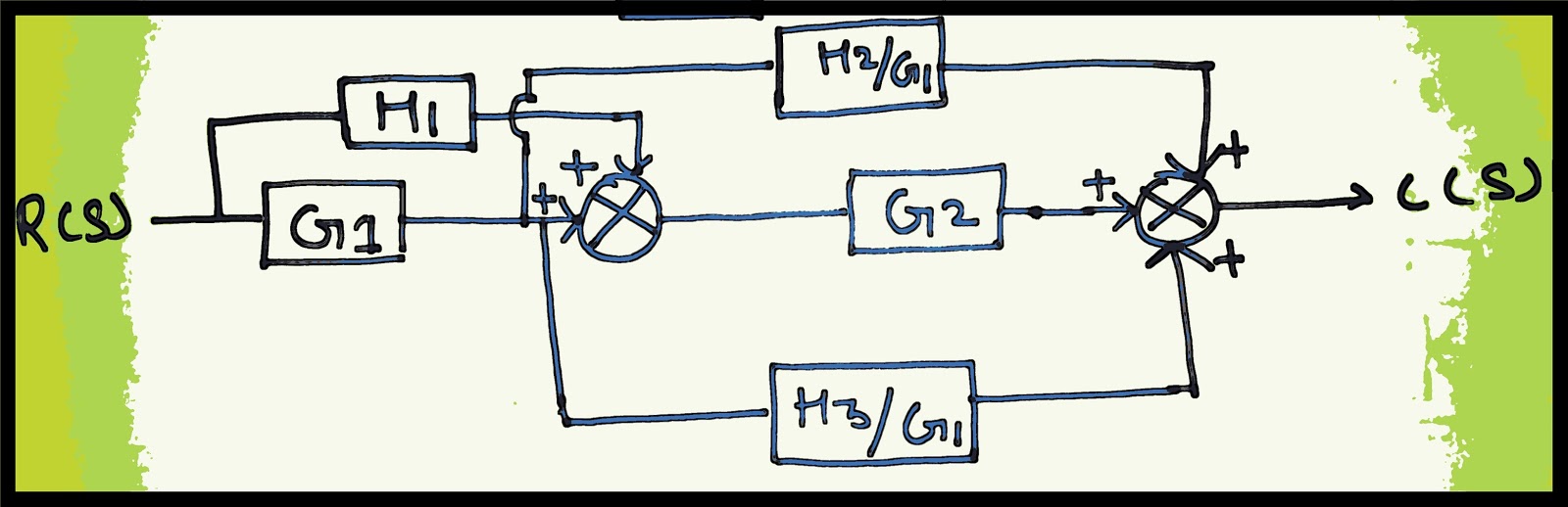
What Is Summing Point In Control System . Learn the meaning and usage of various symbols in control system block diagrams, such as blocks, arrows, summing points, junction points, and feedback loops. It provides 10 rules for combining blocks in a control system diagram to simplify the overall transfer. This document discusses block diagram reduction techniques. See examples of how to. Find out how to reduce blocks in. The summing points add or subtract signals. Learn how to simplify a complex block diagram of a control system using various rules and examples. This is the process of simplifying complex control system diagrams by combining individual.
from www.circuitbread.com
This document discusses block diagram reduction techniques. Find out how to reduce blocks in. The summing points add or subtract signals. Learn how to simplify a complex block diagram of a control system using various rules and examples. Learn the meaning and usage of various symbols in control system block diagrams, such as blocks, arrows, summing points, junction points, and feedback loops. It provides 10 rules for combining blocks in a control system diagram to simplify the overall transfer. This is the process of simplifying complex control system diagrams by combining individual. See examples of how to.
Block Diagrams of Control Systems 1.4 CircuitBread
What Is Summing Point In Control System Find out how to reduce blocks in. Learn how to simplify a complex block diagram of a control system using various rules and examples. The summing points add or subtract signals. This document discusses block diagram reduction techniques. Learn the meaning and usage of various symbols in control system block diagrams, such as blocks, arrows, summing points, junction points, and feedback loops. Find out how to reduce blocks in. It provides 10 rules for combining blocks in a control system diagram to simplify the overall transfer. This is the process of simplifying complex control system diagrams by combining individual. See examples of how to.
From www.youtube.com
Block diagram Reduction 6 Shifting summing point after blockControl What Is Summing Point In Control System See examples of how to. Find out how to reduce blocks in. This document discusses block diagram reduction techniques. The summing points add or subtract signals. This is the process of simplifying complex control system diagrams by combining individual. Learn the meaning and usage of various symbols in control system block diagrams, such as blocks, arrows, summing points, junction points,. What Is Summing Point In Control System.
From www.youtube.com
2.What is Transfer Function, Summing & Take off Point, Forword Path What Is Summing Point In Control System This is the process of simplifying complex control system diagrams by combining individual. This document discusses block diagram reduction techniques. The summing points add or subtract signals. Learn how to simplify a complex block diagram of a control system using various rules and examples. Find out how to reduce blocks in. It provides 10 rules for combining blocks in a. What Is Summing Point In Control System.
From www.youtube.com
Block diagram reduction problems in Control System Engineering What Is Summing Point In Control System The summing points add or subtract signals. Learn the meaning and usage of various symbols in control system block diagrams, such as blocks, arrows, summing points, junction points, and feedback loops. It provides 10 rules for combining blocks in a control system diagram to simplify the overall transfer. Find out how to reduce blocks in. This document discusses block diagram. What Is Summing Point In Control System.
From slideplayer.com
Introduction to Control Systems ppt download What Is Summing Point In Control System Learn the meaning and usage of various symbols in control system block diagrams, such as blocks, arrows, summing points, junction points, and feedback loops. It provides 10 rules for combining blocks in a control system diagram to simplify the overall transfer. This document discusses block diagram reduction techniques. Learn how to simplify a complex block diagram of a control system. What Is Summing Point In Control System.
From circuitdiagrambligh.z22.web.core.windows.net
Control System Block Diagram Examples What Is Summing Point In Control System Find out how to reduce blocks in. See examples of how to. This document discusses block diagram reduction techniques. This is the process of simplifying complex control system diagrams by combining individual. Learn the meaning and usage of various symbols in control system block diagrams, such as blocks, arrows, summing points, junction points, and feedback loops. Learn how to simplify. What Is Summing Point In Control System.
From www.engineeringa2z.com
Block Diagram Reduction Control System Engineeringa2z What Is Summing Point In Control System This is the process of simplifying complex control system diagrams by combining individual. Learn how to simplify a complex block diagram of a control system using various rules and examples. It provides 10 rules for combining blocks in a control system diagram to simplify the overall transfer. See examples of how to. The summing points add or subtract signals. Find. What Is Summing Point In Control System.
From www.slideserve.com
PPT Block Diagram Reduction PowerPoint Presentation, free download What Is Summing Point In Control System This document discusses block diagram reduction techniques. Find out how to reduce blocks in. It provides 10 rules for combining blocks in a control system diagram to simplify the overall transfer. This is the process of simplifying complex control system diagrams by combining individual. Learn the meaning and usage of various symbols in control system block diagrams, such as blocks,. What Is Summing Point In Control System.
From electronics.stackexchange.com
control system How do you split a summing point into two What Is Summing Point In Control System This document discusses block diagram reduction techniques. Find out how to reduce blocks in. Learn the meaning and usage of various symbols in control system block diagrams, such as blocks, arrows, summing points, junction points, and feedback loops. This is the process of simplifying complex control system diagrams by combining individual. The summing points add or subtract signals. It provides. What Is Summing Point In Control System.
From www.circuitbread.com
Block Diagrams of Control Systems 1.4 CircuitBread What Is Summing Point In Control System This is the process of simplifying complex control system diagrams by combining individual. See examples of how to. Find out how to reduce blocks in. Learn the meaning and usage of various symbols in control system block diagrams, such as blocks, arrows, summing points, junction points, and feedback loops. Learn how to simplify a complex block diagram of a control. What Is Summing Point In Control System.
From www.circuitbread.com
Block Diagrams of Control Systems 1.4 CircuitBread What Is Summing Point In Control System It provides 10 rules for combining blocks in a control system diagram to simplify the overall transfer. Learn how to simplify a complex block diagram of a control system using various rules and examples. This is the process of simplifying complex control system diagrams by combining individual. Find out how to reduce blocks in. See examples of how to. Learn. What Is Summing Point In Control System.
From www.youtube.com
Control System Shifting Summing Point Block Diagram I GATE/ESE Ankur What Is Summing Point In Control System This document discusses block diagram reduction techniques. This is the process of simplifying complex control system diagrams by combining individual. It provides 10 rules for combining blocks in a control system diagram to simplify the overall transfer. See examples of how to. The summing points add or subtract signals. Learn the meaning and usage of various symbols in control system. What Is Summing Point In Control System.
From www.circuitbread.com
Block Diagrams of Control Systems 1.4 CircuitBread What Is Summing Point In Control System Learn the meaning and usage of various symbols in control system block diagrams, such as blocks, arrows, summing points, junction points, and feedback loops. It provides 10 rules for combining blocks in a control system diagram to simplify the overall transfer. The summing points add or subtract signals. See examples of how to. Learn how to simplify a complex block. What Is Summing Point In Control System.
From www.chegg.com
Solved 1. What is the summing point constraint? The summing What Is Summing Point In Control System Learn how to simplify a complex block diagram of a control system using various rules and examples. Find out how to reduce blocks in. See examples of how to. Learn the meaning and usage of various symbols in control system block diagrams, such as blocks, arrows, summing points, junction points, and feedback loops. This document discusses block diagram reduction techniques.. What Is Summing Point In Control System.
From www.youtube.com
Block diagram Reduction 7 Shifting summing point after blockControl What Is Summing Point In Control System Learn how to simplify a complex block diagram of a control system using various rules and examples. This document discusses block diagram reduction techniques. The summing points add or subtract signals. Find out how to reduce blocks in. It provides 10 rules for combining blocks in a control system diagram to simplify the overall transfer. This is the process of. What Is Summing Point In Control System.
From slidetodoc.com
Control Systems CS Lecture8 9 Block Diagram Representation What Is Summing Point In Control System This is the process of simplifying complex control system diagrams by combining individual. It provides 10 rules for combining blocks in a control system diagram to simplify the overall transfer. Find out how to reduce blocks in. See examples of how to. The summing points add or subtract signals. Learn how to simplify a complex block diagram of a control. What Is Summing Point In Control System.
From www.circuitbread.com
Block Diagrams of Control Systems 1.4 CircuitBread What Is Summing Point In Control System This is the process of simplifying complex control system diagrams by combining individual. Find out how to reduce blocks in. It provides 10 rules for combining blocks in a control system diagram to simplify the overall transfer. See examples of how to. Learn the meaning and usage of various symbols in control system block diagrams, such as blocks, arrows, summing. What Is Summing Point In Control System.
From slideplayer.com
Introduction to Control Systems ppt download What Is Summing Point In Control System Find out how to reduce blocks in. See examples of how to. Learn the meaning and usage of various symbols in control system block diagrams, such as blocks, arrows, summing points, junction points, and feedback loops. This document discusses block diagram reduction techniques. Learn how to simplify a complex block diagram of a control system using various rules and examples.. What Is Summing Point In Control System.
From www.geeksforgeeks.org
Block Diagram Reduction Method. Rules and Solved Problems What Is Summing Point In Control System See examples of how to. It provides 10 rules for combining blocks in a control system diagram to simplify the overall transfer. Learn how to simplify a complex block diagram of a control system using various rules and examples. Find out how to reduce blocks in. This document discusses block diagram reduction techniques. Learn the meaning and usage of various. What Is Summing Point In Control System.
From controlsystemera.blogspot.com
CONTROL SYSTEM ENGINEERING Illustration of the Block Diagram Reduction What Is Summing Point In Control System Learn how to simplify a complex block diagram of a control system using various rules and examples. This is the process of simplifying complex control system diagrams by combining individual. The summing points add or subtract signals. It provides 10 rules for combining blocks in a control system diagram to simplify the overall transfer. Find out how to reduce blocks. What Is Summing Point In Control System.
From www.circuitbread.com
Block Diagrams of Control Systems 1.4 CircuitBread What Is Summing Point In Control System This document discusses block diagram reduction techniques. It provides 10 rules for combining blocks in a control system diagram to simplify the overall transfer. Find out how to reduce blocks in. The summing points add or subtract signals. Learn the meaning and usage of various symbols in control system block diagrams, such as blocks, arrows, summing points, junction points, and. What Is Summing Point In Control System.
From www.geeksforgeeks.org
Block Diagram Reduction Method. Rules and Solved Problems What Is Summing Point In Control System The summing points add or subtract signals. Learn how to simplify a complex block diagram of a control system using various rules and examples. It provides 10 rules for combining blocks in a control system diagram to simplify the overall transfer. Learn the meaning and usage of various symbols in control system block diagrams, such as blocks, arrows, summing points,. What Is Summing Point In Control System.
From www.circuitbread.com
Block Diagrams of Control Systems 1.4 CircuitBread What Is Summing Point In Control System Learn how to simplify a complex block diagram of a control system using various rules and examples. See examples of how to. This is the process of simplifying complex control system diagrams by combining individual. Find out how to reduce blocks in. Learn the meaning and usage of various symbols in control system block diagrams, such as blocks, arrows, summing. What Is Summing Point In Control System.
From electronics.stackexchange.com
control system How do you split a summing point into two What Is Summing Point In Control System Find out how to reduce blocks in. This document discusses block diagram reduction techniques. See examples of how to. The summing points add or subtract signals. This is the process of simplifying complex control system diagrams by combining individual. Learn the meaning and usage of various symbols in control system block diagrams, such as blocks, arrows, summing points, junction points,. What Is Summing Point In Control System.
From www.circuitbread.com
Block Diagrams of Control Systems 1.4 CircuitBread What Is Summing Point In Control System Learn the meaning and usage of various symbols in control system block diagrams, such as blocks, arrows, summing points, junction points, and feedback loops. It provides 10 rules for combining blocks in a control system diagram to simplify the overall transfer. This document discusses block diagram reduction techniques. Find out how to reduce blocks in. The summing points add or. What Is Summing Point In Control System.
From slideplayer.com
Introduction to Control Systems ppt download What Is Summing Point In Control System Learn the meaning and usage of various symbols in control system block diagrams, such as blocks, arrows, summing points, junction points, and feedback loops. Find out how to reduce blocks in. This document discusses block diagram reduction techniques. Learn how to simplify a complex block diagram of a control system using various rules and examples. See examples of how to.. What Is Summing Point In Control System.
From www.botorzo.co.in
Block Diagram And Block Reduction Introduction Botorzo What Is Summing Point In Control System The summing points add or subtract signals. Learn the meaning and usage of various symbols in control system block diagrams, such as blocks, arrows, summing points, junction points, and feedback loops. Learn how to simplify a complex block diagram of a control system using various rules and examples. Find out how to reduce blocks in. It provides 10 rules for. What Is Summing Point In Control System.
From controlsystemera.blogspot.com
CONTROL SYSTEM ENGINEERING Illustration of the Block Diagram Reduction What Is Summing Point In Control System Find out how to reduce blocks in. This document discusses block diagram reduction techniques. This is the process of simplifying complex control system diagrams by combining individual. It provides 10 rules for combining blocks in a control system diagram to simplify the overall transfer. Learn how to simplify a complex block diagram of a control system using various rules and. What Is Summing Point In Control System.
From slideplayer.com
Introduction to Control Systems ppt download What Is Summing Point In Control System This is the process of simplifying complex control system diagrams by combining individual. This document discusses block diagram reduction techniques. Learn the meaning and usage of various symbols in control system block diagrams, such as blocks, arrows, summing points, junction points, and feedback loops. See examples of how to. The summing points add or subtract signals. Find out how to. What Is Summing Point In Control System.
From www.youtube.com
Shifting Take off Point After Summing Point & Vice Versa Block What Is Summing Point In Control System Find out how to reduce blocks in. This is the process of simplifying complex control system diagrams by combining individual. It provides 10 rules for combining blocks in a control system diagram to simplify the overall transfer. See examples of how to. Learn the meaning and usage of various symbols in control system block diagrams, such as blocks, arrows, summing. What Is Summing Point In Control System.
From slidetodoc.com
CHAPTER 1 Introduction to Control System 1 Chapter What Is Summing Point In Control System This document discusses block diagram reduction techniques. The summing points add or subtract signals. Learn the meaning and usage of various symbols in control system block diagrams, such as blocks, arrows, summing points, junction points, and feedback loops. Find out how to reduce blocks in. It provides 10 rules for combining blocks in a control system diagram to simplify the. What Is Summing Point In Control System.
From www.circuitbread.com
Block Diagrams of Control Systems 1.4 CircuitBread What Is Summing Point In Control System This document discusses block diagram reduction techniques. Learn the meaning and usage of various symbols in control system block diagrams, such as blocks, arrows, summing points, junction points, and feedback loops. See examples of how to. The summing points add or subtract signals. Find out how to reduce blocks in. This is the process of simplifying complex control system diagrams. What Is Summing Point In Control System.
From www.youtube.com
Block Diagram Reduction Tech Rule 5 Move the Summing Point after the What Is Summing Point In Control System The summing points add or subtract signals. Learn the meaning and usage of various symbols in control system block diagrams, such as blocks, arrows, summing points, junction points, and feedback loops. It provides 10 rules for combining blocks in a control system diagram to simplify the overall transfer. This document discusses block diagram reduction techniques. See examples of how to.. What Is Summing Point In Control System.
From www.youtube.com
Shifting Take Off Point and Summing Point for Block Diagram Reduction What Is Summing Point In Control System Find out how to reduce blocks in. This document discusses block diagram reduction techniques. It provides 10 rules for combining blocks in a control system diagram to simplify the overall transfer. Learn the meaning and usage of various symbols in control system block diagrams, such as blocks, arrows, summing points, junction points, and feedback loops. Learn how to simplify a. What Is Summing Point In Control System.
From www.geeksforgeeks.org
Block Diagram Reduction Method. Rules and Solved Problems What Is Summing Point In Control System This document discusses block diagram reduction techniques. The summing points add or subtract signals. This is the process of simplifying complex control system diagrams by combining individual. It provides 10 rules for combining blocks in a control system diagram to simplify the overall transfer. Find out how to reduce blocks in. Learn the meaning and usage of various symbols in. What Is Summing Point In Control System.
From www.youtube.com
Block Diagrams in Control Systems Control Systems 1.4 CircuitBread What Is Summing Point In Control System It provides 10 rules for combining blocks in a control system diagram to simplify the overall transfer. See examples of how to. This is the process of simplifying complex control system diagrams by combining individual. Find out how to reduce blocks in. This document discusses block diagram reduction techniques. The summing points add or subtract signals. Learn how to simplify. What Is Summing Point In Control System.