Equilateral Triangle Meaning In Bengali . What is triangle in bengali? ত্রিভুজের ( triangle) সমস্ত খুঁটিনাটি / types of triangle in bengali /. Equilateral triangle definition, pronuniation, antonyms, synonyms and example. Equilateral triangle is a triangle in which. See equilateral triangle meaning in bengali,. meaning of triangle in bangla is : in geometry, an isosceles triangle is a triangle that has two sides of equal length. Having all its sides of the same length. A plane figure with three straight sides and three. the meaning of triangle in bengali is ত্রিভুজ. Bh u j) defenition of word triangle. একই দৈর্ঘ্যের সব দিক থাকা।.
from www.doubtnut.com
Equilateral triangle is a triangle in which. the meaning of triangle in bengali is ত্রিভুজ. A plane figure with three straight sides and three. Having all its sides of the same length. meaning of triangle in bangla is : Bh u j) defenition of word triangle. in geometry, an isosceles triangle is a triangle that has two sides of equal length. ত্রিভুজের ( triangle) সমস্ত খুঁটিনাটি / types of triangle in bengali /. See equilateral triangle meaning in bengali,. একই দৈর্ঘ্যের সব দিক থাকা।.
[Bengali] Show that the following points form an equilateral triangle
Equilateral Triangle Meaning In Bengali See equilateral triangle meaning in bengali,. Equilateral triangle definition, pronuniation, antonyms, synonyms and example. একই দৈর্ঘ্যের সব দিক থাকা।. Bh u j) defenition of word triangle. in geometry, an isosceles triangle is a triangle that has two sides of equal length. meaning of triangle in bangla is : Equilateral triangle is a triangle in which. Having all its sides of the same length. A plane figure with three straight sides and three. See equilateral triangle meaning in bengali,. ত্রিভুজের ( triangle) সমস্ত খুঁটিনাটি / types of triangle in bengali /. What is triangle in bengali? the meaning of triangle in bengali is ত্রিভুজ.
From www.doubtnut.com
[Bengali] Fill the blank All (equilateral/isosceles) triangle are al Equilateral Triangle Meaning In Bengali in geometry, an isosceles triangle is a triangle that has two sides of equal length. Bh u j) defenition of word triangle. ত্রিভুজের ( triangle) সমস্ত খুঁটিনাটি / types of triangle in bengali /. A plane figure with three straight sides and three. Equilateral triangle definition, pronuniation, antonyms, synonyms and example. একই দৈর্ঘ্যের সব দিক থাকা।. meaning. Equilateral Triangle Meaning In Bengali.
From www.youtube.com
Equilateral triangle meaning in bengali/Equilateral triangle শব্দের Equilateral Triangle Meaning In Bengali A plane figure with three straight sides and three. Equilateral triangle is a triangle in which. Bh u j) defenition of word triangle. in geometry, an isosceles triangle is a triangle that has two sides of equal length. ত্রিভুজের ( triangle) সমস্ত খুঁটিনাটি / types of triangle in bengali /. What is triangle in bengali? meaning of. Equilateral Triangle Meaning In Bengali.
From dictionary.langeek.co
Definition & Meaning of "Equilateral triangle" LanGeek Equilateral Triangle Meaning In Bengali the meaning of triangle in bengali is ত্রিভুজ. Bh u j) defenition of word triangle. Equilateral triangle definition, pronuniation, antonyms, synonyms and example. A plane figure with three straight sides and three. Equilateral triangle is a triangle in which. See equilateral triangle meaning in bengali,. What is triangle in bengali? in geometry, an isosceles triangle is a triangle. Equilateral Triangle Meaning In Bengali.
From www.youtube.com
Different types of Triangles (Bangla) SSC\HSC Geometry ত্রিভুজ Equilateral Triangle Meaning In Bengali Equilateral triangle definition, pronuniation, antonyms, synonyms and example. একই দৈর্ঘ্যের সব দিক থাকা।. the meaning of triangle in bengali is ত্রিভুজ. Equilateral triangle is a triangle in which. Having all its sides of the same length. A plane figure with three straight sides and three. Bh u j) defenition of word triangle. meaning of triangle in bangla is. Equilateral Triangle Meaning In Bengali.
From testbook.com
Equilateral Triangle Its Concept, Characteristics and Examples. Equilateral Triangle Meaning In Bengali Equilateral triangle is a triangle in which. in geometry, an isosceles triangle is a triangle that has two sides of equal length. Equilateral triangle definition, pronuniation, antonyms, synonyms and example. A plane figure with three straight sides and three. ত্রিভুজের ( triangle) সমস্ত খুঁটিনাটি / types of triangle in bengali /. What is triangle in bengali? meaning. Equilateral Triangle Meaning In Bengali.
From www.youtube.com
Equilateral triangle Meaning in Hindi Equilateral triangle ka Matlab Equilateral Triangle Meaning In Bengali Equilateral triangle is a triangle in which. meaning of triangle in bangla is : in geometry, an isosceles triangle is a triangle that has two sides of equal length. ত্রিভুজের ( triangle) সমস্ত খুঁটিনাটি / types of triangle in bengali /. What is triangle in bengali? See equilateral triangle meaning in bengali,. the meaning of triangle. Equilateral Triangle Meaning In Bengali.
From www.youtube.com
Mathematical Terms English to Bengalipart 1(angles and triangles Equilateral Triangle Meaning In Bengali Bh u j) defenition of word triangle. Equilateral triangle is a triangle in which. একই দৈর্ঘ্যের সব দিক থাকা।. See equilateral triangle meaning in bengali,. Having all its sides of the same length. Equilateral triangle definition, pronuniation, antonyms, synonyms and example. meaning of triangle in bangla is : ত্রিভুজের ( triangle) সমস্ত খুঁটিনাটি / types of triangle in. Equilateral Triangle Meaning In Bengali.
From www.doubtnut.com
[Bengali] The base of prism is equilateral triangle. The distance from Equilateral Triangle Meaning In Bengali A plane figure with three straight sides and three. Equilateral triangle is a triangle in which. Having all its sides of the same length. the meaning of triangle in bengali is ত্রিভুজ. একই দৈর্ঘ্যের সব দিক থাকা।. ত্রিভুজের ( triangle) সমস্ত খুঁটিনাটি / types of triangle in bengali /. See equilateral triangle meaning in bengali,. meaning of. Equilateral Triangle Meaning In Bengali.
From www.doubtnut.com
[Bengali] In an equilateral triangle , Rrr2 is equal to Equilateral Triangle Meaning In Bengali Bh u j) defenition of word triangle. ত্রিভুজের ( triangle) সমস্ত খুঁটিনাটি / types of triangle in bengali /. the meaning of triangle in bengali is ত্রিভুজ. Equilateral triangle definition, pronuniation, antonyms, synonyms and example. What is triangle in bengali? meaning of triangle in bangla is : in geometry, an isosceles triangle is a triangle that. Equilateral Triangle Meaning In Bengali.
From www.doubtnut.com
[Bengali] Show that the following points form an equilateral triangle Equilateral Triangle Meaning In Bengali See equilateral triangle meaning in bengali,. ত্রিভুজের ( triangle) সমস্ত খুঁটিনাটি / types of triangle in bengali /. Equilateral triangle is a triangle in which. meaning of triangle in bangla is : the meaning of triangle in bengali is ত্রিভুজ. Equilateral triangle definition, pronuniation, antonyms, synonyms and example. What is triangle in bengali? in geometry, an. Equilateral Triangle Meaning In Bengali.
From www.doubtnut.com
[Bengali] Consider an equilateral triangle having verticals at point A Equilateral Triangle Meaning In Bengali meaning of triangle in bangla is : Equilateral triangle is a triangle in which. What is triangle in bengali? A plane figure with three straight sides and three. See equilateral triangle meaning in bengali,. in geometry, an isosceles triangle is a triangle that has two sides of equal length. একই দৈর্ঘ্যের সব দিক থাকা।. ত্রিভুজের ( triangle). Equilateral Triangle Meaning In Bengali.
From www.youtube.com
EQUILATERAL TRIANGLE BENGALIENGLISH YouTube Equilateral Triangle Meaning In Bengali Having all its sides of the same length. Equilateral triangle definition, pronuniation, antonyms, synonyms and example. Equilateral triangle is a triangle in which. A plane figure with three straight sides and three. meaning of triangle in bangla is : the meaning of triangle in bengali is ত্রিভুজ. Bh u j) defenition of word triangle. What is triangle in. Equilateral Triangle Meaning In Bengali.
From thirdspacelearning.com
Equilateral Triangles GCSE Maths Steps, Examples & Worksheet Equilateral Triangle Meaning In Bengali What is triangle in bengali? meaning of triangle in bangla is : See equilateral triangle meaning in bengali,. the meaning of triangle in bengali is ত্রিভুজ. Equilateral triangle is a triangle in which. in geometry, an isosceles triangle is a triangle that has two sides of equal length. একই দৈর্ঘ্যের সব দিক থাকা।. A plane figure with. Equilateral Triangle Meaning In Bengali.
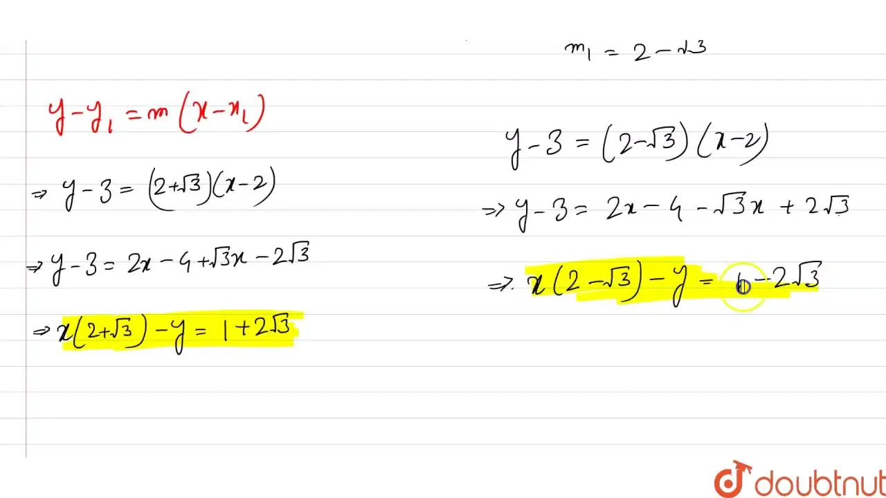
From www.doubtnut.com
[Bengali] If the equation of the side BC of an equilateral triangle AB Equilateral Triangle Meaning In Bengali the meaning of triangle in bengali is ত্রিভুজ. Having all its sides of the same length. A plane figure with three straight sides and three. See equilateral triangle meaning in bengali,. meaning of triangle in bangla is : একই দৈর্ঘ্যের সব দিক থাকা।. ত্রিভুজের ( triangle) সমস্ত খুঁটিনাটি / types of triangle in bengali /. Equilateral triangle. Equilateral Triangle Meaning In Bengali.
From www.youtube.com
Triangle Concept in Bengali Mensuration Math Tricks Basics of Equilateral Triangle Meaning In Bengali A plane figure with three straight sides and three. See equilateral triangle meaning in bengali,. in geometry, an isosceles triangle is a triangle that has two sides of equal length. Equilateral triangle is a triangle in which. meaning of triangle in bangla is : Bh u j) defenition of word triangle. একই দৈর্ঘ্যের সব দিক থাকা।. Equilateral triangle. Equilateral Triangle Meaning In Bengali.
From www.doubtnut.com
[Bengali] Prove that an equilateral triangle can be constructed on any Equilateral Triangle Meaning In Bengali What is triangle in bengali? Equilateral triangle definition, pronuniation, antonyms, synonyms and example. Having all its sides of the same length. meaning of triangle in bangla is : একই দৈর্ঘ্যের সব দিক থাকা।. A plane figure with three straight sides and three. Equilateral triangle is a triangle in which. ত্রিভুজের ( triangle) সমস্ত খুঁটিনাটি / types of triangle. Equilateral Triangle Meaning In Bengali.
From www.doubtnut.com
[Bengali] Construct an equilateral triangle of sides 5.5 cm. Equilateral Triangle Meaning In Bengali in geometry, an isosceles triangle is a triangle that has two sides of equal length. the meaning of triangle in bengali is ত্রিভুজ. ত্রিভুজের ( triangle) সমস্ত খুঁটিনাটি / types of triangle in bengali /. Equilateral triangle definition, pronuniation, antonyms, synonyms and example. See equilateral triangle meaning in bengali,. A plane figure with three straight sides and. Equilateral Triangle Meaning In Bengali.
From thirdspacelearning.com
Equilateral Triangles GCSE Maths Steps, Examples & Worksheet Equilateral Triangle Meaning In Bengali What is triangle in bengali? meaning of triangle in bangla is : Equilateral triangle is a triangle in which. Having all its sides of the same length. একই দৈর্ঘ্যের সব দিক থাকা।. ত্রিভুজের ( triangle) সমস্ত খুঁটিনাটি / types of triangle in bengali /. See equilateral triangle meaning in bengali,. in geometry, an isosceles triangle is a. Equilateral Triangle Meaning In Bengali.
From www.youtube.com
Counting of Figures in Bengali Counting of Triangles in Bengali Equilateral Triangle Meaning In Bengali Bh u j) defenition of word triangle. একই দৈর্ঘ্যের সব দিক থাকা।. Equilateral triangle definition, pronuniation, antonyms, synonyms and example. Equilateral triangle is a triangle in which. the meaning of triangle in bengali is ত্রিভুজ. in geometry, an isosceles triangle is a triangle that has two sides of equal length. ত্রিভুজের ( triangle) সমস্ত খুঁটিনাটি / types. Equilateral Triangle Meaning In Bengali.
From www.doubtnut.com
[Bengali] The equation to the base of an equilateral triangle is 4x3y Equilateral Triangle Meaning In Bengali Having all its sides of the same length. What is triangle in bengali? Bh u j) defenition of word triangle. A plane figure with three straight sides and three. Equilateral triangle is a triangle in which. Equilateral triangle definition, pronuniation, antonyms, synonyms and example. the meaning of triangle in bengali is ত্রিভুজ. in geometry, an isosceles triangle is. Equilateral Triangle Meaning In Bengali.
From www.doubtnut.com
[Bengali] In an equilateral triangle ABC, D is a point on side BC such Equilateral Triangle Meaning In Bengali the meaning of triangle in bengali is ত্রিভুজ. See equilateral triangle meaning in bengali,. Equilateral triangle definition, pronuniation, antonyms, synonyms and example. A plane figure with three straight sides and three. Bh u j) defenition of word triangle. Having all its sides of the same length. ত্রিভুজের ( triangle) সমস্ত খুঁটিনাটি / types of triangle in bengali /.. Equilateral Triangle Meaning In Bengali.
From www.doubtnut.com
[Bengali] Delta ABC is an equilateral triangle . D is a point on the Equilateral Triangle Meaning In Bengali Equilateral triangle is a triangle in which. What is triangle in bengali? the meaning of triangle in bengali is ত্রিভুজ. Having all its sides of the same length. ত্রিভুজের ( triangle) সমস্ত খুঁটিনাটি / types of triangle in bengali /. Bh u j) defenition of word triangle. একই দৈর্ঘ্যের সব দিক থাকা।. A plane figure with three straight. Equilateral Triangle Meaning In Bengali.
From www.youtube.com
Triangle and Its Classification Bengali YouTube Equilateral Triangle Meaning In Bengali Having all its sides of the same length. একই দৈর্ঘ্যের সব দিক থাকা।. meaning of triangle in bangla is : ত্রিভুজের ( triangle) সমস্ত খুঁটিনাটি / types of triangle in bengali /. Equilateral triangle definition, pronuniation, antonyms, synonyms and example. in geometry, an isosceles triangle is a triangle that has two sides of equal length. What is. Equilateral Triangle Meaning In Bengali.
From www.doubtnut.com
[Bengali] If the side of an equilateral triangle increases at the rate Equilateral Triangle Meaning In Bengali Having all its sides of the same length. Equilateral triangle definition, pronuniation, antonyms, synonyms and example. Bh u j) defenition of word triangle. in geometry, an isosceles triangle is a triangle that has two sides of equal length. একই দৈর্ঘ্যের সব দিক থাকা।. See equilateral triangle meaning in bengali,. the meaning of triangle in bengali is ত্রিভুজ. What. Equilateral Triangle Meaning In Bengali.
From www.doubtnut.com
[Bengali] The sides of an equilateral triangle are increasing at the r Equilateral Triangle Meaning In Bengali Bh u j) defenition of word triangle. A plane figure with three straight sides and three. ত্রিভুজের ( triangle) সমস্ত খুঁটিনাটি / types of triangle in bengali /. What is triangle in bengali? in geometry, an isosceles triangle is a triangle that has two sides of equal length. the meaning of triangle in bengali is ত্রিভুজ. Equilateral. Equilateral Triangle Meaning In Bengali.
From www.youtube.com
Similarity of Triangles Class 10 in Bengali YouTube Equilateral Triangle Meaning In Bengali Equilateral triangle definition, pronuniation, antonyms, synonyms and example. একই দৈর্ঘ্যের সব দিক থাকা।. Bh u j) defenition of word triangle. meaning of triangle in bangla is : See equilateral triangle meaning in bengali,. in geometry, an isosceles triangle is a triangle that has two sides of equal length. What is triangle in bengali? the meaning of triangle. Equilateral Triangle Meaning In Bengali.
From www.javatpoint.com
Equilateral Triangle Definition JavaTpoint Equilateral Triangle Meaning In Bengali Having all its sides of the same length. the meaning of triangle in bengali is ত্রিভুজ. See equilateral triangle meaning in bengali,. Equilateral triangle is a triangle in which. What is triangle in bengali? meaning of triangle in bangla is : একই দৈর্ঘ্যের সব দিক থাকা।. A plane figure with three straight sides and three. ত্রিভুজের (. Equilateral Triangle Meaning In Bengali.
From www.doubtnut.com
[Bengali] Find the ratio of the area of the equilateral triangle and t Equilateral Triangle Meaning In Bengali in geometry, an isosceles triangle is a triangle that has two sides of equal length. ত্রিভুজের ( triangle) সমস্ত খুঁটিনাটি / types of triangle in bengali /. Equilateral triangle is a triangle in which. What is triangle in bengali? See equilateral triangle meaning in bengali,. একই দৈর্ঘ্যের সব দিক থাকা।. A plane figure with three straight sides and. Equilateral Triangle Meaning In Bengali.
From www.doubtnut.com
[Bengali] The length of each side of an equilateral triangle increases Equilateral Triangle Meaning In Bengali A plane figure with three straight sides and three. Equilateral triangle definition, pronuniation, antonyms, synonyms and example. What is triangle in bengali? Having all its sides of the same length. ত্রিভুজের ( triangle) সমস্ত খুঁটিনাটি / types of triangle in bengali /. Equilateral triangle is a triangle in which. See equilateral triangle meaning in bengali,. in geometry, an. Equilateral Triangle Meaning In Bengali.
From www.youtube.com
Equilateral Triangle Definition, Angles & Properties YouTube Equilateral Triangle Meaning In Bengali Bh u j) defenition of word triangle. Equilateral triangle is a triangle in which. the meaning of triangle in bengali is ত্রিভুজ. একই দৈর্ঘ্যের সব দিক থাকা।. in geometry, an isosceles triangle is a triangle that has two sides of equal length. meaning of triangle in bangla is : What is triangle in bengali? Having all its. Equilateral Triangle Meaning In Bengali.
From www.doubtnut.com
[Bengali] If the vertices of an equilateral triangle be represented by Equilateral Triangle Meaning In Bengali Having all its sides of the same length. in geometry, an isosceles triangle is a triangle that has two sides of equal length. একই দৈর্ঘ্যের সব দিক থাকা।. meaning of triangle in bangla is : Equilateral triangle is a triangle in which. ত্রিভুজের ( triangle) সমস্ত খুঁটিনাটি / types of triangle in bengali /. Equilateral triangle definition,. Equilateral Triangle Meaning In Bengali.
From www.doubtnut.com
[Bengali] Construct an equilateral triangle of sides 5.6 cm Equilateral Triangle Meaning In Bengali Equilateral triangle definition, pronuniation, antonyms, synonyms and example. A plane figure with three straight sides and three. See equilateral triangle meaning in bengali,. in geometry, an isosceles triangle is a triangle that has two sides of equal length. Bh u j) defenition of word triangle. meaning of triangle in bangla is : What is triangle in bengali? Equilateral. Equilateral Triangle Meaning In Bengali.
From www.howtopronounce.com
How to pronounce equilateral triangle Equilateral Triangle Meaning In Bengali Bh u j) defenition of word triangle. একই দৈর্ঘ্যের সব দিক থাকা।. meaning of triangle in bangla is : See equilateral triangle meaning in bengali,. ত্রিভুজের ( triangle) সমস্ত খুঁটিনাটি / types of triangle in bengali /. What is triangle in bengali? the meaning of triangle in bengali is ত্রিভুজ. A plane figure with three straight sides. Equilateral Triangle Meaning In Bengali.
From www.doubtnut.com
[Bengali] A circle is inscribed in an equilateral triangle of side len Equilateral Triangle Meaning In Bengali See equilateral triangle meaning in bengali,. Bh u j) defenition of word triangle. What is triangle in bengali? Equilateral triangle is a triangle in which. ত্রিভুজের ( triangle) সমস্ত খুঁটিনাটি / types of triangle in bengali /. in geometry, an isosceles triangle is a triangle that has two sides of equal length. একই দৈর্ঘ্যের সব দিক থাকা।. Equilateral. Equilateral Triangle Meaning In Bengali.
From www.fullpotentialtutor.com
Types of Triangles Definitions, Properties, Examples Full Potential Equilateral Triangle Meaning In Bengali Equilateral triangle is a triangle in which. See equilateral triangle meaning in bengali,. ত্রিভুজের ( triangle) সমস্ত খুঁটিনাটি / types of triangle in bengali /. একই দৈর্ঘ্যের সব দিক থাকা।. Bh u j) defenition of word triangle. the meaning of triangle in bengali is ত্রিভুজ. A plane figure with three straight sides and three. Equilateral triangle definition, pronuniation,. Equilateral Triangle Meaning In Bengali.