Difference Amplifier Output Waveform . Design a differential amplifier based on the input and output voltage level requirements. In short, a differential amplifier suppresses in phase signals while simultaneously boosting out of phase signals. The differential amplifier, also known as the difference amplifier, is a universal linear processing. This can be a very. In this case, the first input is a 60 hz signal, and the second input is a. This circuit outputs the difference in voltage between two input signals. This innovative approach can achieve. The differential amplifier is a voltage subtractor circuit which produces an output voltage proportional to the voltage difference of two input signals.
from www.researchgate.net
In short, a differential amplifier suppresses in phase signals while simultaneously boosting out of phase signals. This can be a very. This circuit outputs the difference in voltage between two input signals. Design a differential amplifier based on the input and output voltage level requirements. The differential amplifier is a voltage subtractor circuit which produces an output voltage proportional to the voltage difference of two input signals. The differential amplifier, also known as the difference amplifier, is a universal linear processing. This innovative approach can achieve. In this case, the first input is a 60 hz signal, and the second input is a.
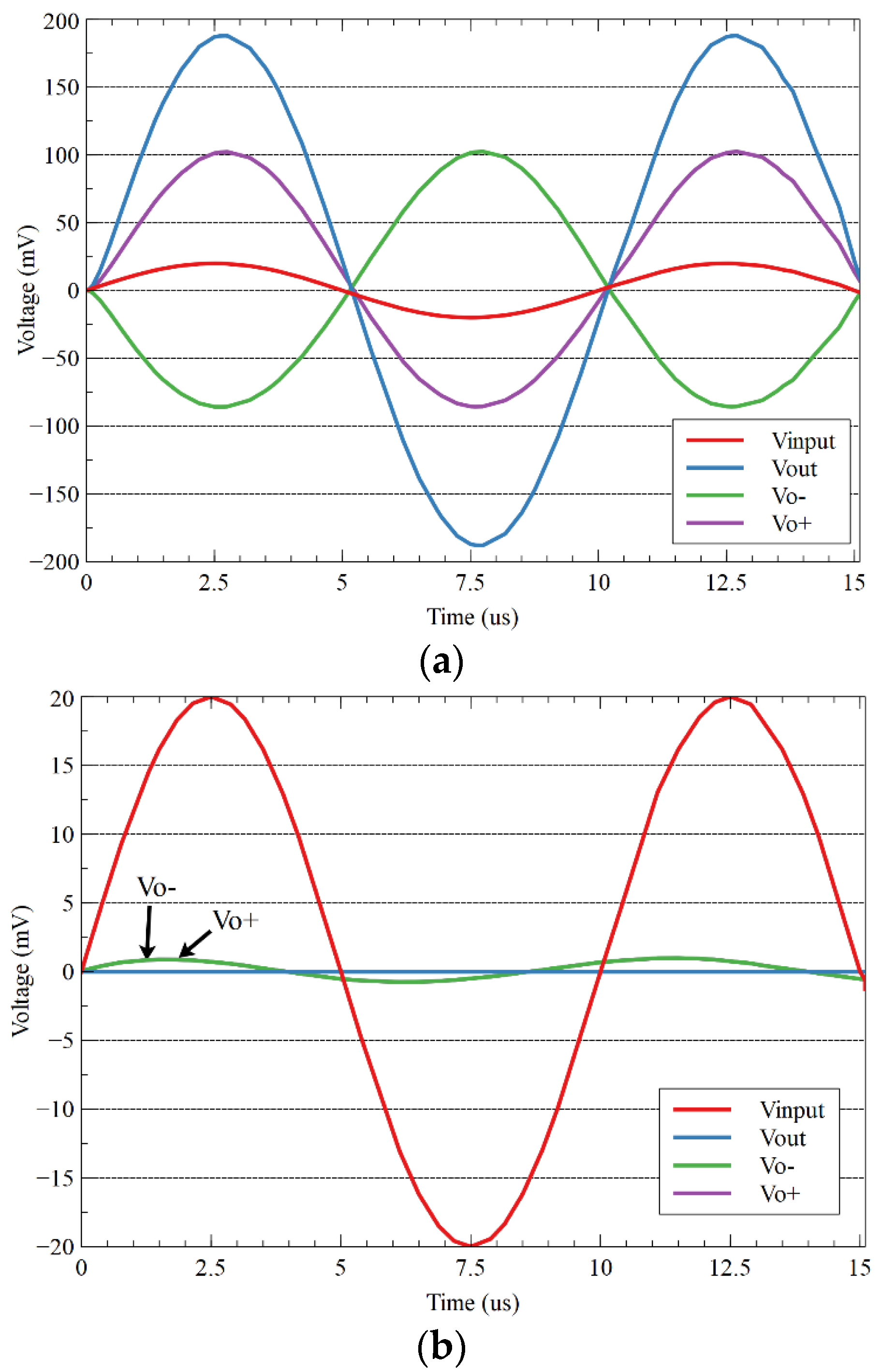
Input and output waveforms of the LM 741 Op Amp simplified circuit in
Difference Amplifier Output Waveform The differential amplifier, also known as the difference amplifier, is a universal linear processing. This innovative approach can achieve. In short, a differential amplifier suppresses in phase signals while simultaneously boosting out of phase signals. Design a differential amplifier based on the input and output voltage level requirements. The differential amplifier, also known as the difference amplifier, is a universal linear processing. This circuit outputs the difference in voltage between two input signals. This can be a very. In this case, the first input is a 60 hz signal, and the second input is a. The differential amplifier is a voltage subtractor circuit which produces an output voltage proportional to the voltage difference of two input signals.
From analyseameter.com
Power Amplifier Circuit, Classes and its Characteristics Analyse A Meter Difference Amplifier Output Waveform The differential amplifier is a voltage subtractor circuit which produces an output voltage proportional to the voltage difference of two input signals. Design a differential amplifier based on the input and output voltage level requirements. In this case, the first input is a 60 hz signal, and the second input is a. This can be a very. This innovative approach. Difference Amplifier Output Waveform.
From www.researchgate.net
Input and output waveforms of the LM 741 Op Amp simplified circuit in Difference Amplifier Output Waveform The differential amplifier, also known as the difference amplifier, is a universal linear processing. Design a differential amplifier based on the input and output voltage level requirements. This circuit outputs the difference in voltage between two input signals. In this case, the first input is a 60 hz signal, and the second input is a. This can be a very.. Difference Amplifier Output Waveform.
From loezjtgow.blob.core.windows.net
The Difference Amplifier Configuration at David Markley blog Difference Amplifier Output Waveform The differential amplifier, also known as the difference amplifier, is a universal linear processing. This can be a very. This innovative approach can achieve. This circuit outputs the difference in voltage between two input signals. The differential amplifier is a voltage subtractor circuit which produces an output voltage proportional to the voltage difference of two input signals. In short, a. Difference Amplifier Output Waveform.
From exyxbucqm.blob.core.windows.net
Differential Amplifier Waveform at Steven Wallis blog Difference Amplifier Output Waveform The differential amplifier, also known as the difference amplifier, is a universal linear processing. The differential amplifier is a voltage subtractor circuit which produces an output voltage proportional to the voltage difference of two input signals. This can be a very. Design a differential amplifier based on the input and output voltage level requirements. In this case, the first input. Difference Amplifier Output Waveform.
From www.youtube.com
Differentiator Using Opamp and its Waveform [Lec 15] YouTube Difference Amplifier Output Waveform In this case, the first input is a 60 hz signal, and the second input is a. This circuit outputs the difference in voltage between two input signals. The differential amplifier is a voltage subtractor circuit which produces an output voltage proportional to the voltage difference of two input signals. This innovative approach can achieve. In short, a differential amplifier. Difference Amplifier Output Waveform.
From www.electronics-lab.com
Class B Amplifiers Difference Amplifier Output Waveform In this case, the first input is a 60 hz signal, and the second input is a. This circuit outputs the difference in voltage between two input signals. Design a differential amplifier based on the input and output voltage level requirements. This can be a very. The differential amplifier, also known as the difference amplifier, is a universal linear processing.. Difference Amplifier Output Waveform.
From www.mdpi.com
JLPEA Free FullText Simple Scheme for the Implementation of Low Difference Amplifier Output Waveform This can be a very. The differential amplifier, also known as the difference amplifier, is a universal linear processing. Design a differential amplifier based on the input and output voltage level requirements. In this case, the first input is a 60 hz signal, and the second input is a. In short, a differential amplifier suppresses in phase signals while simultaneously. Difference Amplifier Output Waveform.
From electricala2z.com
Transistor Amplifier Theory, Working, Circuit Diagram Electrical A2Z Difference Amplifier Output Waveform This circuit outputs the difference in voltage between two input signals. The differential amplifier is a voltage subtractor circuit which produces an output voltage proportional to the voltage difference of two input signals. In short, a differential amplifier suppresses in phase signals while simultaneously boosting out of phase signals. This innovative approach can achieve. This can be a very. The. Difference Amplifier Output Waveform.
From bestengineeringprojects.com
Class B Push Pull Amplifier Engineering Projects Difference Amplifier Output Waveform This innovative approach can achieve. Design a differential amplifier based on the input and output voltage level requirements. This can be a very. The differential amplifier, also known as the difference amplifier, is a universal linear processing. This circuit outputs the difference in voltage between two input signals. The differential amplifier is a voltage subtractor circuit which produces an output. Difference Amplifier Output Waveform.
From www.circuitbread.com
OpAmp Differentiator Electronics Tutorials CircuitBread Difference Amplifier Output Waveform This innovative approach can achieve. Design a differential amplifier based on the input and output voltage level requirements. This can be a very. This circuit outputs the difference in voltage between two input signals. The differential amplifier is a voltage subtractor circuit which produces an output voltage proportional to the voltage difference of two input signals. In this case, the. Difference Amplifier Output Waveform.
From www.researchgate.net
Experimental Transient Input and Output Waveforms for the Telescopic Difference Amplifier Output Waveform In this case, the first input is a 60 hz signal, and the second input is a. This innovative approach can achieve. The differential amplifier is a voltage subtractor circuit which produces an output voltage proportional to the voltage difference of two input signals. This can be a very. In short, a differential amplifier suppresses in phase signals while simultaneously. Difference Amplifier Output Waveform.
From itecnotes.com
Differentiating Amplifier Voltage Output Waveform Valuable Tech Notes Difference Amplifier Output Waveform This innovative approach can achieve. This circuit outputs the difference in voltage between two input signals. The differential amplifier is a voltage subtractor circuit which produces an output voltage proportional to the voltage difference of two input signals. In this case, the first input is a 60 hz signal, and the second input is a. In short, a differential amplifier. Difference Amplifier Output Waveform.
From www.watelectrical.com
Non Inverting Op Amp Circuit, Definition, Examples & Its Uses Difference Amplifier Output Waveform The differential amplifier, also known as the difference amplifier, is a universal linear processing. The differential amplifier is a voltage subtractor circuit which produces an output voltage proportional to the voltage difference of two input signals. This can be a very. In short, a differential amplifier suppresses in phase signals while simultaneously boosting out of phase signals. Design a differential. Difference Amplifier Output Waveform.
From projectiot123.com
Operational Amplifier as the Summing Amplifier Difference Amplifier Output Waveform In this case, the first input is a 60 hz signal, and the second input is a. The differential amplifier is a voltage subtractor circuit which produces an output voltage proportional to the voltage difference of two input signals. In short, a differential amplifier suppresses in phase signals while simultaneously boosting out of phase signals. Design a differential amplifier based. Difference Amplifier Output Waveform.
From e2e.ti.com
OPA1632 Complete differential amplifier opa1632, the output waveform Difference Amplifier Output Waveform Design a differential amplifier based on the input and output voltage level requirements. The differential amplifier is a voltage subtractor circuit which produces an output voltage proportional to the voltage difference of two input signals. The differential amplifier, also known as the difference amplifier, is a universal linear processing. In this case, the first input is a 60 hz signal,. Difference Amplifier Output Waveform.
From www.numerade.com
SOLVED Figure 2(a) depicts the schematic diagram of an ideal opamp Difference Amplifier Output Waveform Design a differential amplifier based on the input and output voltage level requirements. This circuit outputs the difference in voltage between two input signals. In this case, the first input is a 60 hz signal, and the second input is a. This can be a very. In short, a differential amplifier suppresses in phase signals while simultaneously boosting out of. Difference Amplifier Output Waveform.
From www.researchgate.net
Waveforms of input voltage (v ) and output voltage (v ) of CMOS classE Difference Amplifier Output Waveform This circuit outputs the difference in voltage between two input signals. Design a differential amplifier based on the input and output voltage level requirements. The differential amplifier, also known as the difference amplifier, is a universal linear processing. This can be a very. The differential amplifier is a voltage subtractor circuit which produces an output voltage proportional to the voltage. Difference Amplifier Output Waveform.
From www.researchgate.net
3 Theoretical amplifier output wave form Download Scientific Diagram Difference Amplifier Output Waveform This innovative approach can achieve. This can be a very. In this case, the first input is a 60 hz signal, and the second input is a. Design a differential amplifier based on the input and output voltage level requirements. The differential amplifier is a voltage subtractor circuit which produces an output voltage proportional to the voltage difference of two. Difference Amplifier Output Waveform.
From www.hackatronic.com
outputwaveformofanopampdifferentiator » Hackatronic Difference Amplifier Output Waveform This can be a very. In short, a differential amplifier suppresses in phase signals while simultaneously boosting out of phase signals. The differential amplifier is a voltage subtractor circuit which produces an output voltage proportional to the voltage difference of two input signals. This innovative approach can achieve. This circuit outputs the difference in voltage between two input signals. The. Difference Amplifier Output Waveform.
From www.researchgate.net
Input and output waveforms of the proposed differentiator. Download Difference Amplifier Output Waveform This can be a very. This circuit outputs the difference in voltage between two input signals. This innovative approach can achieve. In short, a differential amplifier suppresses in phase signals while simultaneously boosting out of phase signals. Design a differential amplifier based on the input and output voltage level requirements. In this case, the first input is a 60 hz. Difference Amplifier Output Waveform.
From www.youtube.com
OPAmp as Differential Amplifier (Subtractor), Explained with Examples Difference Amplifier Output Waveform The differential amplifier is a voltage subtractor circuit which produces an output voltage proportional to the voltage difference of two input signals. Design a differential amplifier based on the input and output voltage level requirements. In short, a differential amplifier suppresses in phase signals while simultaneously boosting out of phase signals. This innovative approach can achieve. The differential amplifier, also. Difference Amplifier Output Waveform.
From www.youtube.com
OP AMP sine wave, square wave input differentiator experiment by Difference Amplifier Output Waveform This can be a very. The differential amplifier is a voltage subtractor circuit which produces an output voltage proportional to the voltage difference of two input signals. Design a differential amplifier based on the input and output voltage level requirements. The differential amplifier, also known as the difference amplifier, is a universal linear processing. This innovative approach can achieve. In. Difference Amplifier Output Waveform.
From www.youtube.com
Inverting Vs Noninverting amplifier Comparison Circuit and output Difference Amplifier Output Waveform In this case, the first input is a 60 hz signal, and the second input is a. This circuit outputs the difference in voltage between two input signals. The differential amplifier, also known as the difference amplifier, is a universal linear processing. This can be a very. The differential amplifier is a voltage subtractor circuit which produces an output voltage. Difference Amplifier Output Waveform.
From www.slideserve.com
PPT POWER AMPLIFIERS… Cont PowerPoint Presentation, free download Difference Amplifier Output Waveform This circuit outputs the difference in voltage between two input signals. Design a differential amplifier based on the input and output voltage level requirements. In short, a differential amplifier suppresses in phase signals while simultaneously boosting out of phase signals. The differential amplifier, also known as the difference amplifier, is a universal linear processing. In this case, the first input. Difference Amplifier Output Waveform.
From electrosome.com
Differential Amplifier using Transistors Difference Amplifier Output Waveform In this case, the first input is a 60 hz signal, and the second input is a. This innovative approach can achieve. This circuit outputs the difference in voltage between two input signals. The differential amplifier, also known as the difference amplifier, is a universal linear processing. The differential amplifier is a voltage subtractor circuit which produces an output voltage. Difference Amplifier Output Waveform.
From slidetodoc.com
Chapter 7 Differential Amplifiers and Integrated Circuit IC Difference Amplifier Output Waveform Design a differential amplifier based on the input and output voltage level requirements. In short, a differential amplifier suppresses in phase signals while simultaneously boosting out of phase signals. The differential amplifier is a voltage subtractor circuit which produces an output voltage proportional to the voltage difference of two input signals. This circuit outputs the difference in voltage between two. Difference Amplifier Output Waveform.
From www.researchgate.net
Measured output waveforms of the amplifier with proposed compensation Difference Amplifier Output Waveform This innovative approach can achieve. In short, a differential amplifier suppresses in phase signals while simultaneously boosting out of phase signals. This can be a very. The differential amplifier is a voltage subtractor circuit which produces an output voltage proportional to the voltage difference of two input signals. This circuit outputs the difference in voltage between two input signals. In. Difference Amplifier Output Waveform.
From www.hackatronic.com
non inverting amplifier input and output waveform » Hackatronic Difference Amplifier Output Waveform This innovative approach can achieve. The differential amplifier is a voltage subtractor circuit which produces an output voltage proportional to the voltage difference of two input signals. In short, a differential amplifier suppresses in phase signals while simultaneously boosting out of phase signals. This circuit outputs the difference in voltage between two input signals. This can be a very. In. Difference Amplifier Output Waveform.
From www.youtube.com
Op amp Differentiator Differentiator Differentiator Circuit Difference Amplifier Output Waveform This innovative approach can achieve. Design a differential amplifier based on the input and output voltage level requirements. In short, a differential amplifier suppresses in phase signals while simultaneously boosting out of phase signals. This can be a very. The differential amplifier is a voltage subtractor circuit which produces an output voltage proportional to the voltage difference of two input. Difference Amplifier Output Waveform.
From www.electronics-lab.com
Amplifier Classes Difference Amplifier Output Waveform The differential amplifier is a voltage subtractor circuit which produces an output voltage proportional to the voltage difference of two input signals. In this case, the first input is a 60 hz signal, and the second input is a. In short, a differential amplifier suppresses in phase signals while simultaneously boosting out of phase signals. Design a differential amplifier based. Difference Amplifier Output Waveform.
From www.chegg.com
Solved 2. Below figure shows the differential amplifier and Difference Amplifier Output Waveform In short, a differential amplifier suppresses in phase signals while simultaneously boosting out of phase signals. In this case, the first input is a 60 hz signal, and the second input is a. This circuit outputs the difference in voltage between two input signals. This innovative approach can achieve. The differential amplifier is a voltage subtractor circuit which produces an. Difference Amplifier Output Waveform.
From www.numerade.com
SOLVED a) Explain the modes of operation of a differential amplifier Difference Amplifier Output Waveform The differential amplifier is a voltage subtractor circuit which produces an output voltage proportional to the voltage difference of two input signals. Design a differential amplifier based on the input and output voltage level requirements. This can be a very. This circuit outputs the difference in voltage between two input signals. This innovative approach can achieve. In short, a differential. Difference Amplifier Output Waveform.
From www.hackatronic.com
Inverting amplifier (OPAMPs) » Electronics tutorial Difference Amplifier Output Waveform In short, a differential amplifier suppresses in phase signals while simultaneously boosting out of phase signals. This circuit outputs the difference in voltage between two input signals. The differential amplifier is a voltage subtractor circuit which produces an output voltage proportional to the voltage difference of two input signals. This can be a very. In this case, the first input. Difference Amplifier Output Waveform.
From circuitlistjames.z21.web.core.windows.net
Op Amp Differentiator Circuit Diagram Difference Amplifier Output Waveform The differential amplifier, also known as the difference amplifier, is a universal linear processing. This circuit outputs the difference in voltage between two input signals. This innovative approach can achieve. Design a differential amplifier based on the input and output voltage level requirements. The differential amplifier is a voltage subtractor circuit which produces an output voltage proportional to the voltage. Difference Amplifier Output Waveform.
From www.chegg.com
Solved P3.1) Consider the difference amplifier circuit shown Difference Amplifier Output Waveform The differential amplifier is a voltage subtractor circuit which produces an output voltage proportional to the voltage difference of two input signals. In short, a differential amplifier suppresses in phase signals while simultaneously boosting out of phase signals. The differential amplifier, also known as the difference amplifier, is a universal linear processing. This circuit outputs the difference in voltage between. Difference Amplifier Output Waveform.