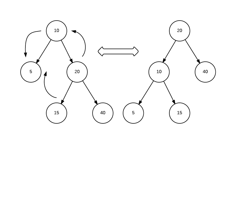
Tree Rotation Java . I am not getting this. Say i have the tree below and i want to rotate left or right around node 2. The key feature of the avl. I am trying to rotate my tree in java. In the avl tree, the difference between heights of the right and left subtree doesn't exceed one for all nodes. How to implement an avl tree in java? Avl tree program in java. An avl tree may rotate in one of the following four ways to keep itself balanced: How to insert elements, and how to delete them? I want to implement the java avl tree and to rotate the tree left and right. Can anybody by looking at the code. In this article, we are going to cover the avl tree and what makes them so special and so difficult to implement. An avl tree is the type of binary search tree (bst) that maintains its balance through rotations. We will also see the balance factor and rotations required to make. I have tried googling it, but what i really need is a step by step guide on.
from www.studocu.com
We will also see the balance factor and rotations required to make. What is avl tree rotation, and how does it work? Rotating the subtrees in an avl tree: An avl tree is the type of binary search tree (bst) that maintains its balance through rotations. Can anybody by looking at the code. In the avl tree, the difference between heights of the right and left subtree doesn't exceed one for all nodes. What is the time complexity of. I am not getting this. The key feature of the avl. I have tried googling it, but what i really need is a step by step guide on.
Introduction to Java Programming Notes 968 Chapter 26 AVL Trees
Tree Rotation Java In the avl tree, the difference between heights of the right and left subtree doesn't exceed one for all nodes. The key feature of the avl. I have tried googling it, but what i really need is a step by step guide on. Rotating the subtrees in an avl tree: What is the time complexity of. An avl tree may rotate in one of the following four ways to keep itself balanced: Can anybody by looking at the code. Say i have the tree below and i want to rotate left or right around node 2. An avl tree is the type of binary search tree (bst) that maintains its balance through rotations. How to insert elements, and how to delete them? What is avl tree rotation, and how does it work? I am trying to rotate my tree in java. I am not getting this. In this article, we are going to cover the avl tree and what makes them so special and so difficult to implement. I want to implement the java avl tree and to rotate the tree left and right. We will also see the balance factor and rotations required to make.
From slideplayer.com
Balanced Search Trees (partial) ppt download Tree Rotation Java I want to implement the java avl tree and to rotate the tree left and right. Say i have the tree below and i want to rotate left or right around node 2. In the avl tree, the difference between heights of the right and left subtree doesn't exceed one for all nodes. How to implement an avl tree in. Tree Rotation Java.
From www.pinterest.com
The four possible rotation cases for the AVL Tree Binary tree, Avl Tree Rotation Java I have tried googling it, but what i really need is a step by step guide on. I am not getting this. How to implement an avl tree in java? I am trying to rotate my tree in java. Say i have the tree below and i want to rotate left or right around node 2. We will also see. Tree Rotation Java.
From stackoverflow.com
java How to update the height of an AVL TREE after a rotation Tree Rotation Java Can anybody by looking at the code. We will also see the balance factor and rotations required to make. I want to implement the java avl tree and to rotate the tree left and right. In the avl tree, the difference between heights of the right and left subtree doesn't exceed one for all nodes. I am trying to rotate. Tree Rotation Java.
From www.studocu.com
Introduction to Java Programming Notes 968 Chapter 26 AVL Trees Tree Rotation Java What is avl tree rotation, and how does it work? I am not getting this. In this article, we are going to cover the avl tree and what makes them so special and so difficult to implement. Say i have the tree below and i want to rotate left or right around node 2. Rotating the subtrees in an avl. Tree Rotation Java.
From www.guru99.com
AVL Trees Rotations, Insertion, Deletion with C++ Example Tree Rotation Java Say i have the tree below and i want to rotate left or right around node 2. I am trying to rotate my tree in java. We will also see the balance factor and rotations required to make. In the avl tree, the difference between heights of the right and left subtree doesn't exceed one for all nodes. Avl tree. Tree Rotation Java.
From www.youtube.com
AVL Tree Explained and Implemented in Java AVL Trees Rotations Self Tree Rotation Java How to insert elements, and how to delete them? Avl tree program in java. I am trying to rotate my tree in java. Say i have the tree below and i want to rotate left or right around node 2. In this article, we are going to cover the avl tree and what makes them so special and so difficult. Tree Rotation Java.
From mycmullin.qc.to
Insertion in an AVL Tree Tree Rotation Java We will also see the balance factor and rotations required to make. An avl tree is the type of binary search tree (bst) that maintains its balance through rotations. I have tried googling it, but what i really need is a step by step guide on. An avl tree may rotate in one of the following four ways to keep. Tree Rotation Java.
From javarevisited.blogspot.com
How to Implement Binary Search Tree in Java? Example Tree Rotation Java The key feature of the avl. What is the time complexity of. How to insert elements, and how to delete them? An avl tree may rotate in one of the following four ways to keep itself balanced: I am not getting this. Rotating the subtrees in an avl tree: I am trying to rotate my tree in java. In this. Tree Rotation Java.
From www.javatpoint.com
Deletion in AVL Tree javatpoint Tree Rotation Java How to implement an avl tree in java? We will also see the balance factor and rotations required to make. Rotating the subtrees in an avl tree: I want to implement the java avl tree and to rotate the tree left and right. I have tried googling it, but what i really need is a step by step guide on.. Tree Rotation Java.
From www.javatpoint.com
RL Rotation in AVL Tree javatpoint Tree Rotation Java An avl tree may rotate in one of the following four ways to keep itself balanced: In this article, we are going to cover the avl tree and what makes them so special and so difficult to implement. How to insert elements, and how to delete them? I want to implement the java avl tree and to rotate the tree. Tree Rotation Java.
From www.javatpoint.com
Insertion in AVL Tree javatpoint Tree Rotation Java I am not getting this. I am trying to rotate my tree in java. We will also see the balance factor and rotations required to make. How to insert elements, and how to delete them? Rotating the subtrees in an avl tree: In the avl tree, the difference between heights of the right and left subtree doesn't exceed one for. Tree Rotation Java.
From www.codingninjas.com
Code Studio Tree Rotation Java What is avl tree rotation, and how does it work? Can anybody by looking at the code. We will also see the balance factor and rotations required to make. I have tried googling it, but what i really need is a step by step guide on. What is the time complexity of. An avl tree is the type of binary. Tree Rotation Java.
From prepinsta.com
Insertion in AVL Tree in Java Data Structure Prepinsta Tree Rotation Java What is the time complexity of. In the avl tree, the difference between heights of the right and left subtree doesn't exceed one for all nodes. I am not getting this. In this article, we are going to cover the avl tree and what makes them so special and so difficult to implement. An avl tree may rotate in one. Tree Rotation Java.
From studylib.net
The AVL Tree Rotations Tutorial Tree Rotation Java We will also see the balance factor and rotations required to make. Avl tree program in java. An avl tree is the type of binary search tree (bst) that maintains its balance through rotations. What is avl tree rotation, and how does it work? How to implement an avl tree in java? I have tried googling it, but what i. Tree Rotation Java.
From kamalmeet.com
Binary Search Tree and AVL Tree Kamal’s Tech Blog Tree Rotation Java In the avl tree, the difference between heights of the right and left subtree doesn't exceed one for all nodes. I want to implement the java avl tree and to rotate the tree left and right. What is avl tree rotation, and how does it work? What is the time complexity of. Avl tree program in java. In this article,. Tree Rotation Java.
From www.javatpoint.com
RL Rotation in AVL Tree javatpoint Tree Rotation Java How to implement an avl tree in java? Avl tree program in java. Can anybody by looking at the code. The key feature of the avl. I have tried googling it, but what i really need is a step by step guide on. Say i have the tree below and i want to rotate left or right around node 2.. Tree Rotation Java.
From www.slideserve.com
PPT Chapter 20 Binary Search Trees PowerPoint Presentation, free Tree Rotation Java I am not getting this. Rotating the subtrees in an avl tree: In the avl tree, the difference between heights of the right and left subtree doesn't exceed one for all nodes. Can anybody by looking at the code. The key feature of the avl. What is avl tree rotation, and how does it work? I have tried googling it,. Tree Rotation Java.
From www.javatpoint.com
ILR Rotation in AVL Tree javatpoint Tree Rotation Java In the avl tree, the difference between heights of the right and left subtree doesn't exceed one for all nodes. The key feature of the avl. Rotating the subtrees in an avl tree: An avl tree is the type of binary search tree (bst) that maintains its balance through rotations. What is the time complexity of. How to insert elements,. Tree Rotation Java.
From slideplayer.com
Chapter 20 Binary Search Trees ppt download Tree Rotation Java How to insert elements, and how to delete them? I am not getting this. Rotating the subtrees in an avl tree: In this article, we are going to cover the avl tree and what makes them so special and so difficult to implement. In the avl tree, the difference between heights of the right and left subtree doesn't exceed one. Tree Rotation Java.
From cs.lmu.edu
binarysearchtrees Tree Rotation Java In this article, we are going to cover the avl tree and what makes them so special and so difficult to implement. An avl tree is the type of binary search tree (bst) that maintains its balance through rotations. How to implement an avl tree in java? I have tried googling it, but what i really need is a step. Tree Rotation Java.
From www.programmersought.com
Introduction of Balanced Binary Tree (AVL) and Code Implementation of Tree Rotation Java What is avl tree rotation, and how does it work? Can anybody by looking at the code. How to insert elements, and how to delete them? How to implement an avl tree in java? I am not getting this. Say i have the tree below and i want to rotate left or right around node 2. An avl tree may. Tree Rotation Java.
From www.codeproject.com
BTree Another Implementation By Java CodeProject Tree Rotation Java The key feature of the avl. I am not getting this. Avl tree program in java. How to insert elements, and how to delete them? An avl tree is the type of binary search tree (bst) that maintains its balance through rotations. Rotating the subtrees in an avl tree: What is the time complexity of. An avl tree may rotate. Tree Rotation Java.
From www.javatpoint.com
LL Rotation in AVL Tree javatpoint Tree Rotation Java Say i have the tree below and i want to rotate left or right around node 2. I am trying to rotate my tree in java. Rotating the subtrees in an avl tree: I have tried googling it, but what i really need is a step by step guide on. What is avl tree rotation, and how does it work?. Tree Rotation Java.
From www.javatpoint.com
Deletion in AVL Tree javatpoint Tree Rotation Java How to implement an avl tree in java? We will also see the balance factor and rotations required to make. How to insert elements, and how to delete them? Avl tree program in java. I am trying to rotate my tree in java. Rotating the subtrees in an avl tree: The key feature of the avl. I am not getting. Tree Rotation Java.
From www.youtube.com
425 Java AVL Tree Balanced BST Cây cân bằng Viết Left, Right Tree Rotation Java In this article, we are going to cover the avl tree and what makes them so special and so difficult to implement. How to insert elements, and how to delete them? In the avl tree, the difference between heights of the right and left subtree doesn't exceed one for all nodes. How to implement an avl tree in java? Can. Tree Rotation Java.
From cs.lmu.edu
redblacktrees Tree Rotation Java I have tried googling it, but what i really need is a step by step guide on. An avl tree may rotate in one of the following four ways to keep itself balanced: How to insert elements, and how to delete them? Avl tree program in java. An avl tree is the type of binary search tree (bst) that maintains. Tree Rotation Java.
From www.youtube.com
LeetCode Merge Two Binary Trees Solution Explained Java YouTube Tree Rotation Java Avl tree program in java. I want to implement the java avl tree and to rotate the tree left and right. Rotating the subtrees in an avl tree: What is avl tree rotation, and how does it work? How to implement an avl tree in java? An avl tree may rotate in one of the following four ways to keep. Tree Rotation Java.
From www.baeldung.com
Guide to AVL Trees in Java Baeldung Tree Rotation Java How to implement an avl tree in java? An avl tree is the type of binary search tree (bst) that maintains its balance through rotations. How to insert elements, and how to delete them? Rotating the subtrees in an avl tree: What is the time complexity of. What is avl tree rotation, and how does it work? I have tried. Tree Rotation Java.
From stackoverflow.com
Rotating a tree in Java Stack Overflow Tree Rotation Java How to insert elements, and how to delete them? Rotating the subtrees in an avl tree: Can anybody by looking at the code. An avl tree is the type of binary search tree (bst) that maintains its balance through rotations. We will also see the balance factor and rotations required to make. The key feature of the avl. How to. Tree Rotation Java.
From pythonread.github.io
AVL Tree Tree Rotation Java Avl tree program in java. The key feature of the avl. In this article, we are going to cover the avl tree and what makes them so special and so difficult to implement. I am not getting this. I have tried googling it, but what i really need is a step by step guide on. Rotating the subtrees in an. Tree Rotation Java.
From www.youtube.com
Tree rotate / Implementation in Java netbeans YouTube Tree Rotation Java An avl tree may rotate in one of the following four ways to keep itself balanced: I have tried googling it, but what i really need is a step by step guide on. The key feature of the avl. What is the time complexity of. I want to implement the java avl tree and to rotate the tree left and. Tree Rotation Java.
From www.javatpoint.com
ILR Rotation in AVL Tree javatpoint Tree Rotation Java An avl tree is the type of binary search tree (bst) that maintains its balance through rotations. How to insert elements, and how to delete them? What is the time complexity of. In this article, we are going to cover the avl tree and what makes them so special and so difficult to implement. I want to implement the java. Tree Rotation Java.
From www.slideserve.com
PPT Binary Search Trees PowerPoint Presentation, free download ID Tree Rotation Java Say i have the tree below and i want to rotate left or right around node 2. An avl tree may rotate in one of the following four ways to keep itself balanced: I am not getting this. I am trying to rotate my tree in java. An avl tree is the type of binary search tree (bst) that maintains. Tree Rotation Java.
From iq.opengenus.org
AVL Tree A tree that can stay balanced by rotating Tree Rotation Java I am trying to rotate my tree in java. I have tried googling it, but what i really need is a step by step guide on. What is avl tree rotation, and how does it work? I am not getting this. The key feature of the avl. How to insert elements, and how to delete them? Say i have the. Tree Rotation Java.
From javachallengers.com
Tree Data Structure with Java Java Challengers Tree Rotation Java I want to implement the java avl tree and to rotate the tree left and right. The key feature of the avl. In the avl tree, the difference between heights of the right and left subtree doesn't exceed one for all nodes. Say i have the tree below and i want to rotate left or right around node 2. I. Tree Rotation Java.