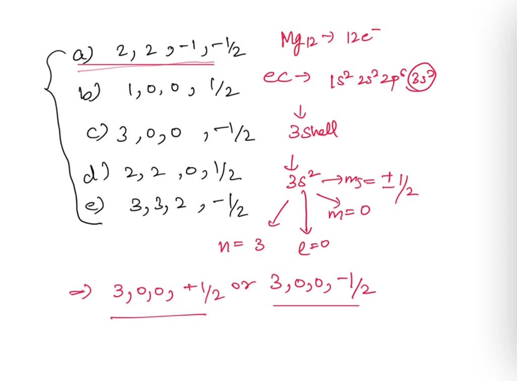
Complete Set Of Quantum Numbers For Magnesium . There are four quantum numbers: B give a complete set of quantum numbers for magnesium for each electrom beyond those of the preceding noble gas. Each one is a particular factor in an equation describing a property of the electron. It defines the orientation of an orbital in the space around the nucleus of. The four quantum numbers determine the state of the electron, and are n is the distance of the orbital from the nucleus (1,2,3,4 etc), l is the. As you know, four quantum numbers are used to describe the position and spin of an electron in an atom. The quantum number set for magnesium includes four quantum numbers: Consider a ground state atom of magnesium, which has two valence electrons. N, ℓ, m ℓ, and m s. The quantum numbers for one of the valence electrons is. [ne]3s2 me ms | | | electron 1. Principal quantum number (n) = 3, azimuthal. Your goal here is to identify.
from www.youtube.com
Each one is a particular factor in an equation describing a property of the electron. N, ℓ, m ℓ, and m s. B give a complete set of quantum numbers for magnesium for each electrom beyond those of the preceding noble gas. The quantum number set for magnesium includes four quantum numbers: Consider a ground state atom of magnesium, which has two valence electrons. There are four quantum numbers: Principal quantum number (n) = 3, azimuthal. Your goal here is to identify. The four quantum numbers determine the state of the electron, and are n is the distance of the orbital from the nucleus (1,2,3,4 etc), l is the. The quantum numbers for one of the valence electrons is.
Assigning quantum numbers YouTube
Complete Set Of Quantum Numbers For Magnesium B give a complete set of quantum numbers for magnesium for each electrom beyond those of the preceding noble gas. There are four quantum numbers: [ne]3s2 me ms | | | electron 1. N, ℓ, m ℓ, and m s. Consider a ground state atom of magnesium, which has two valence electrons. B give a complete set of quantum numbers for magnesium for each electrom beyond those of the preceding noble gas. Your goal here is to identify. Each one is a particular factor in an equation describing a property of the electron. It defines the orientation of an orbital in the space around the nucleus of. The four quantum numbers determine the state of the electron, and are n is the distance of the orbital from the nucleus (1,2,3,4 etc), l is the. The quantum numbers for one of the valence electrons is. As you know, four quantum numbers are used to describe the position and spin of an electron in an atom. The quantum number set for magnesium includes four quantum numbers: Principal quantum number (n) = 3, azimuthal.
From www.numerade.com
SOLVED 4.Assign conect set of four quantum numbers for a) Each Complete Set Of Quantum Numbers For Magnesium Principal quantum number (n) = 3, azimuthal. There are four quantum numbers: Your goal here is to identify. The four quantum numbers determine the state of the electron, and are n is the distance of the orbital from the nucleus (1,2,3,4 etc), l is the. [ne]3s2 me ms | | | electron 1. It defines the orientation of an orbital. Complete Set Of Quantum Numbers For Magnesium.
From www.chegg.com
Solved Complete the table below by providing a set of Complete Set Of Quantum Numbers For Magnesium There are four quantum numbers: Each one is a particular factor in an equation describing a property of the electron. As you know, four quantum numbers are used to describe the position and spin of an electron in an atom. B give a complete set of quantum numbers for magnesium for each electrom beyond those of the preceding noble gas.. Complete Set Of Quantum Numbers For Magnesium.
From www.animalia-life.club
Magnesium Electron Configuration Complete Set Of Quantum Numbers For Magnesium As you know, four quantum numbers are used to describe the position and spin of an electron in an atom. Principal quantum number (n) = 3, azimuthal. It defines the orientation of an orbital in the space around the nucleus of. N, ℓ, m ℓ, and m s. The quantum numbers for one of the valence electrons is. The four. Complete Set Of Quantum Numbers For Magnesium.
From www.slideserve.com
PPT Valence Electrons and Oxidation Numbers PowerPoint Presentation Complete Set Of Quantum Numbers For Magnesium As you know, four quantum numbers are used to describe the position and spin of an electron in an atom. The quantum number set for magnesium includes four quantum numbers: Your goal here is to identify. The four quantum numbers determine the state of the electron, and are n is the distance of the orbital from the nucleus (1,2,3,4 etc),. Complete Set Of Quantum Numbers For Magnesium.
From www.numerade.com
SOLVEDAssign a correct set of four quantum numbers for (a) Each Complete Set Of Quantum Numbers For Magnesium The four quantum numbers determine the state of the electron, and are n is the distance of the orbital from the nucleus (1,2,3,4 etc), l is the. Consider a ground state atom of magnesium, which has two valence electrons. Principal quantum number (n) = 3, azimuthal. Your goal here is to identify. There are four quantum numbers: Each one is. Complete Set Of Quantum Numbers For Magnesium.
From www.chegg.com
Solved List all the valid sets of quantum numbers for a 6p Complete Set Of Quantum Numbers For Magnesium Principal quantum number (n) = 3, azimuthal. As you know, four quantum numbers are used to describe the position and spin of an electron in an atom. Each one is a particular factor in an equation describing a property of the electron. The four quantum numbers determine the state of the electron, and are n is the distance of the. Complete Set Of Quantum Numbers For Magnesium.
From www.numerade.com
SOLVEDPart 2_ Quantum Number and Electron Configuration Direction On Complete Set Of Quantum Numbers For Magnesium [ne]3s2 me ms | | | electron 1. The quantum number set for magnesium includes four quantum numbers: Each one is a particular factor in an equation describing a property of the electron. B give a complete set of quantum numbers for magnesium for each electrom beyond those of the preceding noble gas. Consider a ground state atom of magnesium,. Complete Set Of Quantum Numbers For Magnesium.
From guidelibstoitering.z21.web.core.windows.net
Magnesium Electron Dot Diagram Complete Set Of Quantum Numbers For Magnesium N, ℓ, m ℓ, and m s. B give a complete set of quantum numbers for magnesium for each electrom beyond those of the preceding noble gas. It defines the orientation of an orbital in the space around the nucleus of. The quantum number set for magnesium includes four quantum numbers: The quantum numbers for one of the valence electrons. Complete Set Of Quantum Numbers For Magnesium.
From www.chegg.com
Solved b Give a complete set of quantum numbers for Complete Set Of Quantum Numbers For Magnesium Principal quantum number (n) = 3, azimuthal. Your goal here is to identify. Consider a ground state atom of magnesium, which has two valence electrons. Each one is a particular factor in an equation describing a property of the electron. It defines the orientation of an orbital in the space around the nucleus of. [ne]3s2 me ms | | |. Complete Set Of Quantum Numbers For Magnesium.
From www.slideserve.com
PPT Chapter 6 Electronic Structure of Atoms PowerPoint Presentation Complete Set Of Quantum Numbers For Magnesium The four quantum numbers determine the state of the electron, and are n is the distance of the orbital from the nucleus (1,2,3,4 etc), l is the. B give a complete set of quantum numbers for magnesium for each electrom beyond those of the preceding noble gas. As you know, four quantum numbers are used to describe the position and. Complete Set Of Quantum Numbers For Magnesium.
From byjus.com
Quantum Numbers (Principal, Azimuthal, and Spin) Definition Complete Set Of Quantum Numbers For Magnesium It defines the orientation of an orbital in the space around the nucleus of. Principal quantum number (n) = 3, azimuthal. Your goal here is to identify. Consider a ground state atom of magnesium, which has two valence electrons. As you know, four quantum numbers are used to describe the position and spin of an electron in an atom. N,. Complete Set Of Quantum Numbers For Magnesium.
From physicscatalyst.com
Quantum Numbers Chart physicscatalyst's Blog Complete Set Of Quantum Numbers For Magnesium As you know, four quantum numbers are used to describe the position and spin of an electron in an atom. The quantum number set for magnesium includes four quantum numbers: Each one is a particular factor in an equation describing a property of the electron. The quantum numbers for one of the valence electrons is. There are four quantum numbers:. Complete Set Of Quantum Numbers For Magnesium.
From www.youtube.com
UPSC Preparation Quantum numbers YouTube Complete Set Of Quantum Numbers For Magnesium The four quantum numbers determine the state of the electron, and are n is the distance of the orbital from the nucleus (1,2,3,4 etc), l is the. It defines the orientation of an orbital in the space around the nucleus of. The quantum number set for magnesium includes four quantum numbers: Consider a ground state atom of magnesium, which has. Complete Set Of Quantum Numbers For Magnesium.
From andreaminsharp.blogspot.com
Set of Quantum Numbers AndreaminSharp Complete Set Of Quantum Numbers For Magnesium The quantum numbers for one of the valence electrons is. N, ℓ, m ℓ, and m s. As you know, four quantum numbers are used to describe the position and spin of an electron in an atom. B give a complete set of quantum numbers for magnesium for each electrom beyond those of the preceding noble gas. Principal quantum number. Complete Set Of Quantum Numbers For Magnesium.
From www.slideserve.com
PPT Quantum Numbers PowerPoint Presentation, free download ID4952601 Complete Set Of Quantum Numbers For Magnesium Your goal here is to identify. It defines the orientation of an orbital in the space around the nucleus of. The four quantum numbers determine the state of the electron, and are n is the distance of the orbital from the nucleus (1,2,3,4 etc), l is the. As you know, four quantum numbers are used to describe the position and. Complete Set Of Quantum Numbers For Magnesium.
From www.priyamstudycentre.com
Quantum Number Orbitals Diagram, Definition, Chart, Shape Complete Set Of Quantum Numbers For Magnesium Consider a ground state atom of magnesium, which has two valence electrons. B give a complete set of quantum numbers for magnesium for each electrom beyond those of the preceding noble gas. The quantum number set for magnesium includes four quantum numbers: Your goal here is to identify. The four quantum numbers determine the state of the electron, and are. Complete Set Of Quantum Numbers For Magnesium.
From general.chemistrysteps.com
Quantum Numbers Chemistry Steps Complete Set Of Quantum Numbers For Magnesium Each one is a particular factor in an equation describing a property of the electron. Consider a ground state atom of magnesium, which has two valence electrons. The quantum number set for magnesium includes four quantum numbers: N, ℓ, m ℓ, and m s. As you know, four quantum numbers are used to describe the position and spin of an. Complete Set Of Quantum Numbers For Magnesium.
From eduinput.com
Quantum numbersPrinciple, Azimuthal, and Spin Complete Set Of Quantum Numbers For Magnesium N, ℓ, m ℓ, and m s. The four quantum numbers determine the state of the electron, and are n is the distance of the orbital from the nucleus (1,2,3,4 etc), l is the. As you know, four quantum numbers are used to describe the position and spin of an electron in an atom. B give a complete set of. Complete Set Of Quantum Numbers For Magnesium.
From www.chegg.com
Solved Assign a set of four quantum numbers to each electron Complete Set Of Quantum Numbers For Magnesium The quantum numbers for one of the valence electrons is. Principal quantum number (n) = 3, azimuthal. [ne]3s2 me ms | | | electron 1. Each one is a particular factor in an equation describing a property of the electron. Your goal here is to identify. N, ℓ, m ℓ, and m s. The four quantum numbers determine the state. Complete Set Of Quantum Numbers For Magnesium.
From eduinput.com
Quantum numbersPrinciple, Azimuthal, and Spin Complete Set Of Quantum Numbers For Magnesium [ne]3s2 me ms | | | electron 1. Each one is a particular factor in an equation describing a property of the electron. There are four quantum numbers: The quantum number set for magnesium includes four quantum numbers: Your goal here is to identify. As you know, four quantum numbers are used to describe the position and spin of an. Complete Set Of Quantum Numbers For Magnesium.
From www.numerade.com
SOLVED Question 7 Which one of the following represents an acceptable Complete Set Of Quantum Numbers For Magnesium B give a complete set of quantum numbers for magnesium for each electrom beyond those of the preceding noble gas. There are four quantum numbers: N, ℓ, m ℓ, and m s. The quantum number set for magnesium includes four quantum numbers: The four quantum numbers determine the state of the electron, and are n is the distance of the. Complete Set Of Quantum Numbers For Magnesium.
From www.youtube.com
Magnesium quantum number YouTube Complete Set Of Quantum Numbers For Magnesium N, ℓ, m ℓ, and m s. [ne]3s2 me ms | | | electron 1. Consider a ground state atom of magnesium, which has two valence electrons. It defines the orientation of an orbital in the space around the nucleus of. As you know, four quantum numbers are used to describe the position and spin of an electron in an. Complete Set Of Quantum Numbers For Magnesium.
From www.youtube.com
Example Writing all sets of 4 Quantum Numbers for the 4d subshell Complete Set Of Quantum Numbers For Magnesium The quantum number set for magnesium includes four quantum numbers: N, ℓ, m ℓ, and m s. [ne]3s2 me ms | | | electron 1. Your goal here is to identify. B give a complete set of quantum numbers for magnesium for each electrom beyond those of the preceding noble gas. Consider a ground state atom of magnesium, which has. Complete Set Of Quantum Numbers For Magnesium.
From shanimchemistry.blogspot.com
*CHEMISTRY MATRICULATION* QUANTUM NUMBERS Complete Set Of Quantum Numbers For Magnesium The four quantum numbers determine the state of the electron, and are n is the distance of the orbital from the nucleus (1,2,3,4 etc), l is the. Your goal here is to identify. The quantum number set for magnesium includes four quantum numbers: As you know, four quantum numbers are used to describe the position and spin of an electron. Complete Set Of Quantum Numbers For Magnesium.
From www.researchgate.net
Resonance positions (E r in eV), effective quantum numbers (n * ) and Complete Set Of Quantum Numbers For Magnesium The quantum number set for magnesium includes four quantum numbers: As you know, four quantum numbers are used to describe the position and spin of an electron in an atom. B give a complete set of quantum numbers for magnesium for each electrom beyond those of the preceding noble gas. It defines the orientation of an orbital in the space. Complete Set Of Quantum Numbers For Magnesium.
From brainly.in
write the four quantum numbers for 12th electron of magnesium Brainly.in Complete Set Of Quantum Numbers For Magnesium Each one is a particular factor in an equation describing a property of the electron. N, ℓ, m ℓ, and m s. [ne]3s2 me ms | | | electron 1. Your goal here is to identify. It defines the orientation of an orbital in the space around the nucleus of. The quantum number set for magnesium includes four quantum numbers:. Complete Set Of Quantum Numbers For Magnesium.
From www.coursehero.com
[Solved] Complete the table below by providing a set of quantum numbers Complete Set Of Quantum Numbers For Magnesium The quantum number set for magnesium includes four quantum numbers: [ne]3s2 me ms | | | electron 1. It defines the orientation of an orbital in the space around the nucleus of. Your goal here is to identify. There are four quantum numbers: B give a complete set of quantum numbers for magnesium for each electrom beyond those of the. Complete Set Of Quantum Numbers For Magnesium.
From www.chegg.com
Solved A possible set of quantum numbers for the last Complete Set Of Quantum Numbers For Magnesium Your goal here is to identify. It defines the orientation of an orbital in the space around the nucleus of. [ne]3s2 me ms | | | electron 1. B give a complete set of quantum numbers for magnesium for each electrom beyond those of the preceding noble gas. The quantum numbers for one of the valence electrons is. Each one. Complete Set Of Quantum Numbers For Magnesium.
From www.youtube.com
Assigning quantum numbers YouTube Complete Set Of Quantum Numbers For Magnesium N, ℓ, m ℓ, and m s. [ne]3s2 me ms | | | electron 1. Your goal here is to identify. As you know, four quantum numbers are used to describe the position and spin of an electron in an atom. There are four quantum numbers: Each one is a particular factor in an equation describing a property of the. Complete Set Of Quantum Numbers For Magnesium.
From studylib.net
Quantum Numbers Complete Set Of Quantum Numbers For Magnesium Your goal here is to identify. The quantum numbers for one of the valence electrons is. As you know, four quantum numbers are used to describe the position and spin of an electron in an atom. The quantum number set for magnesium includes four quantum numbers: [ne]3s2 me ms | | | electron 1. It defines the orientation of an. Complete Set Of Quantum Numbers For Magnesium.
From www.newtondesk.com
magnesium electron configuration Newton Desk Complete Set Of Quantum Numbers For Magnesium The four quantum numbers determine the state of the electron, and are n is the distance of the orbital from the nucleus (1,2,3,4 etc), l is the. B give a complete set of quantum numbers for magnesium for each electrom beyond those of the preceding noble gas. It defines the orientation of an orbital in the space around the nucleus. Complete Set Of Quantum Numbers For Magnesium.
From mungfali.com
Quantum Numbers Chart Chemistry Complete Set Of Quantum Numbers For Magnesium Consider a ground state atom of magnesium, which has two valence electrons. Each one is a particular factor in an equation describing a property of the electron. B give a complete set of quantum numbers for magnesium for each electrom beyond those of the preceding noble gas. The four quantum numbers determine the state of the electron, and are n. Complete Set Of Quantum Numbers For Magnesium.
From www.numerade.com
SOLVED Write four quantum numbers to describe the highest energy Complete Set Of Quantum Numbers For Magnesium N, ℓ, m ℓ, and m s. The quantum numbers for one of the valence electrons is. Your goal here is to identify. Consider a ground state atom of magnesium, which has two valence electrons. Principal quantum number (n) = 3, azimuthal. It defines the orientation of an orbital in the space around the nucleus of. [ne]3s2 me ms |. Complete Set Of Quantum Numbers For Magnesium.
From www.numerade.com
SOLVEDDepict the electron configuration for magnesium using an orbital Complete Set Of Quantum Numbers For Magnesium Principal quantum number (n) = 3, azimuthal. Consider a ground state atom of magnesium, which has two valence electrons. Each one is a particular factor in an equation describing a property of the electron. The four quantum numbers determine the state of the electron, and are n is the distance of the orbital from the nucleus (1,2,3,4 etc), l is. Complete Set Of Quantum Numbers For Magnesium.
From www.numerade.com
SOLVED (A) Write the electron configuration, draw the orbital diagram Complete Set Of Quantum Numbers For Magnesium Each one is a particular factor in an equation describing a property of the electron. N, ℓ, m ℓ, and m s. The quantum numbers for one of the valence electrons is. It defines the orientation of an orbital in the space around the nucleus of. B give a complete set of quantum numbers for magnesium for each electrom beyond. Complete Set Of Quantum Numbers For Magnesium.