What's The Scoop Application . This way, packages are always. Scoop installs programs from the command line with a minimal amount of. Scoop installs programs to your home directory by. It installs programs from the command line with a. Get more from those little moments in between, when you unlock your phone. Unlock the power of thescoop today! A curated list of scoop resources, and more. Thescoop app delivers top news, trending topics, local weather, sports, and more right to your phone, exclusively for cricket customers. For graphical applications, scoop creates program shortcuts in a dedicated start menu folder, called 'scoop apps'.
from therisasevents.com
It installs programs from the command line with a. Unlock the power of thescoop today! A curated list of scoop resources, and more. For graphical applications, scoop creates program shortcuts in a dedicated start menu folder, called 'scoop apps'. Scoop installs programs to your home directory by. Get more from those little moments in between, when you unlock your phone. Thescoop app delivers top news, trending topics, local weather, sports, and more right to your phone, exclusively for cricket customers. Scoop installs programs from the command line with a minimal amount of. This way, packages are always.
What’s The Scoop Therisa's Events
What's The Scoop Application Unlock the power of thescoop today! Scoop installs programs from the command line with a minimal amount of. Get more from those little moments in between, when you unlock your phone. Scoop installs programs to your home directory by. This way, packages are always. It installs programs from the command line with a. Thescoop app delivers top news, trending topics, local weather, sports, and more right to your phone, exclusively for cricket customers. For graphical applications, scoop creates program shortcuts in a dedicated start menu folder, called 'scoop apps'. A curated list of scoop resources, and more. Unlock the power of thescoop today!
From www.etsy.com
What's the Scoop Svg File for Cricut Gender Reveal Svg Etsy Canada What's The Scoop Application Scoop installs programs from the command line with a minimal amount of. Thescoop app delivers top news, trending topics, local weather, sports, and more right to your phone, exclusively for cricket customers. Get more from those little moments in between, when you unlock your phone. Unlock the power of thescoop today! A curated list of scoop resources, and more. For. What's The Scoop Application.
From insight-analytical.com
What's The Scoop Insight Analytical Solutions What's The Scoop Application Get more from those little moments in between, when you unlock your phone. For graphical applications, scoop creates program shortcuts in a dedicated start menu folder, called 'scoop apps'. Unlock the power of thescoop today! Scoop installs programs from the command line with a minimal amount of. A curated list of scoop resources, and more. Thescoop app delivers top news,. What's The Scoop Application.
From www.whatsthescoop.net
Products Whats The Scoop What's The Scoop Application Unlock the power of thescoop today! This way, packages are always. Scoop installs programs from the command line with a minimal amount of. It installs programs from the command line with a. Get more from those little moments in between, when you unlock your phone. Thescoop app delivers top news, trending topics, local weather, sports, and more right to your. What's The Scoop Application.
From designbundles.net
What's the Scoop, Ice Cream Gender Reveal SVG (1017023) Cut Files What's The Scoop Application Thescoop app delivers top news, trending topics, local weather, sports, and more right to your phone, exclusively for cricket customers. Scoop installs programs from the command line with a minimal amount of. This way, packages are always. For graphical applications, scoop creates program shortcuts in a dedicated start menu folder, called 'scoop apps'. Get more from those little moments in. What's The Scoop Application.
From thisreadingmama.com
What's the SCOOP? Retelling Chart What's The Scoop Application For graphical applications, scoop creates program shortcuts in a dedicated start menu folder, called 'scoop apps'. A curated list of scoop resources, and more. Get more from those little moments in between, when you unlock your phone. Scoop installs programs from the command line with a minimal amount of. Unlock the power of thescoop today! It installs programs from the. What's The Scoop Application.
From play.google.com
What The Scoop Apps on Google Play What's The Scoop Application For graphical applications, scoop creates program shortcuts in a dedicated start menu folder, called 'scoop apps'. It installs programs from the command line with a. Scoop installs programs from the command line with a minimal amount of. Get more from those little moments in between, when you unlock your phone. Scoop installs programs to your home directory by. Unlock the. What's The Scoop Application.
From github.com
GitHub coshx/scoopexample A simple application using Scoop. What's The Scoop Application Thescoop app delivers top news, trending topics, local weather, sports, and more right to your phone, exclusively for cricket customers. Scoop installs programs to your home directory by. Get more from those little moments in between, when you unlock your phone. It installs programs from the command line with a. Scoop installs programs from the command line with a minimal. What's The Scoop Application.
From www.adacil.org
What's the Scoop! Alliance Center for Independence What's The Scoop Application Thescoop app delivers top news, trending topics, local weather, sports, and more right to your phone, exclusively for cricket customers. Unlock the power of thescoop today! It installs programs from the command line with a. Scoop installs programs to your home directory by. This way, packages are always. Scoop installs programs from the command line with a minimal amount of.. What's The Scoop Application.
From whatsthescoop.ca
What's The Scoop? What's The Scoop Application Thescoop app delivers top news, trending topics, local weather, sports, and more right to your phone, exclusively for cricket customers. This way, packages are always. Scoop installs programs from the command line with a minimal amount of. A curated list of scoop resources, and more. For graphical applications, scoop creates program shortcuts in a dedicated start menu folder, called 'scoop. What's The Scoop Application.
From www.tla-o-qui-aht.org
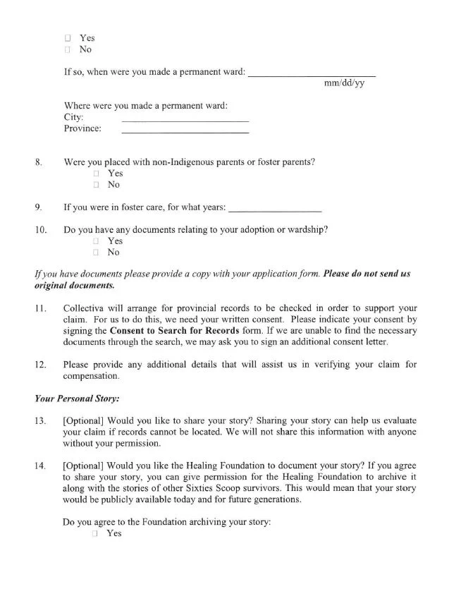
60's scoop Application forms — Tlaoquiaht First Nation What's The Scoop Application Get more from those little moments in between, when you unlock your phone. Thescoop app delivers top news, trending topics, local weather, sports, and more right to your phone, exclusively for cricket customers. Unlock the power of thescoop today! Scoop installs programs from the command line with a minimal amount of. A curated list of scoop resources, and more. This. What's The Scoop Application.
From igetintopc.org
How to install the Scoop package manager in Windows 10 Get Into PC What's The Scoop Application Scoop installs programs to your home directory by. This way, packages are always. Scoop installs programs from the command line with a minimal amount of. Unlock the power of thescoop today! A curated list of scoop resources, and more. Thescoop app delivers top news, trending topics, local weather, sports, and more right to your phone, exclusively for cricket customers. For. What's The Scoop Application.
From medium.com
The Inside Scoop Application Submission ATCEMS Medics What's The Scoop Application This way, packages are always. A curated list of scoop resources, and more. Scoop installs programs from the command line with a minimal amount of. Unlock the power of thescoop today! Get more from those little moments in between, when you unlock your phone. It installs programs from the command line with a. Scoop installs programs to your home directory. What's The Scoop Application.
From thisreadingmama.com
What's the SCOOP? Retelling Chart What's The Scoop Application A curated list of scoop resources, and more. For graphical applications, scoop creates program shortcuts in a dedicated start menu folder, called 'scoop apps'. Scoop installs programs from the command line with a minimal amount of. Unlock the power of thescoop today! Thescoop app delivers top news, trending topics, local weather, sports, and more right to your phone, exclusively for. What's The Scoop Application.
From examiner-enterprise.gannettcontests.com
What's The Scoop? Student Edition What's The Scoop Application This way, packages are always. Thescoop app delivers top news, trending topics, local weather, sports, and more right to your phone, exclusively for cricket customers. It installs programs from the command line with a. Unlock the power of thescoop today! Scoop installs programs from the command line with a minimal amount of. Scoop installs programs to your home directory by.. What's The Scoop Application.
From www.tla-o-qui-aht.org
60's scoop Application forms — Tlaoquiaht First Nation What's The Scoop Application Thescoop app delivers top news, trending topics, local weather, sports, and more right to your phone, exclusively for cricket customers. Unlock the power of thescoop today! Get more from those little moments in between, when you unlock your phone. It installs programs from the command line with a. This way, packages are always. For graphical applications, scoop creates program shortcuts. What's The Scoop Application.
From medium.com
The Inside Scoop Application Review by Ashley Avants ATCEMS Medics What's The Scoop Application Unlock the power of thescoop today! It installs programs from the command line with a. Scoop installs programs to your home directory by. A curated list of scoop resources, and more. Get more from those little moments in between, when you unlock your phone. Scoop installs programs from the command line with a minimal amount of. For graphical applications, scoop. What's The Scoop Application.
From blog.scoop.it
Content curation Download the Scoop.it mobile application Scoop.it Blog What's The Scoop Application Get more from those little moments in between, when you unlock your phone. Scoop installs programs to your home directory by. It installs programs from the command line with a. A curated list of scoop resources, and more. Scoop installs programs from the command line with a minimal amount of. Thescoop app delivers top news, trending topics, local weather, sports,. What's The Scoop Application.
From weddingsupplierssa.com.au
Whats The Scoop Wedding Suppliers SA What's The Scoop Application Scoop installs programs to your home directory by. For graphical applications, scoop creates program shortcuts in a dedicated start menu folder, called 'scoop apps'. This way, packages are always. Thescoop app delivers top news, trending topics, local weather, sports, and more right to your phone, exclusively for cricket customers. Get more from those little moments in between, when you unlock. What's The Scoop Application.
From kadoodlebugdesigns.com
What's The Scoop Title SVG CUT FILE PAPERPIECING SCRAPBOOKING DIGITAL What's The Scoop Application Get more from those little moments in between, when you unlock your phone. For graphical applications, scoop creates program shortcuts in a dedicated start menu folder, called 'scoop apps'. This way, packages are always. A curated list of scoop resources, and more. Scoop installs programs to your home directory by. Thescoop app delivers top news, trending topics, local weather, sports,. What's The Scoop Application.
From www.tla-o-qui-aht.org
60's scoop Application forms — Tlaoquiaht First Nation What's The Scoop Application It installs programs from the command line with a. This way, packages are always. For graphical applications, scoop creates program shortcuts in a dedicated start menu folder, called 'scoop apps'. Scoop installs programs to your home directory by. Thescoop app delivers top news, trending topics, local weather, sports, and more right to your phone, exclusively for cricket customers. Unlock the. What's The Scoop Application.
From www.pinterest.com
What's the SCOOP? Retelling Chart Teaching narrative writing, Reading What's The Scoop Application This way, packages are always. A curated list of scoop resources, and more. Thescoop app delivers top news, trending topics, local weather, sports, and more right to your phone, exclusively for cricket customers. For graphical applications, scoop creates program shortcuts in a dedicated start menu folder, called 'scoop apps'. Scoop installs programs from the command line with a minimal amount. What's The Scoop Application.
From adamtheautomator.com
How to Install and Use the Scoop Windows Package Manager What's The Scoop Application Scoop installs programs from the command line with a minimal amount of. Scoop installs programs to your home directory by. This way, packages are always. It installs programs from the command line with a. Get more from those little moments in between, when you unlock your phone. Unlock the power of thescoop today! For graphical applications, scoop creates program shortcuts. What's The Scoop Application.
From www.youtube.com
Trauma Scoop Application YouTube What's The Scoop Application Scoop installs programs to your home directory by. A curated list of scoop resources, and more. This way, packages are always. Thescoop app delivers top news, trending topics, local weather, sports, and more right to your phone, exclusively for cricket customers. For graphical applications, scoop creates program shortcuts in a dedicated start menu folder, called 'scoop apps'. Scoop installs programs. What's The Scoop Application.
From github.com
GitHub coshx/scooplayoutexample A body/footer Android application What's The Scoop Application A curated list of scoop resources, and more. This way, packages are always. Unlock the power of thescoop today! For graphical applications, scoop creates program shortcuts in a dedicated start menu folder, called 'scoop apps'. Thescoop app delivers top news, trending topics, local weather, sports, and more right to your phone, exclusively for cricket customers. Scoop installs programs from the. What's The Scoop Application.
From www.tinytap.com
What's the Scoop? Free Games online for kids in PreK by Ellen er What's The Scoop Application It installs programs from the command line with a. Unlock the power of thescoop today! Thescoop app delivers top news, trending topics, local weather, sports, and more right to your phone, exclusively for cricket customers. A curated list of scoop resources, and more. Scoop installs programs from the command line with a minimal amount of. Scoop installs programs to your. What's The Scoop Application.
From www.etsy.com
Editable Whats the Scoop Gender Reveal Invitation Digital Download Ice What's The Scoop Application A curated list of scoop resources, and more. Thescoop app delivers top news, trending topics, local weather, sports, and more right to your phone, exclusively for cricket customers. It installs programs from the command line with a. For graphical applications, scoop creates program shortcuts in a dedicated start menu folder, called 'scoop apps'. Get more from those little moments in. What's The Scoop Application.
From speakerdeck.com
Confab 2019 What’s the “Scoop”? Speaker Deck What's The Scoop Application This way, packages are always. Get more from those little moments in between, when you unlock your phone. Scoop installs programs from the command line with a minimal amount of. For graphical applications, scoop creates program shortcuts in a dedicated start menu folder, called 'scoop apps'. It installs programs from the command line with a. Scoop installs programs to your. What's The Scoop Application.
From www.etsy.com
What's the Scoop Banner Design Whats the Scoop Baby Etsy What's The Scoop Application Scoop installs programs from the command line with a minimal amount of. Thescoop app delivers top news, trending topics, local weather, sports, and more right to your phone, exclusively for cricket customers. Scoop installs programs to your home directory by. For graphical applications, scoop creates program shortcuts in a dedicated start menu folder, called 'scoop apps'. Unlock the power of. What's The Scoop Application.
From www.tla-o-qui-aht.org
60's scoop Application forms — Tlaoquiaht First Nation What's The Scoop Application Thescoop app delivers top news, trending topics, local weather, sports, and more right to your phone, exclusively for cricket customers. Scoop installs programs to your home directory by. Unlock the power of thescoop today! A curated list of scoop resources, and more. For graphical applications, scoop creates program shortcuts in a dedicated start menu folder, called 'scoop apps'. This way,. What's The Scoop Application.
From therisasevents.com
What’s The Scoop Therisa's Events What's The Scoop Application This way, packages are always. Thescoop app delivers top news, trending topics, local weather, sports, and more right to your phone, exclusively for cricket customers. Scoop installs programs from the command line with a minimal amount of. Get more from those little moments in between, when you unlock your phone. Unlock the power of thescoop today! A curated list of. What's The Scoop Application.
From www.tla-o-qui-aht.org
60's scoop Application forms — Tlaoquiaht First Nation What's The Scoop Application A curated list of scoop resources, and more. Thescoop app delivers top news, trending topics, local weather, sports, and more right to your phone, exclusively for cricket customers. Scoop installs programs from the command line with a minimal amount of. This way, packages are always. Scoop installs programs to your home directory by. Unlock the power of thescoop today! It. What's The Scoop Application.
From corporalpunishmentinschoolsblog.wordpress.com
What’s the Scoop on MyScoop mobile app Build An Online Business What's The Scoop Application A curated list of scoop resources, and more. Scoop installs programs to your home directory by. Thescoop app delivers top news, trending topics, local weather, sports, and more right to your phone, exclusively for cricket customers. It installs programs from the command line with a. This way, packages are always. For graphical applications, scoop creates program shortcuts in a dedicated. What's The Scoop Application.
From apps.apple.com
What The Scoop. on the App Store What's The Scoop Application This way, packages are always. It installs programs from the command line with a. Unlock the power of thescoop today! Scoop installs programs to your home directory by. Scoop installs programs from the command line with a minimal amount of. Get more from those little moments in between, when you unlock your phone. Thescoop app delivers top news, trending topics,. What's The Scoop Application.
From www.whatsthescoopgoshenny.com
Home What's The Scoop What's The Scoop Application Scoop installs programs to your home directory by. A curated list of scoop resources, and more. It installs programs from the command line with a. Scoop installs programs from the command line with a minimal amount of. For graphical applications, scoop creates program shortcuts in a dedicated start menu folder, called 'scoop apps'. Unlock the power of thescoop today! Thescoop. What's The Scoop Application.
From www.whatsthescoop.biz
About Whats the Scoop What's The Scoop Application Scoop installs programs from the command line with a minimal amount of. It installs programs from the command line with a. Unlock the power of thescoop today! This way, packages are always. Thescoop app delivers top news, trending topics, local weather, sports, and more right to your phone, exclusively for cricket customers. Get more from those little moments in between,. What's The Scoop Application.