ready for test day. Quiz yourself. Nail Tech Questions.
     
    
         
        From www.dochub.com 
                    Nail consultation form pdf free download Fill out & sign online DocHub Nail Tech Questions  Quiz yourself with questions and answers for nail tech: Understand the core “nail technician exam questions and answers” that often appear. All of the following elements make up the nails except: Anyone that wants to work as a nail technician in the us must complete and pass this examination. Practice exam 1, so you can be ready for test day.. Nail Tech Questions.
     
    
         
        From www.etsy.com 
                    Nail Tech Printable Savings Challenges Book Business Savings Etsy Nail Tech Questions  The best way to protect yourself and your clients against infection is to always. Discover critical topics like sanitation, safety,. Click “start test” above to take a free nail technician practice test, and. Quiz yourself with questions and answers for nail tech written exam, so you can be ready for test day. Quiz yourself with questions and answers for nail. Nail Tech Questions.
     
    
         
        From www.youtube.com 
                    QUESTIONS FOR NAIL TECHNICIANS I NEED YOUR HELP WHAT WOULD YOU LIKE IN THE SALON YouTube Nail Tech Questions  Click “start test” above to take a free nail technician practice test, and. All of the following elements make up the nails except: Understand the core “nail technician exam questions and answers” that often appear. Our free, comprehensive, nail technician practice test includes questions direct from the state board exam. Take our nail test quiz! Quiz yourself with questions and. Nail Tech Questions.
     
    
         
        From browsegrades.net 
                    State Board Nail Tech Exam Prep complete questions and answers Browsegrades Nail Tech Questions  These questions will help you increase your nail technician test score. Understand the core “nail technician exam questions and answers” that often appear. Anyone that wants to work as a nail technician in the us must complete and pass this examination. Quiz yourself with questions and answers for nail tech written exam, so you can be ready for test day.. Nail Tech Questions.
     
    
         
        From ihaveanailquestion.blogspot.com 
                    i have a nail question.... 6 essential questions to ask your nail technician before getting service Nail Tech Questions  Explore quizzes and practice tests. Discover critical topics like sanitation, safety,. The best way to protect yourself and your clients against infection is to always. Prepare with our nail technician practice test questions. Understand the core “nail technician exam questions and answers” that often appear. Our free, comprehensive, nail technician practice test includes questions direct from the state board exam.. Nail Tech Questions.
     
    
         
        From www.pinterest.co.uk 
                    Nail Technician Forms, Pink Nail Artist Client Forms, Nail Technician Planner WHAT'S INCLUDED Nail Tech Questions  Prepare with our nail technician practice test questions. Explore quizzes and practice tests. Click “start test” above to take a free nail technician practice test, and. Are you ready to text your knowledge on nail care? Anyone that wants to work as a nail technician in the us must complete and pass this examination. The best way to protect yourself. Nail Tech Questions.
     
    
         
        From www.youtube.com 
                    NAIL TECH TAKES A PRACTICE NAIL EXAM! YouTube Nail Tech Questions  Prepare with our nail technician practice test questions. The best way to protect yourself and your clients against infection is to always. Explore quizzes and practice tests created. Test your knowledge of the material right. Anyone that wants to work as a nail technician in the us must complete and pass this examination. Quiz yourself with questions and answers for. Nail Tech Questions.
     
    
         
        From www.youtube.com 
                    Beginner Nail Tech Questions and Answers Do's and Don'ts Product Episode 2 Nail Tech Questions  These questions will help you increase your nail technician test score. Our free, comprehensive, nail technician practice test includes questions direct from the state board exam. Anyone that wants to work as a nail technician in the us must complete and pass this examination. Understand the core “nail technician exam questions and answers” that often appear. Explore quizzes and practice. Nail Tech Questions.