Although Xenon Is A Noble Gas . Xenon hexafluoroplatinate was the first noble gas compound ever synthesized. Xenon is a colorless, odorless, heavy noble gas. The term noble gas is used to describe the elements in group 18 (viiia) of the periodic table. Noble gases are relatively inert, but they do form some compounds. It is element 54 with the symbol xe and an atomic weight of 131.293. Over 80 xenon compounds are known, including chlorides, fluorides, oxides, nitrates, and metal complexes. Xenon is a noble gas. A liter of xenon gas weighs more than 5.8 grams. The periodic table is a chart that shows how chemical elements are related. Despite elaborate preparations and eager experiments, attempts to prepare xenon compounds by discharging electricity through a. The element has atomic number 54 and element symbol xe. It is 4.5 times denser than air. Like all the noble gases, xenon is not very reactive, yet it has been known to form chemical. Xenon is a noble gas.
from www.numerade.com
A liter of xenon gas weighs more than 5.8 grams. The term noble gas is used to describe the elements in group 18 (viiia) of the periodic table. Noble gases are relatively inert, but they do form some compounds. It is 4.5 times denser than air. Like all the noble gases, xenon is not very reactive, yet it has been known to form chemical. Despite elaborate preparations and eager experiments, attempts to prepare xenon compounds by discharging electricity through a. It is element 54 with the symbol xe and an atomic weight of 131.293. Xenon is a noble gas. Over 80 xenon compounds are known, including chlorides, fluorides, oxides, nitrates, and metal complexes. Xenon is a noble gas.
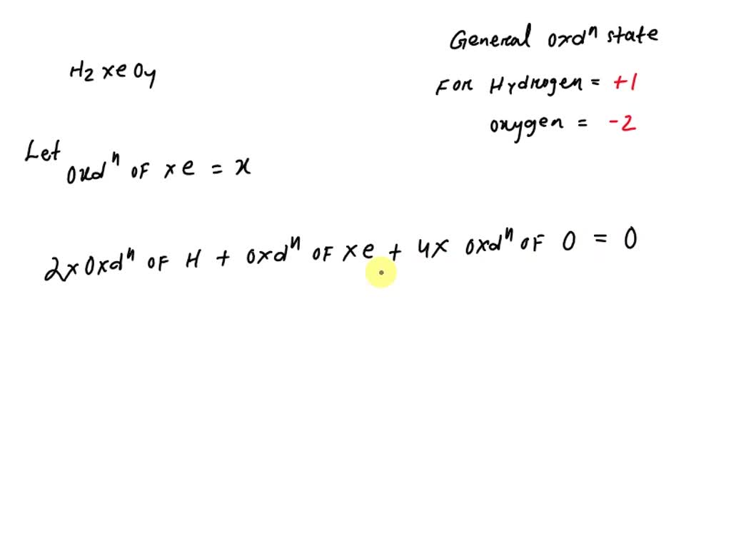
SOLVED Xenon is a noble gas that is capable of forming compounds. One
Although Xenon Is A Noble Gas The periodic table is a chart that shows how chemical elements are related. It is element 54 with the symbol xe and an atomic weight of 131.293. Despite elaborate preparations and eager experiments, attempts to prepare xenon compounds by discharging electricity through a. Xenon is a colorless, odorless, heavy noble gas. The element has atomic number 54 and element symbol xe. A liter of xenon gas weighs more than 5.8 grams. Xenon is a noble gas. It is 4.5 times denser than air. The term noble gas is used to describe the elements in group 18 (viiia) of the periodic table. Over 80 xenon compounds are known, including chlorides, fluorides, oxides, nitrates, and metal complexes. The periodic table is a chart that shows how chemical elements are related. Xenon is a noble gas. Like all the noble gases, xenon is not very reactive, yet it has been known to form chemical. Noble gases are relatively inert, but they do form some compounds. Xenon hexafluoroplatinate was the first noble gas compound ever synthesized.
From www.alamy.com
Xenon. Noble gases. Chemical Element of Mendeleev's Periodic Table Although Xenon Is A Noble Gas Like all the noble gases, xenon is not very reactive, yet it has been known to form chemical. It is 4.5 times denser than air. The periodic table is a chart that shows how chemical elements are related. Xenon is a colorless, odorless, heavy noble gas. Xenon hexafluoroplatinate was the first noble gas compound ever synthesized. The term noble gas. Although Xenon Is A Noble Gas.
From www.youtube.com
Xenon THE BRIGHTEST Gas on Earth! YouTube Although Xenon Is A Noble Gas Like all the noble gases, xenon is not very reactive, yet it has been known to form chemical. The element has atomic number 54 and element symbol xe. Over 80 xenon compounds are known, including chlorides, fluorides, oxides, nitrates, and metal complexes. Xenon hexafluoroplatinate was the first noble gas compound ever synthesized. Despite elaborate preparations and eager experiments, attempts to. Although Xenon Is A Noble Gas.
From www.examples.com
Xenon (Xe) Definition, Preparation, Properties, Uses, Compounds Although Xenon Is A Noble Gas Like all the noble gases, xenon is not very reactive, yet it has been known to form chemical. Xenon is a noble gas. Xenon hexafluoroplatinate was the first noble gas compound ever synthesized. The element has atomic number 54 and element symbol xe. Over 80 xenon compounds are known, including chlorides, fluorides, oxides, nitrates, and metal complexes. A liter of. Although Xenon Is A Noble Gas.
From exofmvird.blob.core.windows.net
Why Is Xenon The Most Reactive Noble Gas at Carol Good blog Although Xenon Is A Noble Gas Xenon is a colorless, odorless, heavy noble gas. Xenon is a noble gas. A liter of xenon gas weighs more than 5.8 grams. Noble gases are relatively inert, but they do form some compounds. It is 4.5 times denser than air. The periodic table is a chart that shows how chemical elements are related. Despite elaborate preparations and eager experiments,. Although Xenon Is A Noble Gas.
From www.thoughtco.com
Interesting Xenon Facts and Uses in Chemistry Although Xenon Is A Noble Gas A liter of xenon gas weighs more than 5.8 grams. The periodic table is a chart that shows how chemical elements are related. It is element 54 with the symbol xe and an atomic weight of 131.293. Xenon is a noble gas. It is 4.5 times denser than air. Xenon hexafluoroplatinate was the first noble gas compound ever synthesized. The. Although Xenon Is A Noble Gas.
From exofmvird.blob.core.windows.net
Why Is Xenon The Most Reactive Noble Gas at Carol Good blog Although Xenon Is A Noble Gas Xenon is a noble gas. The term noble gas is used to describe the elements in group 18 (viiia) of the periodic table. A liter of xenon gas weighs more than 5.8 grams. Despite elaborate preparations and eager experiments, attempts to prepare xenon compounds by discharging electricity through a. It is 4.5 times denser than air. Xenon is a colorless,. Although Xenon Is A Noble Gas.
From sciencenotes.org
Xenon Facts and Uses Atomic Number 54 Element Symbol Xe Although Xenon Is A Noble Gas Xenon is a noble gas. It is element 54 with the symbol xe and an atomic weight of 131.293. Xenon is a colorless, odorless, heavy noble gas. It is 4.5 times denser than air. Noble gases are relatively inert, but they do form some compounds. The term noble gas is used to describe the elements in group 18 (viiia) of. Although Xenon Is A Noble Gas.
From www.numerade.com
SOLVED Although xenon is a “noble gas,” it reacts with fluorine and Although Xenon Is A Noble Gas It is 4.5 times denser than air. Despite elaborate preparations and eager experiments, attempts to prepare xenon compounds by discharging electricity through a. A liter of xenon gas weighs more than 5.8 grams. Like all the noble gases, xenon is not very reactive, yet it has been known to form chemical. Xenon is a noble gas. Xenon hexafluoroplatinate was the. Although Xenon Is A Noble Gas.
From www.revistasusana.com
Unveiling the Mystery The Sixth Noble Gas and the Big Bang Theory Although Xenon Is A Noble Gas A liter of xenon gas weighs more than 5.8 grams. Over 80 xenon compounds are known, including chlorides, fluorides, oxides, nitrates, and metal complexes. The term noble gas is used to describe the elements in group 18 (viiia) of the periodic table. Xenon is a noble gas. Xenon is a noble gas. The periodic table is a chart that shows. Although Xenon Is A Noble Gas.
From www.alamy.com
Xe Xenon Noble gas Chemical Element vector illustration diagram, with Although Xenon Is A Noble Gas Over 80 xenon compounds are known, including chlorides, fluorides, oxides, nitrates, and metal complexes. Despite elaborate preparations and eager experiments, attempts to prepare xenon compounds by discharging electricity through a. Xenon is a colorless, odorless, heavy noble gas. Xenon is a noble gas. The periodic table is a chart that shows how chemical elements are related. It is element 54. Although Xenon Is A Noble Gas.
From www.vedantu.com
Facts About the Noble Gases Learn Important Terms and Concepts Although Xenon Is A Noble Gas Xenon hexafluoroplatinate was the first noble gas compound ever synthesized. The term noble gas is used to describe the elements in group 18 (viiia) of the periodic table. The element has atomic number 54 and element symbol xe. Like all the noble gases, xenon is not very reactive, yet it has been known to form chemical. It is element 54. Although Xenon Is A Noble Gas.
From sciencenotes.org
What Are Noble Gases? Definition and Properties Although Xenon Is A Noble Gas Like all the noble gases, xenon is not very reactive, yet it has been known to form chemical. The element has atomic number 54 and element symbol xe. Noble gases are relatively inert, but they do form some compounds. The periodic table is a chart that shows how chemical elements are related. Xenon is a noble gas. The term noble. Although Xenon Is A Noble Gas.
From www.numerade.com
SOLVED Xenon is a noble gas that is capable of forming compounds. One Although Xenon Is A Noble Gas It is element 54 with the symbol xe and an atomic weight of 131.293. Over 80 xenon compounds are known, including chlorides, fluorides, oxides, nitrates, and metal complexes. Xenon hexafluoroplatinate was the first noble gas compound ever synthesized. Xenon is a noble gas. Noble gases are relatively inert, but they do form some compounds. Despite elaborate preparations and eager experiments,. Although Xenon Is A Noble Gas.
From www.pinterest.com
Noble gases What are the properties of noble gases? Noble gas Although Xenon Is A Noble Gas Over 80 xenon compounds are known, including chlorides, fluorides, oxides, nitrates, and metal complexes. It is element 54 with the symbol xe and an atomic weight of 131.293. The element has atomic number 54 and element symbol xe. The term noble gas is used to describe the elements in group 18 (viiia) of the periodic table. Xenon is a noble. Although Xenon Is A Noble Gas.
From www.wikihow.com
How to Write a Noble Gas Configuration for Atoms of an Element Although Xenon Is A Noble Gas It is element 54 with the symbol xe and an atomic weight of 131.293. A liter of xenon gas weighs more than 5.8 grams. Xenon is a noble gas. Noble gases are relatively inert, but they do form some compounds. Xenon is a noble gas. Despite elaborate preparations and eager experiments, attempts to prepare xenon compounds by discharging electricity through. Although Xenon Is A Noble Gas.
From sciencequery.com
Noble gas definition and examples Although Xenon Is A Noble Gas The periodic table is a chart that shows how chemical elements are related. Despite elaborate preparations and eager experiments, attempts to prepare xenon compounds by discharging electricity through a. The term noble gas is used to describe the elements in group 18 (viiia) of the periodic table. The element has atomic number 54 and element symbol xe. It is element. Although Xenon Is A Noble Gas.
From www.alamy.com
Xenon on periodic table of the elements. Noble gas with symbol Xe from Although Xenon Is A Noble Gas Despite elaborate preparations and eager experiments, attempts to prepare xenon compounds by discharging electricity through a. The term noble gas is used to describe the elements in group 18 (viiia) of the periodic table. It is 4.5 times denser than air. It is element 54 with the symbol xe and an atomic weight of 131.293. A liter of xenon gas. Although Xenon Is A Noble Gas.
From www.chegg.com
Solved Xenon is a noble gas that is capable of forming Although Xenon Is A Noble Gas The term noble gas is used to describe the elements in group 18 (viiia) of the periodic table. A liter of xenon gas weighs more than 5.8 grams. It is element 54 with the symbol xe and an atomic weight of 131.293. Xenon is a noble gas. Noble gases are relatively inert, but they do form some compounds. Despite elaborate. Although Xenon Is A Noble Gas.
From filipiknow.net
The Periodic Table of Elements and Periodic Trends FilipiKnow Although Xenon Is A Noble Gas The element has atomic number 54 and element symbol xe. Xenon is a noble gas. Despite elaborate preparations and eager experiments, attempts to prepare xenon compounds by discharging electricity through a. The periodic table is a chart that shows how chemical elements are related. Xenon is a colorless, odorless, heavy noble gas. A liter of xenon gas weighs more than. Although Xenon Is A Noble Gas.
From uspeakgreek.com
Xenon Definition Shedding Light on the Noble Gas U speak Greek Although Xenon Is A Noble Gas It is element 54 with the symbol xe and an atomic weight of 131.293. The element has atomic number 54 and element symbol xe. Xenon is a noble gas. Xenon is a noble gas. Noble gases are relatively inert, but they do form some compounds. It is 4.5 times denser than air. Over 80 xenon compounds are known, including chlorides,. Although Xenon Is A Noble Gas.
From www.vedantu.com
Facts About the Noble Gases Learn Important Terms and Concepts Although Xenon Is A Noble Gas Noble gases are relatively inert, but they do form some compounds. Xenon is a noble gas. Despite elaborate preparations and eager experiments, attempts to prepare xenon compounds by discharging electricity through a. Xenon is a noble gas. Over 80 xenon compounds are known, including chlorides, fluorides, oxides, nitrates, and metal complexes. Xenon hexafluoroplatinate was the first noble gas compound ever. Although Xenon Is A Noble Gas.
From www.labroots.com
Reactions Impossible How Chemists Strived to Make Noble Gas Compounds Although Xenon Is A Noble Gas Despite elaborate preparations and eager experiments, attempts to prepare xenon compounds by discharging electricity through a. It is element 54 with the symbol xe and an atomic weight of 131.293. Xenon is a noble gas. Xenon is a noble gas. Xenon is a colorless, odorless, heavy noble gas. The periodic table is a chart that shows how chemical elements are. Although Xenon Is A Noble Gas.
From www.youtube.com
The Noble "Gas" Family Helium, Neon, Argon, Krypton, Xenon, Radon Although Xenon Is A Noble Gas The element has atomic number 54 and element symbol xe. A liter of xenon gas weighs more than 5.8 grams. The periodic table is a chart that shows how chemical elements are related. Xenon is a noble gas. Xenon hexafluoroplatinate was the first noble gas compound ever synthesized. Xenon is a noble gas. Over 80 xenon compounds are known, including. Although Xenon Is A Noble Gas.
From cameramath.com
[Solved] Xe Although xenon is a noble gas, it does react with fluorine Although Xenon Is A Noble Gas It is element 54 with the symbol xe and an atomic weight of 131.293. Like all the noble gases, xenon is not very reactive, yet it has been known to form chemical. The periodic table is a chart that shows how chemical elements are related. It is 4.5 times denser than air. Over 80 xenon compounds are known, including chlorides,. Although Xenon Is A Noble Gas.
From www.wikihow.com
How to Write a Noble Gas Configuration for Atoms of an Element Although Xenon Is A Noble Gas Xenon is a noble gas. Like all the noble gases, xenon is not very reactive, yet it has been known to form chemical. The periodic table is a chart that shows how chemical elements are related. The term noble gas is used to describe the elements in group 18 (viiia) of the periodic table. It is element 54 with the. Although Xenon Is A Noble Gas.
From www.chegg.com
Solved Question 43.a Of 72 Xenon Is A Noble Gas That Is C... Although Xenon Is A Noble Gas Like all the noble gases, xenon is not very reactive, yet it has been known to form chemical. Xenon is a noble gas. Despite elaborate preparations and eager experiments, attempts to prepare xenon compounds by discharging electricity through a. It is element 54 with the symbol xe and an atomic weight of 131.293. The periodic table is a chart that. Although Xenon Is A Noble Gas.
From www.youtube.com
Electron Configurations with Noble Gas Notation YouTube Although Xenon Is A Noble Gas Xenon hexafluoroplatinate was the first noble gas compound ever synthesized. The term noble gas is used to describe the elements in group 18 (viiia) of the periodic table. The element has atomic number 54 and element symbol xe. Xenon is a colorless, odorless, heavy noble gas. Despite elaborate preparations and eager experiments, attempts to prepare xenon compounds by discharging electricity. Although Xenon Is A Noble Gas.
From pngtree.com
Noble Gas Xenon In Mendeleevs Periodic Table Of Elements Photo Although Xenon Is A Noble Gas The element has atomic number 54 and element symbol xe. The term noble gas is used to describe the elements in group 18 (viiia) of the periodic table. Xenon hexafluoroplatinate was the first noble gas compound ever synthesized. The periodic table is a chart that shows how chemical elements are related. It is 4.5 times denser than air. A liter. Although Xenon Is A Noble Gas.
From www.numerade.com
⏩SOLVEDConsider the noble gas xenon. (a) Write the electron… Numerade Although Xenon Is A Noble Gas Over 80 xenon compounds are known, including chlorides, fluorides, oxides, nitrates, and metal complexes. Noble gases are relatively inert, but they do form some compounds. Xenon is a noble gas. Xenon hexafluoroplatinate was the first noble gas compound ever synthesized. Xenon is a colorless, odorless, heavy noble gas. Despite elaborate preparations and eager experiments, attempts to prepare xenon compounds by. Although Xenon Is A Noble Gas.
From www.numerade.com
SOLVED Although Xenon is a noble gas, it forms many different Although Xenon Is A Noble Gas A liter of xenon gas weighs more than 5.8 grams. Xenon is a noble gas. The periodic table is a chart that shows how chemical elements are related. Xenon hexafluoroplatinate was the first noble gas compound ever synthesized. Noble gases are relatively inert, but they do form some compounds. Xenon is a colorless, odorless, heavy noble gas. The element has. Although Xenon Is A Noble Gas.
From www.vedantu.com
Noble Gases Use and Its Properties Important Concepts and Tips for JEE Although Xenon Is A Noble Gas Xenon is a noble gas. Despite elaborate preparations and eager experiments, attempts to prepare xenon compounds by discharging electricity through a. The term noble gas is used to describe the elements in group 18 (viiia) of the periodic table. The element has atomic number 54 and element symbol xe. Xenon hexafluoroplatinate was the first noble gas compound ever synthesized. A. Although Xenon Is A Noble Gas.
From www.slideserve.com
PPT XENON PowerPoint Presentation, free download ID2622336 Although Xenon Is A Noble Gas Noble gases are relatively inert, but they do form some compounds. A liter of xenon gas weighs more than 5.8 grams. Xenon is a noble gas. It is 4.5 times denser than air. Over 80 xenon compounds are known, including chlorides, fluorides, oxides, nitrates, and metal complexes. It is element 54 with the symbol xe and an atomic weight of. Although Xenon Is A Noble Gas.
From owlcation.com
What's so Noble About Noble Gases? Owlcation Although Xenon Is A Noble Gas Despite elaborate preparations and eager experiments, attempts to prepare xenon compounds by discharging electricity through a. Xenon is a colorless, odorless, heavy noble gas. The periodic table is a chart that shows how chemical elements are related. Xenon is a noble gas. Over 80 xenon compounds are known, including chlorides, fluorides, oxides, nitrates, and metal complexes. It is element 54. Although Xenon Is A Noble Gas.
From www.chegg.com
Solved Although it is a noble gas, xenon will form compounds Although Xenon Is A Noble Gas Xenon hexafluoroplatinate was the first noble gas compound ever synthesized. The term noble gas is used to describe the elements in group 18 (viiia) of the periodic table. Over 80 xenon compounds are known, including chlorides, fluorides, oxides, nitrates, and metal complexes. It is 4.5 times denser than air. Xenon is a colorless, odorless, heavy noble gas. The periodic table. Although Xenon Is A Noble Gas.
From exofmvird.blob.core.windows.net
Why Is Xenon The Most Reactive Noble Gas at Carol Good blog Although Xenon Is A Noble Gas Over 80 xenon compounds are known, including chlorides, fluorides, oxides, nitrates, and metal complexes. Xenon is a noble gas. Despite elaborate preparations and eager experiments, attempts to prepare xenon compounds by discharging electricity through a. The periodic table is a chart that shows how chemical elements are related. It is element 54 with the symbol xe and an atomic weight. Although Xenon Is A Noble Gas.