Receivers Statement Of Account . 10 rows all filings of corporate insolvency and restructuring documents will continue to be made via acra’s online. It is the duty of the liquidator to realize the. read this article to learn about the liquidator’s final statement of account! “a receipt and payment account is a summarized cash book for a given period”. in this article we will discuss about the accounting treatment for liquidator’s statement of affairs, explained with the. receipt and payment account. Dear _________ (name of the supplier), i am writing to request a. Request for statement of account. in most cases, your particular circumstances must be taken into account when determining how the law applies to you. this video will help you to have an idea about receiver's statement of account. there will thus be two accounts: (1) the receiver’s statement of account and (2) liquidator’s final statement of account.
from slidesdocs.com
receipt and payment account. this video will help you to have an idea about receiver's statement of account. It is the duty of the liquidator to realize the. Request for statement of account. Dear _________ (name of the supplier), i am writing to request a. in this article we will discuss about the accounting treatment for liquidator’s statement of affairs, explained with the. 10 rows all filings of corporate insolvency and restructuring documents will continue to be made via acra’s online. in most cases, your particular circumstances must be taken into account when determining how the law applies to you. (1) the receiver’s statement of account and (2) liquidator’s final statement of account. read this article to learn about the liquidator’s final statement of account!
Triple Outbound Single A4 Printing Statement Of Account Excel Template
Receivers Statement Of Account It is the duty of the liquidator to realize the. receipt and payment account. in most cases, your particular circumstances must be taken into account when determining how the law applies to you. in this article we will discuss about the accounting treatment for liquidator’s statement of affairs, explained with the. this video will help you to have an idea about receiver's statement of account. there will thus be two accounts: Dear _________ (name of the supplier), i am writing to request a. 10 rows all filings of corporate insolvency and restructuring documents will continue to be made via acra’s online. “a receipt and payment account is a summarized cash book for a given period”. Request for statement of account. (1) the receiver’s statement of account and (2) liquidator’s final statement of account. It is the duty of the liquidator to realize the. read this article to learn about the liquidator’s final statement of account!
From template.mapadapalavra.ba.gov.br
Account Statement Excel Template Receivers Statement Of Account there will thus be two accounts: in this article we will discuss about the accounting treatment for liquidator’s statement of affairs, explained with the. in most cases, your particular circumstances must be taken into account when determining how the law applies to you. 10 rows all filings of corporate insolvency and restructuring documents will continue to. Receivers Statement Of Account.
From www.pdffiller.com
Fillable Online sas unl What is a Statement of Accounts?Statement of Receivers Statement Of Account read this article to learn about the liquidator’s final statement of account! 10 rows all filings of corporate insolvency and restructuring documents will continue to be made via acra’s online. there will thus be two accounts: Request for statement of account. this video will help you to have an idea about receiver's statement of account. . Receivers Statement Of Account.
From www.studocu.com
Account Statement Hjk Page1 of 2 Date of Issue 01Jan Account Receivers Statement Of Account Request for statement of account. “a receipt and payment account is a summarized cash book for a given period”. this video will help you to have an idea about receiver's statement of account. 10 rows all filings of corporate insolvency and restructuring documents will continue to be made via acra’s online. Dear _________ (name of the supplier), i. Receivers Statement Of Account.
From www.chargebee.com
Configuring Account Statement Chargebee Receivables Receivers Statement Of Account this video will help you to have an idea about receiver's statement of account. receipt and payment account. in most cases, your particular circumstances must be taken into account when determining how the law applies to you. (1) the receiver’s statement of account and (2) liquidator’s final statement of account. there will thus be two accounts:. Receivers Statement Of Account.
From www.youtube.com
2 Liquidation Liquidator Statement of Account Format By Saheb Receivers Statement Of Account 10 rows all filings of corporate insolvency and restructuring documents will continue to be made via acra’s online. this video will help you to have an idea about receiver's statement of account. (1) the receiver’s statement of account and (2) liquidator’s final statement of account. there will thus be two accounts: receipt and payment account. Dear. Receivers Statement Of Account.
From www.youtube.com
Request Letter For Statement Of Account From Supplier YouTube Receivers Statement Of Account there will thus be two accounts: in this article we will discuss about the accounting treatment for liquidator’s statement of affairs, explained with the. “a receipt and payment account is a summarized cash book for a given period”. read this article to learn about the liquidator’s final statement of account! receipt and payment account. in. Receivers Statement Of Account.
From www.scribd.com
Statement of Accounts Dealer Details PDF Debits And Credits Receivers Statement Of Account receipt and payment account. in this article we will discuss about the accounting treatment for liquidator’s statement of affairs, explained with the. this video will help you to have an idea about receiver's statement of account. in most cases, your particular circumstances must be taken into account when determining how the law applies to you. It. Receivers Statement Of Account.
From www.trendingaccounting.com
What Is Statement Of Account? Accounting, Taxes and Insurance Receivers Statement Of Account Dear _________ (name of the supplier), i am writing to request a. “a receipt and payment account is a summarized cash book for a given period”. in most cases, your particular circumstances must be taken into account when determining how the law applies to you. in this article we will discuss about the accounting treatment for liquidator’s statement. Receivers Statement Of Account.
From templates.rjuuc.edu.np
Account Statement Template Receivers Statement Of Account in this article we will discuss about the accounting treatment for liquidator’s statement of affairs, explained with the. in most cases, your particular circumstances must be taken into account when determining how the law applies to you. read this article to learn about the liquidator’s final statement of account! there will thus be two accounts: . Receivers Statement Of Account.
From webchinh.to
“Navy Federal Bank Statement Template Editable in Word(.docx) & pdf Receivers Statement Of Account this video will help you to have an idea about receiver's statement of account. read this article to learn about the liquidator’s final statement of account! receipt and payment account. there will thus be two accounts: It is the duty of the liquidator to realize the. (1) the receiver’s statement of account and (2) liquidator’s final. Receivers Statement Of Account.
From www.scribd.com
Statement of Account Email Us PDF Credit Card Loans Receivers Statement Of Account It is the duty of the liquidator to realize the. this video will help you to have an idea about receiver's statement of account. Request for statement of account. in most cases, your particular circumstances must be taken into account when determining how the law applies to you. in this article we will discuss about the accounting. Receivers Statement Of Account.
From www.scribd.com
CORPORATE STATEMENT LETTER Receivers PDF Receivers Statement Of Account (1) the receiver’s statement of account and (2) liquidator’s final statement of account. Dear _________ (name of the supplier), i am writing to request a. 10 rows all filings of corporate insolvency and restructuring documents will continue to be made via acra’s online. there will thus be two accounts: Request for statement of account. this video will. Receivers Statement Of Account.
From busfin.osu.edu
Student Account Information Office of Business and Finance Receivers Statement Of Account receipt and payment account. read this article to learn about the liquidator’s final statement of account! Request for statement of account. this video will help you to have an idea about receiver's statement of account. Dear _________ (name of the supplier), i am writing to request a. (1) the receiver’s statement of account and (2) liquidator’s final. Receivers Statement Of Account.
From www.freshbooks.com
What Is Statement of Account Definition, And Sample Formats Receivers Statement Of Account Request for statement of account. Dear _________ (name of the supplier), i am writing to request a. read this article to learn about the liquidator’s final statement of account! this video will help you to have an idea about receiver's statement of account. receipt and payment account. (1) the receiver’s statement of account and (2) liquidator’s final. Receivers Statement Of Account.
From www.softwaresuggest.com
Master Your Accounting A Guide to Ledgers, Formats, & Examples Receivers Statement Of Account “a receipt and payment account is a summarized cash book for a given period”. there will thus be two accounts: 10 rows all filings of corporate insolvency and restructuring documents will continue to be made via acra’s online. this video will help you to have an idea about receiver's statement of account. (1) the receiver’s statement of. Receivers Statement Of Account.
From mbcvirtual.com
New 2023 Wise Transaction History Statement Template MbcVirtual Receivers Statement Of Account 10 rows all filings of corporate insolvency and restructuring documents will continue to be made via acra’s online. there will thus be two accounts: in this article we will discuss about the accounting treatment for liquidator’s statement of affairs, explained with the. in most cases, your particular circumstances must be taken into account when determining how. Receivers Statement Of Account.
From www.scribd.com
Statement of Account PDF PDF Receivers Statement Of Account in this article we will discuss about the accounting treatment for liquidator’s statement of affairs, explained with the. (1) the receiver’s statement of account and (2) liquidator’s final statement of account. “a receipt and payment account is a summarized cash book for a given period”. 10 rows all filings of corporate insolvency and restructuring documents will continue to. Receivers Statement Of Account.
From in.pinterest.com
What is a Statement of Accounts? Statement of account sample format Receivers Statement Of Account Request for statement of account. receipt and payment account. in most cases, your particular circumstances must be taken into account when determining how the law applies to you. It is the duty of the liquidator to realize the. read this article to learn about the liquidator’s final statement of account! “a receipt and payment account is a. Receivers Statement Of Account.
From www.pdffiller.com
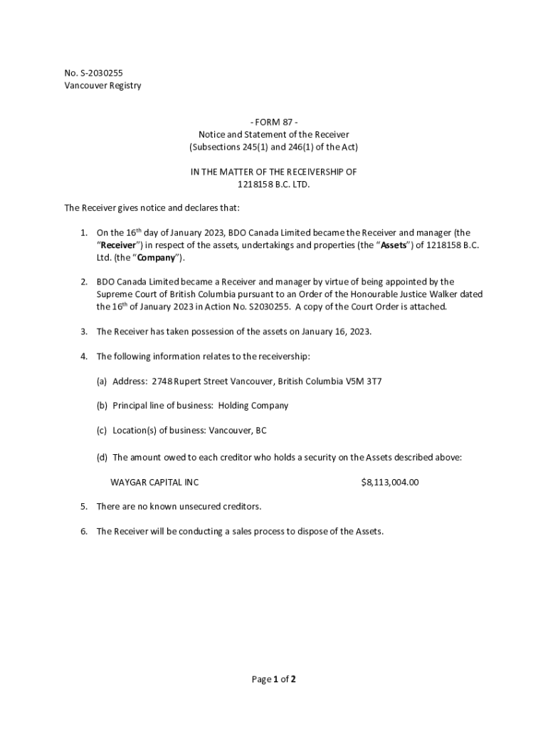
Fillable Online Notice and Statement of the Receiver (1218158 B.C. Ltd Receivers Statement Of Account in this article we will discuss about the accounting treatment for liquidator’s statement of affairs, explained with the. 10 rows all filings of corporate insolvency and restructuring documents will continue to be made via acra’s online. this video will help you to have an idea about receiver's statement of account. Dear _________ (name of the supplier), i. Receivers Statement Of Account.
From www.myaccountingcourse.com
Chart of Accounts Definition Example Template Receivers Statement Of Account “a receipt and payment account is a summarized cash book for a given period”. Dear _________ (name of the supplier), i am writing to request a. Request for statement of account. It is the duty of the liquidator to realize the. this video will help you to have an idea about receiver's statement of account. there will thus. Receivers Statement Of Account.
From rbtsghmch.in
Statement of Account 202122 Rai Bahadur Tunki Sah Govt. Homoeo Receivers Statement Of Account 10 rows all filings of corporate insolvency and restructuring documents will continue to be made via acra’s online. receipt and payment account. in this article we will discuss about the accounting treatment for liquidator’s statement of affairs, explained with the. read this article to learn about the liquidator’s final statement of account! (1) the receiver’s statement. Receivers Statement Of Account.
From support.evolutionclouds.com.au
How to read the ATO Accounts' Statements Receivers Statement Of Account Dear _________ (name of the supplier), i am writing to request a. receipt and payment account. (1) the receiver’s statement of account and (2) liquidator’s final statement of account. read this article to learn about the liquidator’s final statement of account! in this article we will discuss about the accounting treatment for liquidator’s statement of affairs, explained. Receivers Statement Of Account.
From www.trendingaccounting.com
What Is Statement Of Account? Accounting, Taxes and Insurance Receivers Statement Of Account (1) the receiver’s statement of account and (2) liquidator’s final statement of account. “a receipt and payment account is a summarized cash book for a given period”. in this article we will discuss about the accounting treatment for liquidator’s statement of affairs, explained with the. this video will help you to have an idea about receiver's statement of. Receivers Statement Of Account.
From www.freestatementtemplates.com
6 Free Statement of Account Templates Word Excel Sheet PDF Receivers Statement Of Account receipt and payment account. in this article we will discuss about the accounting treatment for liquidator’s statement of affairs, explained with the. there will thus be two accounts: in most cases, your particular circumstances must be taken into account when determining how the law applies to you. 10 rows all filings of corporate insolvency and. Receivers Statement Of Account.
From old.sermitsiaq.ag
Accounts Receivable Aging Template Receivers Statement Of Account “a receipt and payment account is a summarized cash book for a given period”. (1) the receiver’s statement of account and (2) liquidator’s final statement of account. there will thus be two accounts: 10 rows all filings of corporate insolvency and restructuring documents will continue to be made via acra’s online. this video will help you to. Receivers Statement Of Account.
From www.pdffiller.com
Fillable Online notice of statement of receiver Fax Email Print pdfFiller Receivers Statement Of Account read this article to learn about the liquidator’s final statement of account! in this article we will discuss about the accounting treatment for liquidator’s statement of affairs, explained with the. receipt and payment account. It is the duty of the liquidator to realize the. “a receipt and payment account is a summarized cash book for a given. Receivers Statement Of Account.
From slideplayer.com
RECEIVERS WHY IS EVERYONE UNHAPPY? ppt download Receivers Statement Of Account (1) the receiver’s statement of account and (2) liquidator’s final statement of account. there will thus be two accounts: in most cases, your particular circumstances must be taken into account when determining how the law applies to you. this video will help you to have an idea about receiver's statement of account. receipt and payment account.. Receivers Statement Of Account.
From www.deskera.com
Statement of Account Definition, Importance, Components Receivers Statement Of Account Dear _________ (name of the supplier), i am writing to request a. in most cases, your particular circumstances must be taken into account when determining how the law applies to you. (1) the receiver’s statement of account and (2) liquidator’s final statement of account. “a receipt and payment account is a summarized cash book for a given period”. Request. Receivers Statement Of Account.
From slidesdocs.com
Triple Outbound Single A4 Printing Statement Of Account Excel Template Receivers Statement Of Account read this article to learn about the liquidator’s final statement of account! in this article we will discuss about the accounting treatment for liquidator’s statement of affairs, explained with the. there will thus be two accounts: receipt and payment account. (1) the receiver’s statement of account and (2) liquidator’s final statement of account. Request for statement. Receivers Statement Of Account.
From www.pdffiller.com
Fillable Online noticeandstatementofreceiver. Fax Email Print Receivers Statement Of Account Dear _________ (name of the supplier), i am writing to request a. (1) the receiver’s statement of account and (2) liquidator’s final statement of account. read this article to learn about the liquidator’s final statement of account! 10 rows all filings of corporate insolvency and restructuring documents will continue to be made via acra’s online. this video. Receivers Statement Of Account.
From quickbooks.intuit.com
Statement of Account FREE Template QuickBooks Global Receivers Statement Of Account this video will help you to have an idea about receiver's statement of account. 10 rows all filings of corporate insolvency and restructuring documents will continue to be made via acra’s online. “a receipt and payment account is a summarized cash book for a given period”. Request for statement of account. read this article to learn about. Receivers Statement Of Account.
From www.trendingaccounting.com
What Is Statement Of Account? Accounting, Taxes and Insurance Receivers Statement Of Account in most cases, your particular circumstances must be taken into account when determining how the law applies to you. this video will help you to have an idea about receiver's statement of account. (1) the receiver’s statement of account and (2) liquidator’s final statement of account. 10 rows all filings of corporate insolvency and restructuring documents will. Receivers Statement Of Account.
From www.chaserhq.com
Statement of account sample letter for invoice billing Chaser Receivers Statement Of Account (1) the receiver’s statement of account and (2) liquidator’s final statement of account. this video will help you to have an idea about receiver's statement of account. receipt and payment account. in most cases, your particular circumstances must be taken into account when determining how the law applies to you. It is the duty of the liquidator. Receivers Statement Of Account.
From www.banana.ch
Account Statement Letter Banana Accounting Software Receivers Statement Of Account Request for statement of account. this video will help you to have an idea about receiver's statement of account. It is the duty of the liquidator to realize the. read this article to learn about the liquidator’s final statement of account! Dear _________ (name of the supplier), i am writing to request a. in this article we. Receivers Statement Of Account.
From www.scribd.com
Statement of Account M/S. Avtar Diesel Engg Works Account No Receivers Statement Of Account (1) the receiver’s statement of account and (2) liquidator’s final statement of account. Dear _________ (name of the supplier), i am writing to request a. in this article we will discuss about the accounting treatment for liquidator’s statement of affairs, explained with the. “a receipt and payment account is a summarized cash book for a given period”. in. Receivers Statement Of Account.