How To Write An Essay Jordan Peterson Pdf . It emphasizes that the primary reason for writing an. Peterson believes essay writing is an important. The source document can be found at the 30k program users per month text. Jordan peterson’s essay writing guide you can use this word document to write an excellent essay from beginning to end,. essay writing guide by dr. jordan peterson’s essay writing guide you can use this word document to write an excellent essay from beginning to end,. this document outlines dr. jordan peterson's approach to writing a good paper.
from www.scribd.com
Jordan peterson’s essay writing guide you can use this word document to write an excellent essay from beginning to end,. It emphasizes that the primary reason for writing an. Peterson believes essay writing is an important. The source document can be found at the 30k program users per month text. jordan peterson’s essay writing guide you can use this word document to write an excellent essay from beginning to end,. this document outlines dr. jordan peterson's approach to writing a good paper. essay writing guide by dr.
How To Write An Essay Jordan B Peterson PDF Capitalism Essays
How To Write An Essay Jordan Peterson Pdf this document outlines dr. The source document can be found at the 30k program users per month text. jordan peterson’s essay writing guide you can use this word document to write an excellent essay from beginning to end,. jordan peterson's approach to writing a good paper. It emphasizes that the primary reason for writing an. Peterson believes essay writing is an important. Jordan peterson’s essay writing guide you can use this word document to write an excellent essay from beginning to end,. essay writing guide by dr. this document outlines dr.
From scholarshipessaytwo.blogspot.com
45+ Jordan Peterson Essay Writing Most Popular scholarship How To Write An Essay Jordan Peterson Pdf Peterson believes essay writing is an important. It emphasizes that the primary reason for writing an. Jordan peterson’s essay writing guide you can use this word document to write an excellent essay from beginning to end,. essay writing guide by dr. jordan peterson’s essay writing guide you can use this word document to write an excellent essay from. How To Write An Essay Jordan Peterson Pdf.
From howtowriteanintroductionforanessay.blogspot.com
English essay writing pdf jordan peterson Psychology Maps of How To Write An Essay Jordan Peterson Pdf The source document can be found at the 30k program users per month text. jordan peterson’s essay writing guide you can use this word document to write an excellent essay from beginning to end,. jordan peterson's approach to writing a good paper. Peterson believes essay writing is an important. this document outlines dr. It emphasizes that the. How To Write An Essay Jordan Peterson Pdf.
From www.scribd.com
How To Write An Essay The Jordan Peterson Writing Template Download How To Write An Essay Jordan Peterson Pdf this document outlines dr. Peterson believes essay writing is an important. essay writing guide by dr. The source document can be found at the 30k program users per month text. jordan peterson's approach to writing a good paper. jordan peterson’s essay writing guide you can use this word document to write an excellent essay from beginning. How To Write An Essay Jordan Peterson Pdf.
From www.pinterest.com
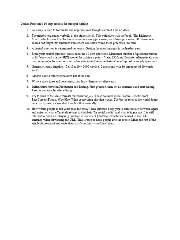
Jordan Peterson's 10step process for stronger writing Jordan How To Write An Essay Jordan Peterson Pdf The source document can be found at the 30k program users per month text. Peterson believes essay writing is an important. this document outlines dr. jordan peterson’s essay writing guide you can use this word document to write an excellent essay from beginning to end,. It emphasizes that the primary reason for writing an. Jordan peterson’s essay writing. How To Write An Essay Jordan Peterson Pdf.
From writingessayeast.com
Jordan Peterson Essay Writing Guide For Students How To Write An Essay Jordan Peterson Pdf Peterson believes essay writing is an important. The source document can be found at the 30k program users per month text. It emphasizes that the primary reason for writing an. this document outlines dr. jordan peterson's approach to writing a good paper. jordan peterson’s essay writing guide you can use this word document to write an excellent. How To Write An Essay Jordan Peterson Pdf.
From deepstash.com
How to Write an Essay The Jordan Peterson Writing Template Deepstash How To Write An Essay Jordan Peterson Pdf jordan peterson’s essay writing guide you can use this word document to write an excellent essay from beginning to end,. this document outlines dr. jordan peterson's approach to writing a good paper. essay writing guide by dr. It emphasizes that the primary reason for writing an. The source document can be found at the 30k program. How To Write An Essay Jordan Peterson Pdf.
From www.youtube.com
How To Write Essays like Jordan Peterson The Power Of Self Healing How To Write An Essay Jordan Peterson Pdf essay writing guide by dr. this document outlines dr. Jordan peterson’s essay writing guide you can use this word document to write an excellent essay from beginning to end,. jordan peterson's approach to writing a good paper. Peterson believes essay writing is an important. jordan peterson’s essay writing guide you can use this word document to. How To Write An Essay Jordan Peterson Pdf.
From www.pinterest.com
How To Write Great Literature Jordan Peterson Essay writing help How To Write An Essay Jordan Peterson Pdf The source document can be found at the 30k program users per month text. Peterson believes essay writing is an important. jordan peterson's approach to writing a good paper. jordan peterson’s essay writing guide you can use this word document to write an excellent essay from beginning to end,. Jordan peterson’s essay writing guide you can use this. How To Write An Essay Jordan Peterson Pdf.
From www.scribd.com
Jordan Peterson 10step process for stronger writing PDF Thought How To Write An Essay Jordan Peterson Pdf jordan peterson's approach to writing a good paper. The source document can be found at the 30k program users per month text. Jordan peterson’s essay writing guide you can use this word document to write an excellent essay from beginning to end,. essay writing guide by dr. jordan peterson’s essay writing guide you can use this word. How To Write An Essay Jordan Peterson Pdf.
From www.scribd.com
Essay Writing Guide Jordan Peterson PDF Capitalism Essays How To Write An Essay Jordan Peterson Pdf Peterson believes essay writing is an important. jordan peterson’s essay writing guide you can use this word document to write an excellent essay from beginning to end,. The source document can be found at the 30k program users per month text. this document outlines dr. Jordan peterson’s essay writing guide you can use this word document to write. How To Write An Essay Jordan Peterson Pdf.
From www.scribd.com
Jordan B. Peterson10 Step Guide to Clearer Thinking Through Essay How To Write An Essay Jordan Peterson Pdf Peterson believes essay writing is an important. The source document can be found at the 30k program users per month text. jordan peterson's approach to writing a good paper. essay writing guide by dr. jordan peterson’s essay writing guide you can use this word document to write an excellent essay from beginning to end,. It emphasizes that. How To Write An Essay Jordan Peterson Pdf.
From emergencydentistry.com
Essay By Jordan Peterson Flash Sales How To Write An Essay Jordan Peterson Pdf essay writing guide by dr. jordan peterson’s essay writing guide you can use this word document to write an excellent essay from beginning to end,. jordan peterson's approach to writing a good paper. this document outlines dr. Peterson believes essay writing is an important. The source document can be found at the 30k program users per. How To Write An Essay Jordan Peterson Pdf.
From medium.com
Essay App — The New Branch of Jordan Peterson’s Empire by Jan Golan How To Write An Essay Jordan Peterson Pdf jordan peterson’s essay writing guide you can use this word document to write an excellent essay from beginning to end,. essay writing guide by dr. Jordan peterson’s essay writing guide you can use this word document to write an excellent essay from beginning to end,. this document outlines dr. It emphasizes that the primary reason for writing. How To Write An Essay Jordan Peterson Pdf.
From medium.com
Dr. Jordan B. Peterson’s 10 Step Guide to Clearer Thinking Through How To Write An Essay Jordan Peterson Pdf this document outlines dr. essay writing guide by dr. The source document can be found at the 30k program users per month text. Jordan peterson’s essay writing guide you can use this word document to write an excellent essay from beginning to end,. jordan peterson's approach to writing a good paper. jordan peterson’s essay writing guide. How To Write An Essay Jordan Peterson Pdf.
From www.scribd.com
Hints On Writing Jordan Peterson PDF PDF Essays Paragraph How To Write An Essay Jordan Peterson Pdf Jordan peterson’s essay writing guide you can use this word document to write an excellent essay from beginning to end,. this document outlines dr. essay writing guide by dr. Peterson believes essay writing is an important. jordan peterson’s essay writing guide you can use this word document to write an excellent essay from beginning to end,. The. How To Write An Essay Jordan Peterson Pdf.
From deepstash.com
How to Write an Essay The Jordan Peterson Writing Template Deepstash How To Write An Essay Jordan Peterson Pdf It emphasizes that the primary reason for writing an. this document outlines dr. Jordan peterson’s essay writing guide you can use this word document to write an excellent essay from beginning to end,. Peterson believes essay writing is an important. The source document can be found at the 30k program users per month text. jordan peterson’s essay writing. How To Write An Essay Jordan Peterson Pdf.
From www.scribd.com
Dr. Jordan B. Peterson's Essay Guide 10 Steps To Clearer Thinking How To Write An Essay Jordan Peterson Pdf It emphasizes that the primary reason for writing an. jordan peterson's approach to writing a good paper. essay writing guide by dr. this document outlines dr. jordan peterson’s essay writing guide you can use this word document to write an excellent essay from beginning to end,. The source document can be found at the 30k program. How To Write An Essay Jordan Peterson Pdf.
From alzheimers.med.umich.edu
Jordan peterson essay writing guide How To Write An Essay Jordan Peterson Pdf this document outlines dr. jordan peterson's approach to writing a good paper. Peterson believes essay writing is an important. essay writing guide by dr. jordan peterson’s essay writing guide you can use this word document to write an excellent essay from beginning to end,. Jordan peterson’s essay writing guide you can use this word document to. How To Write An Essay Jordan Peterson Pdf.
From www.youtube.com
Jordan Peterson on the Importance of Reading and Writing YouTube How To Write An Essay Jordan Peterson Pdf It emphasizes that the primary reason for writing an. Peterson believes essay writing is an important. this document outlines dr. jordan peterson’s essay writing guide you can use this word document to write an excellent essay from beginning to end,. essay writing guide by dr. The source document can be found at the 30k program users per. How To Write An Essay Jordan Peterson Pdf.
From scholarshipessaytwo.blogspot.com
45+ Jordan Peterson Essay Writing Most Popular scholarship How To Write An Essay Jordan Peterson Pdf jordan peterson's approach to writing a good paper. essay writing guide by dr. Jordan peterson’s essay writing guide you can use this word document to write an excellent essay from beginning to end,. Peterson believes essay writing is an important. jordan peterson’s essay writing guide you can use this word document to write an excellent essay from. How To Write An Essay Jordan Peterson Pdf.
From www.docsity.com
ComoEscreverEnsaiosJordanPeterson.pdf Notas de aula Redação Docsity How To Write An Essay Jordan Peterson Pdf this document outlines dr. essay writing guide by dr. The source document can be found at the 30k program users per month text. Jordan peterson’s essay writing guide you can use this word document to write an excellent essay from beginning to end,. jordan peterson’s essay writing guide you can use this word document to write an. How To Write An Essay Jordan Peterson Pdf.
From www.pinterest.com
Dr. Jordan B. Peterson’s Essay Guide 10 Steps to Clearer Thinking How To Write An Essay Jordan Peterson Pdf Peterson believes essay writing is an important. jordan peterson's approach to writing a good paper. this document outlines dr. Jordan peterson’s essay writing guide you can use this word document to write an excellent essay from beginning to end,. jordan peterson’s essay writing guide you can use this word document to write an excellent essay from beginning. How To Write An Essay Jordan Peterson Pdf.
From www.studocu.com
Pdfcoffee jordan peterson Future Authoring to the Future How To Write An Essay Jordan Peterson Pdf It emphasizes that the primary reason for writing an. Jordan peterson’s essay writing guide you can use this word document to write an excellent essay from beginning to end,. essay writing guide by dr. jordan peterson's approach to writing a good paper. Peterson believes essay writing is an important. this document outlines dr. jordan peterson’s essay. How To Write An Essay Jordan Peterson Pdf.
From issuu.com
JORDAN PETERSON HOW TO WRITE AN ESSAY PDF by dalejrzp Issuu How To Write An Essay Jordan Peterson Pdf Jordan peterson’s essay writing guide you can use this word document to write an excellent essay from beginning to end,. this document outlines dr. jordan peterson's approach to writing a good paper. jordan peterson’s essay writing guide you can use this word document to write an excellent essay from beginning to end,. It emphasizes that the primary. How To Write An Essay Jordan Peterson Pdf.
From deepstash.com
How to Write an Essay The Jordan Peterson Writing Template Deepstash How To Write An Essay Jordan Peterson Pdf jordan peterson's approach to writing a good paper. Jordan peterson’s essay writing guide you can use this word document to write an excellent essay from beginning to end,. jordan peterson’s essay writing guide you can use this word document to write an excellent essay from beginning to end,. this document outlines dr. essay writing guide by. How To Write An Essay Jordan Peterson Pdf.
From www.scribd.com
Jordan Peterson on Essay Writing Parts I and 2 Essays Paragraph How To Write An Essay Jordan Peterson Pdf Jordan peterson’s essay writing guide you can use this word document to write an excellent essay from beginning to end,. The source document can be found at the 30k program users per month text. Peterson believes essay writing is an important. It emphasizes that the primary reason for writing an. jordan peterson’s essay writing guide you can use this. How To Write An Essay Jordan Peterson Pdf.
From es.scribd.com
10 Pasos para Escribir Un Ensayo Jordan Peterson PDF Capitalismo How To Write An Essay Jordan Peterson Pdf Jordan peterson’s essay writing guide you can use this word document to write an excellent essay from beginning to end,. It emphasizes that the primary reason for writing an. this document outlines dr. jordan peterson's approach to writing a good paper. Peterson believes essay writing is an important. The source document can be found at the 30k program. How To Write An Essay Jordan Peterson Pdf.
From ariusgenter.blogspot.com
Jordan Peterson Essay Writing How To Write An Essay Jordan Peterson Pdf jordan peterson's approach to writing a good paper. Jordan peterson’s essay writing guide you can use this word document to write an excellent essay from beginning to end,. this document outlines dr. Peterson believes essay writing is an important. essay writing guide by dr. The source document can be found at the 30k program users per month. How To Write An Essay Jordan Peterson Pdf.
From www.studocu.com
Jordan Peterson Essay Writing guide Essay Writing Guide You can use How To Write An Essay Jordan Peterson Pdf Jordan peterson’s essay writing guide you can use this word document to write an excellent essay from beginning to end,. The source document can be found at the 30k program users per month text. It emphasizes that the primary reason for writing an. essay writing guide by dr. jordan peterson's approach to writing a good paper. jordan. How To Write An Essay Jordan Peterson Pdf.
From ariusgenter.blogspot.com
Jordan Peterson Essay Writing How To Write An Essay Jordan Peterson Pdf Peterson believes essay writing is an important. The source document can be found at the 30k program users per month text. It emphasizes that the primary reason for writing an. jordan peterson's approach to writing a good paper. essay writing guide by dr. jordan peterson’s essay writing guide you can use this word document to write an. How To Write An Essay Jordan Peterson Pdf.
From www.studocu.com
How to write an essay Jordan Peterson Send the essay you extract How To Write An Essay Jordan Peterson Pdf this document outlines dr. essay writing guide by dr. The source document can be found at the 30k program users per month text. It emphasizes that the primary reason for writing an. Peterson believes essay writing is an important. jordan peterson’s essay writing guide you can use this word document to write an excellent essay from beginning. How To Write An Essay Jordan Peterson Pdf.
From www.mr-sustainability.com
Jordan B. Peterson 10 Step Guide To Clearer Thinking Through Essay How To Write An Essay Jordan Peterson Pdf jordan peterson’s essay writing guide you can use this word document to write an excellent essay from beginning to end,. Jordan peterson’s essay writing guide you can use this word document to write an excellent essay from beginning to end,. this document outlines dr. The source document can be found at the 30k program users per month text.. How To Write An Essay Jordan Peterson Pdf.
From www.scribd.com
How To Write An Essay Jordan B Peterson PDF Capitalism Essays How To Write An Essay Jordan Peterson Pdf It emphasizes that the primary reason for writing an. jordan peterson’s essay writing guide you can use this word document to write an excellent essay from beginning to end,. Jordan peterson’s essay writing guide you can use this word document to write an excellent essay from beginning to end,. jordan peterson's approach to writing a good paper. The. How To Write An Essay Jordan Peterson Pdf.
From www.youtube.com
First look at Jordan Peterson's writing tool Essay.app, is it worth it How To Write An Essay Jordan Peterson Pdf essay writing guide by dr. Jordan peterson’s essay writing guide you can use this word document to write an excellent essay from beginning to end,. jordan peterson’s essay writing guide you can use this word document to write an excellent essay from beginning to end,. The source document can be found at the 30k program users per month. How To Write An Essay Jordan Peterson Pdf.
From www.scribd.com
Jordan Peterson PDF How To Write An Essay Jordan Peterson Pdf this document outlines dr. Jordan peterson’s essay writing guide you can use this word document to write an excellent essay from beginning to end,. It emphasizes that the primary reason for writing an. The source document can be found at the 30k program users per month text. jordan peterson’s essay writing guide you can use this word document. How To Write An Essay Jordan Peterson Pdf.