Magnesium Carbonate Ksp Expression . K sp = [mg 2+] 3 [po 4 3 ¯] 2. The value of the solubility constant depends only on. 176 rows the solubility product is given by. Ionic compound formula k sp. Solubility product constants near 25 °c. The ksp table page at umass provides solubility product constants for various compounds. The equilibrium constant for a dissolution reaction, called the solubility product (ksp), is a measure of the solubility of a compound. The k sp expression is: The solubility product constant, ksp , is the equilibrium constant for a solid substance dissolving in an aqueous solution. These is a 3:1 ratio between the concentration of the magnesium. The table below gives calculated values of k sp for common ionic substances at 25°c (77°f).
        
        from www.shutterstock.com 
     
        
        K sp = [mg 2+] 3 [po 4 3 ¯] 2. These is a 3:1 ratio between the concentration of the magnesium. The ksp table page at umass provides solubility product constants for various compounds. The k sp expression is: Solubility product constants near 25 °c. The value of the solubility constant depends only on. Ionic compound formula k sp. The equilibrium constant for a dissolution reaction, called the solubility product (ksp), is a measure of the solubility of a compound. The table below gives calculated values of k sp for common ionic substances at 25°c (77°f). 176 rows the solubility product is given by.
    
    	
            
	
		 
         
    Magnesium Carbonate Properties Chemical Compound Structure Stock Vector 
    Magnesium Carbonate Ksp Expression  The k sp expression is: These is a 3:1 ratio between the concentration of the magnesium. K sp = [mg 2+] 3 [po 4 3 ¯] 2. Ionic compound formula k sp. The table below gives calculated values of k sp for common ionic substances at 25°c (77°f). 176 rows the solubility product is given by. The solubility product constant, ksp , is the equilibrium constant for a solid substance dissolving in an aqueous solution. The value of the solubility constant depends only on. The k sp expression is: Solubility product constants near 25 °c. The ksp table page at umass provides solubility product constants for various compounds. The equilibrium constant for a dissolution reaction, called the solubility product (ksp), is a measure of the solubility of a compound.
            
	
		 
         
 
    
        From www.numerade.com 
                    SOLVED Ifthe solubility of magnesium fluoride; MgFz, a[ 25 "Cis0.18 L Magnesium Carbonate Ksp Expression  The value of the solubility constant depends only on. 176 rows the solubility product is given by. The table below gives calculated values of k sp for common ionic substances at 25°c (77°f). These is a 3:1 ratio between the concentration of the magnesium. Solubility product constants near 25 °c. The ksp table page at umass provides solubility product constants. Magnesium Carbonate Ksp Expression.
     
    
        From socratic.org 
                    What is the name of MgCO_3? Socratic Magnesium Carbonate Ksp Expression  The table below gives calculated values of k sp for common ionic substances at 25°c (77°f). The value of the solubility constant depends only on. Ionic compound formula k sp. These is a 3:1 ratio between the concentration of the magnesium. The ksp table page at umass provides solubility product constants for various compounds. The k sp expression is: The. Magnesium Carbonate Ksp Expression.
     
    
        From www.chegg.com 
                    Solved The Ksp value for magnesium carbonate, MgCO3, is 6.5 Magnesium Carbonate Ksp Expression  Solubility product constants near 25 °c. Ionic compound formula k sp. The value of the solubility constant depends only on. The table below gives calculated values of k sp for common ionic substances at 25°c (77°f). The solubility product constant, ksp , is the equilibrium constant for a solid substance dissolving in an aqueous solution. K sp = [mg 2+]. Magnesium Carbonate Ksp Expression.
     
    
        From study.com 
                    Writing a Solubility Product (Ksp) Expression Chemistry Magnesium Carbonate Ksp Expression  The equilibrium constant for a dissolution reaction, called the solubility product (ksp), is a measure of the solubility of a compound. The value of the solubility constant depends only on. The ksp table page at umass provides solubility product constants for various compounds. The solubility product constant, ksp , is the equilibrium constant for a solid substance dissolving in an. Magnesium Carbonate Ksp Expression.
     
    
        From www.chegg.com 
                    Solved The Ksp of magnesium carbonate, MgCO3, is 6.82 x 10". Magnesium Carbonate Ksp Expression  176 rows the solubility product is given by. The value of the solubility constant depends only on. The ksp table page at umass provides solubility product constants for various compounds. The equilibrium constant for a dissolution reaction, called the solubility product (ksp), is a measure of the solubility of a compound. The k sp expression is: K sp = [mg. Magnesium Carbonate Ksp Expression.
     
    
        From www.coursehero.com 
                    [Solved] The Ksp of magnesium carbonate, MgCO3, is 6.82×10^−6 Magnesium Carbonate Ksp Expression  These is a 3:1 ratio between the concentration of the magnesium. The value of the solubility constant depends only on. The k sp expression is: The solubility product constant, ksp , is the equilibrium constant for a solid substance dissolving in an aqueous solution. 176 rows the solubility product is given by. The ksp table page at umass provides solubility. Magnesium Carbonate Ksp Expression.
     
    
        From www.researchgate.net 
                    SEM microphotographs of the magnesium carbonate hydrates prepared at Magnesium Carbonate Ksp Expression  The table below gives calculated values of k sp for common ionic substances at 25°c (77°f). The solubility product constant, ksp , is the equilibrium constant for a solid substance dissolving in an aqueous solution. 176 rows the solubility product is given by. K sp = [mg 2+] 3 [po 4 3 ¯] 2. Ionic compound formula k sp. The. Magnesium Carbonate Ksp Expression.
     
    
        From www.numerade.com 
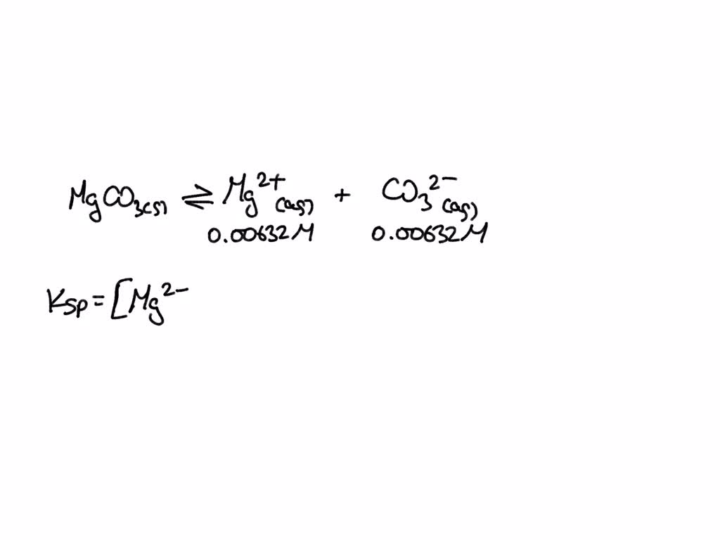
                    SOLVED The concentrations of magnesium and carbonate ions in a Magnesium Carbonate Ksp Expression  The table below gives calculated values of k sp for common ionic substances at 25°c (77°f). K sp = [mg 2+] 3 [po 4 3 ¯] 2. Ionic compound formula k sp. 176 rows the solubility product is given by. The k sp expression is: The equilibrium constant for a dissolution reaction, called the solubility product (ksp), is a measure. Magnesium Carbonate Ksp Expression.
     
    
        From www.glentham.com 
                    Magnesium carbonate, basic, chemical pure (CAS 39409820) Glentham Magnesium Carbonate Ksp Expression  Solubility product constants near 25 °c. Ionic compound formula k sp. 176 rows the solubility product is given by. The k sp expression is: K sp = [mg 2+] 3 [po 4 3 ¯] 2. The equilibrium constant for a dissolution reaction, called the solubility product (ksp), is a measure of the solubility of a compound. These is a 3:1. Magnesium Carbonate Ksp Expression.
     
    
        From www.chegg.com 
                    Solved The Ksp of Magnesium carbonate is 3.2 x108M. What is Magnesium Carbonate Ksp Expression  The k sp expression is: 176 rows the solubility product is given by. These is a 3:1 ratio between the concentration of the magnesium. K sp = [mg 2+] 3 [po 4 3 ¯] 2. Solubility product constants near 25 °c. Ionic compound formula k sp. The table below gives calculated values of k sp for common ionic substances at. Magnesium Carbonate Ksp Expression.
     
    
        From www.numerade.com 
                    SOLVED Magnesium carbonate is slightly soluble in water. The Ksp for Magnesium Carbonate Ksp Expression  The k sp expression is: Ionic compound formula k sp. 176 rows the solubility product is given by. These is a 3:1 ratio between the concentration of the magnesium. K sp = [mg 2+] 3 [po 4 3 ¯] 2. The value of the solubility constant depends only on. The equilibrium constant for a dissolution reaction, called the solubility product. Magnesium Carbonate Ksp Expression.
     
    
        From www.numerade.com 
                    SOLVED Calculate the solubility in g/L of magnesium phosphate (Ksp = 1 Magnesium Carbonate Ksp Expression  The value of the solubility constant depends only on. 176 rows the solubility product is given by. Solubility product constants near 25 °c. The equilibrium constant for a dissolution reaction, called the solubility product (ksp), is a measure of the solubility of a compound. Ionic compound formula k sp. The k sp expression is: The solubility product constant, ksp ,. Magnesium Carbonate Ksp Expression.
     
    
        From studylib.net 
                    Solubility Equilibrium Magnesium Carbonate Ksp Expression  These is a 3:1 ratio between the concentration of the magnesium. The solubility product constant, ksp , is the equilibrium constant for a solid substance dissolving in an aqueous solution. The k sp expression is: K sp = [mg 2+] 3 [po 4 3 ¯] 2. 176 rows the solubility product is given by. The table below gives calculated values. Magnesium Carbonate Ksp Expression.
     
    
        From www.chegg.com 
                    Solved At 296 K the Ksp for magnesium carbonate is 4.0e5 Magnesium Carbonate Ksp Expression  K sp = [mg 2+] 3 [po 4 3 ¯] 2. The solubility product constant, ksp , is the equilibrium constant for a solid substance dissolving in an aqueous solution. These is a 3:1 ratio between the concentration of the magnesium. The equilibrium constant for a dissolution reaction, called the solubility product (ksp), is a measure of the solubility of. Magnesium Carbonate Ksp Expression.
     
    
        From www.researchgate.net 
                    Magnesium carbonate hydrates in the MgOCO 2 H 2 O system modified Magnesium Carbonate Ksp Expression  These is a 3:1 ratio between the concentration of the magnesium. The equilibrium constant for a dissolution reaction, called the solubility product (ksp), is a measure of the solubility of a compound. 176 rows the solubility product is given by. The k sp expression is: The solubility product constant, ksp , is the equilibrium constant for a solid substance dissolving. Magnesium Carbonate Ksp Expression.
     
    
        From www.youtube.com 
                    Menghitung Ksp dari Magnesium Karbonat MgCO3 [KELARUTAN KIMIA Eps07 Magnesium Carbonate Ksp Expression  Ionic compound formula k sp. The ksp table page at umass provides solubility product constants for various compounds. The value of the solubility constant depends only on. These is a 3:1 ratio between the concentration of the magnesium. The k sp expression is: Solubility product constants near 25 °c. The solubility product constant, ksp , is the equilibrium constant for. Magnesium Carbonate Ksp Expression.
     
    
        From www.chegg.com 
                    Solved The Kep expression for magnesium carbonate, MgCO_3 Magnesium Carbonate Ksp Expression  Ionic compound formula k sp. These is a 3:1 ratio between the concentration of the magnesium. The value of the solubility constant depends only on. K sp = [mg 2+] 3 [po 4 3 ¯] 2. The solubility product constant, ksp , is the equilibrium constant for a solid substance dissolving in an aqueous solution. 176 rows the solubility product. Magnesium Carbonate Ksp Expression.
     
    
        From www.numerade.com 
                    SOLVED Magnesium carbonate is slightly soluble in water. The Ksp for Magnesium Carbonate Ksp Expression  Solubility product constants near 25 °c. 176 rows the solubility product is given by. The equilibrium constant for a dissolution reaction, called the solubility product (ksp), is a measure of the solubility of a compound. The value of the solubility constant depends only on. Ionic compound formula k sp. The ksp table page at umass provides solubility product constants for. Magnesium Carbonate Ksp Expression.
     
    
        From www.youtube.com 
                    The molar solubility of magnesium carbonate is 1.87x10^4 mol/L Magnesium Carbonate Ksp Expression  K sp = [mg 2+] 3 [po 4 3 ¯] 2. 176 rows the solubility product is given by. The solubility product constant, ksp , is the equilibrium constant for a solid substance dissolving in an aqueous solution. The value of the solubility constant depends only on. The table below gives calculated values of k sp for common ionic substances. Magnesium Carbonate Ksp Expression.
     
    
        From www.numerade.com 
                    SOLVED Calculate the solubility (S) of lead(II) carbonate, PbCO3 (Ksp Magnesium Carbonate Ksp Expression  These is a 3:1 ratio between the concentration of the magnesium. Ionic compound formula k sp. The table below gives calculated values of k sp for common ionic substances at 25°c (77°f). 176 rows the solubility product is given by. The equilibrium constant for a dissolution reaction, called the solubility product (ksp), is a measure of the solubility of a. Magnesium Carbonate Ksp Expression.
     
    
        From glchems.en.made-in-china.com 
                    High Purity Chemical Light Magnesium Carbonate Industrial Grade Magnesium Carbonate Ksp Expression  176 rows the solubility product is given by. Ionic compound formula k sp. The ksp table page at umass provides solubility product constants for various compounds. K sp = [mg 2+] 3 [po 4 3 ¯] 2. These is a 3:1 ratio between the concentration of the magnesium. The equilibrium constant for a dissolution reaction, called the solubility product (ksp),. Magnesium Carbonate Ksp Expression.
     
    
        From www.numerade.com 
                    SOLVED Determine the Ksp for magnesium hydroxide (Mg(OH)2) where the Magnesium Carbonate Ksp Expression  Ionic compound formula k sp. The table below gives calculated values of k sp for common ionic substances at 25°c (77°f). These is a 3:1 ratio between the concentration of the magnesium. 176 rows the solubility product is given by. The equilibrium constant for a dissolution reaction, called the solubility product (ksp), is a measure of the solubility of a. Magnesium Carbonate Ksp Expression.
     
    
        From gbu-presnenskij.ru 
                    The Molar Solubility Of Magnesium Carbonate Is Calculate , 49 OFF Magnesium Carbonate Ksp Expression  K sp = [mg 2+] 3 [po 4 3 ¯] 2. 176 rows the solubility product is given by. The solubility product constant, ksp , is the equilibrium constant for a solid substance dissolving in an aqueous solution. The value of the solubility constant depends only on. The k sp expression is: Ionic compound formula k sp. The table below. Magnesium Carbonate Ksp Expression.
     
    
        From amarischemicalsolutions.com 
                    Magnesium Carbonate (Light) 500gm Amaris Chemical Solutions Magnesium Carbonate Ksp Expression  176 rows the solubility product is given by. K sp = [mg 2+] 3 [po 4 3 ¯] 2. The table below gives calculated values of k sp for common ionic substances at 25°c (77°f). The equilibrium constant for a dissolution reaction, called the solubility product (ksp), is a measure of the solubility of a compound. These is a 3:1. Magnesium Carbonate Ksp Expression.
     
    
        From www.numerade.com 
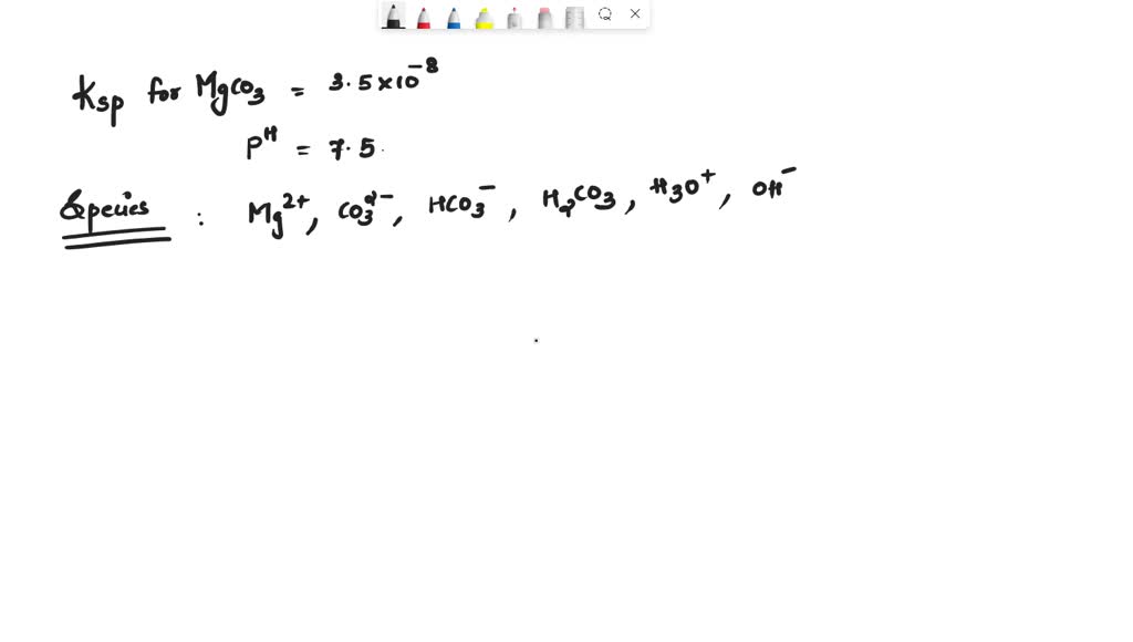
                    SOLVED Complete the solubility product equation, the Kc and the Ksp Magnesium Carbonate Ksp Expression  Solubility product constants near 25 °c. The k sp expression is: These is a 3:1 ratio between the concentration of the magnesium. 176 rows the solubility product is given by. The equilibrium constant for a dissolution reaction, called the solubility product (ksp), is a measure of the solubility of a compound. The value of the solubility constant depends only on.. Magnesium Carbonate Ksp Expression.
     
    
        From www.researchgate.net 
                    (A) PXRD pattern of material resulting from synthesis of magnesium Magnesium Carbonate Ksp Expression  The solubility product constant, ksp , is the equilibrium constant for a solid substance dissolving in an aqueous solution. The ksp table page at umass provides solubility product constants for various compounds. K sp = [mg 2+] 3 [po 4 3 ¯] 2. Ionic compound formula k sp. The k sp expression is: 176 rows the solubility product is given. Magnesium Carbonate Ksp Expression.
     
    
        From www.numerade.com 
                    SOLVED Write the solubilityproduct expression (Ksp) at equilibrium Magnesium Carbonate Ksp Expression  These is a 3:1 ratio between the concentration of the magnesium. The solubility product constant, ksp , is the equilibrium constant for a solid substance dissolving in an aqueous solution. The k sp expression is: Ionic compound formula k sp. The equilibrium constant for a dissolution reaction, called the solubility product (ksp), is a measure of the solubility of a. Magnesium Carbonate Ksp Expression.
     
    
        From www.researchgate.net 
                    Chemical composition of the magnesium carbonate (MgCO 3 ), magnesium Magnesium Carbonate Ksp Expression  These is a 3:1 ratio between the concentration of the magnesium. K sp = [mg 2+] 3 [po 4 3 ¯] 2. The k sp expression is: 176 rows the solubility product is given by. The table below gives calculated values of k sp for common ionic substances at 25°c (77°f). Solubility product constants near 25 °c. The value of. Magnesium Carbonate Ksp Expression.
     
    
        From www.shutterstock.com 
                    Magnesium Carbonate Properties Chemical Compound Structure Stock Vector Magnesium Carbonate Ksp Expression  The value of the solubility constant depends only on. The solubility product constant, ksp , is the equilibrium constant for a solid substance dissolving in an aqueous solution. The ksp table page at umass provides solubility product constants for various compounds. The table below gives calculated values of k sp for common ionic substances at 25°c (77°f). These is a. Magnesium Carbonate Ksp Expression.
     
    
        From www.slideserve.com 
                    PPT Chapter 19 PowerPoint Presentation, free download ID4347161 Magnesium Carbonate Ksp Expression  The table below gives calculated values of k sp for common ionic substances at 25°c (77°f). The ksp table page at umass provides solubility product constants for various compounds. The equilibrium constant for a dissolution reaction, called the solubility product (ksp), is a measure of the solubility of a compound. Ionic compound formula k sp. The k sp expression is:. Magnesium Carbonate Ksp Expression.
     
    
        From www.showme.com 
                    Chapter 19 66 writing Ksp Expressions Science, Chemistry, Ksp Magnesium Carbonate Ksp Expression  Solubility product constants near 25 °c. The table below gives calculated values of k sp for common ionic substances at 25°c (77°f). The value of the solubility constant depends only on. Ionic compound formula k sp. 176 rows the solubility product is given by. K sp = [mg 2+] 3 [po 4 3 ¯] 2. The k sp expression is:. Magnesium Carbonate Ksp Expression.
     
    
        From www.youtube.com 
                    Find the Ksp of magnesium phosphate YouTube Magnesium Carbonate Ksp Expression  The equilibrium constant for a dissolution reaction, called the solubility product (ksp), is a measure of the solubility of a compound. Solubility product constants near 25 °c. K sp = [mg 2+] 3 [po 4 3 ¯] 2. 176 rows the solubility product is given by. The k sp expression is: The value of the solubility constant depends only on.. Magnesium Carbonate Ksp Expression.
     
    
        From testbook.com 
                    Magnesium Carbonate Learn Definition, Structure, Formula & Uses Magnesium Carbonate Ksp Expression  The ksp table page at umass provides solubility product constants for various compounds. K sp = [mg 2+] 3 [po 4 3 ¯] 2. Solubility product constants near 25 °c. These is a 3:1 ratio between the concentration of the magnesium. The solubility product constant, ksp , is the equilibrium constant for a solid substance dissolving in an aqueous solution.. Magnesium Carbonate Ksp Expression.
     
    
        From slideplayer.com 
                    Precipitation Equilibrium ppt download Magnesium Carbonate Ksp Expression  Ionic compound formula k sp. The table below gives calculated values of k sp for common ionic substances at 25°c (77°f). These is a 3:1 ratio between the concentration of the magnesium. The equilibrium constant for a dissolution reaction, called the solubility product (ksp), is a measure of the solubility of a compound. The k sp expression is: The ksp. Magnesium Carbonate Ksp Expression.
     
    
        From www.chegg.com 
                    Solved The Ksp of magnesium carbonate, MgCO3, is 6.82 x Magnesium Carbonate Ksp Expression  The solubility product constant, ksp , is the equilibrium constant for a solid substance dissolving in an aqueous solution. The table below gives calculated values of k sp for common ionic substances at 25°c (77°f). The value of the solubility constant depends only on. The equilibrium constant for a dissolution reaction, called the solubility product (ksp), is a measure of. Magnesium Carbonate Ksp Expression.