Are Helmets Required For Motorcycle Riders In Nebraska . They wear eye protection while riding; Am i required to wear a. under the bill, nonresidents who are 21 or older and ride without a helmet no longer are required to show proof of. nebraska’s law does require riders be over 21 and take a basic motorcycle safety course to ride without a. They have completed a basic motorcycle safety course. a bill modifying nebraska’s motorcycle helmet law advanced to select file march 5. starting january 1, 2024, individuals are permitted to ride without a helmet in the state of nebraska if they fulfill the following conditions: They are 21 years of age or older; The bill also eliminated the requirement that. motorcycle riders in nebraska will no longer be required to wear a helmet while riding in the state come january — so long as they submit proof of a basic motorcycle safety course to. 1, motorcyclists 21 or older were allowed to ride helmetless after completing the state’s basic motorcycle education course. am i required to wear a motorcycle helmet while riding a motorcycle in nebraska? it says riders who are 21 or older and have a license after may 1 do not have to wear a helmet if they complete the full basic safety course.
from butlerfirm.com
a bill modifying nebraska’s motorcycle helmet law advanced to select file march 5. Am i required to wear a. The bill also eliminated the requirement that. under the bill, nonresidents who are 21 or older and ride without a helmet no longer are required to show proof of. am i required to wear a motorcycle helmet while riding a motorcycle in nebraska? starting january 1, 2024, individuals are permitted to ride without a helmet in the state of nebraska if they fulfill the following conditions: They wear eye protection while riding; motorcycle riders in nebraska will no longer be required to wear a helmet while riding in the state come january — so long as they submit proof of a basic motorcycle safety course to. it says riders who are 21 or older and have a license after may 1 do not have to wear a helmet if they complete the full basic safety course. nebraska’s law does require riders be over 21 and take a basic motorcycle safety course to ride without a.
Are you required to wear a motorcycle helmet in Butler Kahn
Are Helmets Required For Motorcycle Riders In Nebraska They wear eye protection while riding; motorcycle riders in nebraska will no longer be required to wear a helmet while riding in the state come january — so long as they submit proof of a basic motorcycle safety course to. am i required to wear a motorcycle helmet while riding a motorcycle in nebraska? starting january 1, 2024, individuals are permitted to ride without a helmet in the state of nebraska if they fulfill the following conditions: under the bill, nonresidents who are 21 or older and ride without a helmet no longer are required to show proof of. Am i required to wear a. They wear eye protection while riding; They are 21 years of age or older; They have completed a basic motorcycle safety course. 1, motorcyclists 21 or older were allowed to ride helmetless after completing the state’s basic motorcycle education course. nebraska’s law does require riders be over 21 and take a basic motorcycle safety course to ride without a. a bill modifying nebraska’s motorcycle helmet law advanced to select file march 5. it says riders who are 21 or older and have a license after may 1 do not have to wear a helmet if they complete the full basic safety course. The bill also eliminated the requirement that.
From www.gearape.com
Mandatory Helmet Laws Across The U.S. / Helmet Laws by State Are Helmets Required For Motorcycle Riders In Nebraska under the bill, nonresidents who are 21 or older and ride without a helmet no longer are required to show proof of. a bill modifying nebraska’s motorcycle helmet law advanced to select file march 5. They have completed a basic motorcycle safety course. Am i required to wear a. am i required to wear a motorcycle helmet. Are Helmets Required For Motorcycle Riders In Nebraska.
From ltoportal.ph
What Type of Helmet Should a Rider Must Use? LTO Portal PH Are Helmets Required For Motorcycle Riders In Nebraska The bill also eliminated the requirement that. under the bill, nonresidents who are 21 or older and ride without a helmet no longer are required to show proof of. 1, motorcyclists 21 or older were allowed to ride helmetless after completing the state’s basic motorcycle education course. They have completed a basic motorcycle safety course. nebraska’s law does. Are Helmets Required For Motorcycle Riders In Nebraska.
From suntai-motorcycle.en.made-in-china.com
Carbon Helmet for Motorcycle Riders with DOT and ECE Certificates Are Helmets Required For Motorcycle Riders In Nebraska a bill modifying nebraska’s motorcycle helmet law advanced to select file march 5. starting january 1, 2024, individuals are permitted to ride without a helmet in the state of nebraska if they fulfill the following conditions: The bill also eliminated the requirement that. They have completed a basic motorcycle safety course. motorcycle riders in nebraska will no. Are Helmets Required For Motorcycle Riders In Nebraska.
From www.jbsa.mil
Safety officials urge members to follow motorcycle regulations > Joint Are Helmets Required For Motorcycle Riders In Nebraska They wear eye protection while riding; 1, motorcyclists 21 or older were allowed to ride helmetless after completing the state’s basic motorcycle education course. starting january 1, 2024, individuals are permitted to ride without a helmet in the state of nebraska if they fulfill the following conditions: under the bill, nonresidents who are 21 or older and ride. Are Helmets Required For Motorcycle Riders In Nebraska.
From www.walmart.com
FUEL Adult Motorcycle Half Helmet, Dot Approved, Gloss Black, Medium Are Helmets Required For Motorcycle Riders In Nebraska 1, motorcyclists 21 or older were allowed to ride helmetless after completing the state’s basic motorcycle education course. They have completed a basic motorcycle safety course. motorcycle riders in nebraska will no longer be required to wear a helmet while riding in the state come january — so long as they submit proof of a basic motorcycle safety course. Are Helmets Required For Motorcycle Riders In Nebraska.
From microdothelmet.co
How to Carry a Motorcycle Helmet A Comprehensive Guide for Riders Are Helmets Required For Motorcycle Riders In Nebraska They are 21 years of age or older; am i required to wear a motorcycle helmet while riding a motorcycle in nebraska? 1, motorcyclists 21 or older were allowed to ride helmetless after completing the state’s basic motorcycle education course. under the bill, nonresidents who are 21 or older and ride without a helmet no longer are required. Are Helmets Required For Motorcycle Riders In Nebraska.
From plnmedia.com
Fullface visor helmet required for motorcycle drivers, riders MMDA Are Helmets Required For Motorcycle Riders In Nebraska it says riders who are 21 or older and have a license after may 1 do not have to wear a helmet if they complete the full basic safety course. nebraska’s law does require riders be over 21 and take a basic motorcycle safety course to ride without a. motorcycle riders in nebraska will no longer be. Are Helmets Required For Motorcycle Riders In Nebraska.
From areyoupop.com
Newly licensed Delaware motorcycle riders now required to wear helmets Are Helmets Required For Motorcycle Riders In Nebraska 1, motorcyclists 21 or older were allowed to ride helmetless after completing the state’s basic motorcycle education course. a bill modifying nebraska’s motorcycle helmet law advanced to select file march 5. starting january 1, 2024, individuals are permitted to ride without a helmet in the state of nebraska if they fulfill the following conditions: it says riders. Are Helmets Required For Motorcycle Riders In Nebraska.
From www.huffmanhuffman.com
ARE MOTORCYCLE RIDERS REQUIRED TO WEAR HELMETS IN VIRGINIA? Huffman Are Helmets Required For Motorcycle Riders In Nebraska under the bill, nonresidents who are 21 or older and ride without a helmet no longer are required to show proof of. motorcycle riders in nebraska will no longer be required to wear a helmet while riding in the state come january — so long as they submit proof of a basic motorcycle safety course to. a. Are Helmets Required For Motorcycle Riders In Nebraska.
From www.goodfinancialcents.com
Motorcycle Helmet Laws by State Why You Should Wear a Helmet Are Helmets Required For Motorcycle Riders In Nebraska The bill also eliminated the requirement that. They are 21 years of age or older; motorcycle riders in nebraska will no longer be required to wear a helmet while riding in the state come january — so long as they submit proof of a basic motorcycle safety course to. They wear eye protection while riding; it says riders. Are Helmets Required For Motorcycle Riders In Nebraska.
From www.lazerhelmets.com
The 7 Different Types of Motorcycle Helmets With Pros & Cons Are Helmets Required For Motorcycle Riders In Nebraska a bill modifying nebraska’s motorcycle helmet law advanced to select file march 5. nebraska’s law does require riders be over 21 and take a basic motorcycle safety course to ride without a. it says riders who are 21 or older and have a license after may 1 do not have to wear a helmet if they complete. Are Helmets Required For Motorcycle Riders In Nebraska.
From agvsport.com
Motorcycle Helmet Styles Choose a Lid for Your Riding Mode AGVSPORT Are Helmets Required For Motorcycle Riders In Nebraska under the bill, nonresidents who are 21 or older and ride without a helmet no longer are required to show proof of. it says riders who are 21 or older and have a license after may 1 do not have to wear a helmet if they complete the full basic safety course. motorcycle riders in nebraska will. Are Helmets Required For Motorcycle Riders In Nebraska.
From www.fodsports.com
6 Different Types Of Motorcycle Helmets You Should Know Are Helmets Required For Motorcycle Riders In Nebraska a bill modifying nebraska’s motorcycle helmet law advanced to select file march 5. it says riders who are 21 or older and have a license after may 1 do not have to wear a helmet if they complete the full basic safety course. motorcycle riders in nebraska will no longer be required to wear a helmet while. Are Helmets Required For Motorcycle Riders In Nebraska.
From autozmotoz.com
Different Types of Motorcycle Helmets with PROS & CONS AutozMotoz Are Helmets Required For Motorcycle Riders In Nebraska motorcycle riders in nebraska will no longer be required to wear a helmet while riding in the state come january — so long as they submit proof of a basic motorcycle safety course to. nebraska’s law does require riders be over 21 and take a basic motorcycle safety course to ride without a. under the bill, nonresidents. Are Helmets Required For Motorcycle Riders In Nebraska.
From www.ketv.com
Nebraska motorcycle helmet law discussed Monday Are Helmets Required For Motorcycle Riders In Nebraska under the bill, nonresidents who are 21 or older and ride without a helmet no longer are required to show proof of. They wear eye protection while riding; motorcycle riders in nebraska will no longer be required to wear a helmet while riding in the state come january — so long as they submit proof of a basic. Are Helmets Required For Motorcycle Riders In Nebraska.
From www.traveling-up.com
Gear Guide Choosing a Motorcycle Helmet Travel Up Are Helmets Required For Motorcycle Riders In Nebraska it says riders who are 21 or older and have a license after may 1 do not have to wear a helmet if they complete the full basic safety course. am i required to wear a motorcycle helmet while riding a motorcycle in nebraska? The bill also eliminated the requirement that. starting january 1, 2024, individuals are. Are Helmets Required For Motorcycle Riders In Nebraska.
From reviewmotors.co
Why Are Motorcycle Riders Required To Wear Helmets Reviewmotors.co Are Helmets Required For Motorcycle Riders In Nebraska 1, motorcyclists 21 or older were allowed to ride helmetless after completing the state’s basic motorcycle education course. a bill modifying nebraska’s motorcycle helmet law advanced to select file march 5. They are 21 years of age or older; am i required to wear a motorcycle helmet while riding a motorcycle in nebraska? it says riders who. Are Helmets Required For Motorcycle Riders In Nebraska.
From www.rideapart.com
UPDATE Nebraska Motorcycle Helmet Law Repeal Isn't Law Until January 2024 Are Helmets Required For Motorcycle Riders In Nebraska 1, motorcyclists 21 or older were allowed to ride helmetless after completing the state’s basic motorcycle education course. They are 21 years of age or older; Am i required to wear a. The bill also eliminated the requirement that. nebraska’s law does require riders be over 21 and take a basic motorcycle safety course to ride without a. . Are Helmets Required For Motorcycle Riders In Nebraska.
From www.jdpower.com
Motorcycle Helmet Laws Are Helmets Required For Motorcycle Riders In Nebraska They are 21 years of age or older; starting january 1, 2024, individuals are permitted to ride without a helmet in the state of nebraska if they fulfill the following conditions: The bill also eliminated the requirement that. a bill modifying nebraska’s motorcycle helmet law advanced to select file march 5. am i required to wear a. Are Helmets Required For Motorcycle Riders In Nebraska.
From www.steelhorselaw.com
Role of Helmets in Protecting Riders Steelhorse Law Are Helmets Required For Motorcycle Riders In Nebraska They wear eye protection while riding; a bill modifying nebraska’s motorcycle helmet law advanced to select file march 5. They are 21 years of age or older; The bill also eliminated the requirement that. am i required to wear a motorcycle helmet while riding a motorcycle in nebraska? They have completed a basic motorcycle safety course. Am i. Are Helmets Required For Motorcycle Riders In Nebraska.
From www.themotoexpert.com
15 Best Dirt bike & Motocross Helmets Ultimate Buyer's Guide The Are Helmets Required For Motorcycle Riders In Nebraska starting january 1, 2024, individuals are permitted to ride without a helmet in the state of nebraska if they fulfill the following conditions: under the bill, nonresidents who are 21 or older and ride without a helmet no longer are required to show proof of. 1, motorcyclists 21 or older were allowed to ride helmetless after completing the. Are Helmets Required For Motorcycle Riders In Nebraska.
From exoofpceb.blob.core.windows.net
Safest Motorcycle To Ride at Louis Porter blog Are Helmets Required For Motorcycle Riders In Nebraska They wear eye protection while riding; it says riders who are 21 or older and have a license after may 1 do not have to wear a helmet if they complete the full basic safety course. 1, motorcyclists 21 or older were allowed to ride helmetless after completing the state’s basic motorcycle education course. They are 21 years of. Are Helmets Required For Motorcycle Riders In Nebraska.
From kassiadanyelle.pages.dev
Helmet Law States Map 2024 Kyla Shanda Are Helmets Required For Motorcycle Riders In Nebraska They have completed a basic motorcycle safety course. nebraska’s law does require riders be over 21 and take a basic motorcycle safety course to ride without a. am i required to wear a motorcycle helmet while riding a motorcycle in nebraska? it says riders who are 21 or older and have a license after may 1 do. Are Helmets Required For Motorcycle Riders In Nebraska.
From butlerfirm.com
Are you required to wear a motorcycle helmet in Butler Kahn Are Helmets Required For Motorcycle Riders In Nebraska 1, motorcyclists 21 or older were allowed to ride helmetless after completing the state’s basic motorcycle education course. it says riders who are 21 or older and have a license after may 1 do not have to wear a helmet if they complete the full basic safety course. They have completed a basic motorcycle safety course. under the. Are Helmets Required For Motorcycle Riders In Nebraska.
From www.houseofkava.com
Statistics And Facts On The Benefits Of Wearing HelmetMotorcycle Are Helmets Required For Motorcycle Riders In Nebraska nebraska’s law does require riders be over 21 and take a basic motorcycle safety course to ride without a. The bill also eliminated the requirement that. under the bill, nonresidents who are 21 or older and ride without a helmet no longer are required to show proof of. a bill modifying nebraska’s motorcycle helmet law advanced to. Are Helmets Required For Motorcycle Riders In Nebraska.
From www.fodsports.com
Understanding U.S. Motorcycle Helmet Laws By State (All You Want To Are Helmets Required For Motorcycle Riders In Nebraska nebraska’s law does require riders be over 21 and take a basic motorcycle safety course to ride without a. motorcycle riders in nebraska will no longer be required to wear a helmet while riding in the state come january — so long as they submit proof of a basic motorcycle safety course to. The bill also eliminated the. Are Helmets Required For Motorcycle Riders In Nebraska.
From www.bottlingerlaw.com
The Pros and Cons of Nebraska's Helmet Laws Personal Injury Blog Are Helmets Required For Motorcycle Riders In Nebraska am i required to wear a motorcycle helmet while riding a motorcycle in nebraska? it says riders who are 21 or older and have a license after may 1 do not have to wear a helmet if they complete the full basic safety course. They have completed a basic motorcycle safety course. a bill modifying nebraska’s motorcycle. Are Helmets Required For Motorcycle Riders In Nebraska.
From auto.yugatech.com
MMDA, HPG Reminds Riders To Wear Only "standard Protective Motorcycle Are Helmets Required For Motorcycle Riders In Nebraska nebraska’s law does require riders be over 21 and take a basic motorcycle safety course to ride without a. motorcycle riders in nebraska will no longer be required to wear a helmet while riding in the state come january — so long as they submit proof of a basic motorcycle safety course to. starting january 1, 2024,. Are Helmets Required For Motorcycle Riders In Nebraska.
From motorcycleridersfoundation.wildapricot.org
Motorcycle Riders Foundation Let Those Who Ride Decide State 33 Are Helmets Required For Motorcycle Riders In Nebraska 1, motorcyclists 21 or older were allowed to ride helmetless after completing the state’s basic motorcycle education course. it says riders who are 21 or older and have a license after may 1 do not have to wear a helmet if they complete the full basic safety course. They have completed a basic motorcycle safety course. nebraska’s law. Are Helmets Required For Motorcycle Riders In Nebraska.
From www.ketv.com
Nebraska motorcycle helmet law discussed Monday Are Helmets Required For Motorcycle Riders In Nebraska nebraska’s law does require riders be over 21 and take a basic motorcycle safety course to ride without a. Am i required to wear a. a bill modifying nebraska’s motorcycle helmet law advanced to select file march 5. They are 21 years of age or older; under the bill, nonresidents who are 21 or older and ride. Are Helmets Required For Motorcycle Riders In Nebraska.
From reviewmotors.co
Safest Type Of Motorcycle Helmet Reviewmotors.co Are Helmets Required For Motorcycle Riders In Nebraska motorcycle riders in nebraska will no longer be required to wear a helmet while riding in the state come january — so long as they submit proof of a basic motorcycle safety course to. They have completed a basic motorcycle safety course. a bill modifying nebraska’s motorcycle helmet law advanced to select file march 5. The bill also. Are Helmets Required For Motorcycle Riders In Nebraska.
From themotoblog.com
Top 8 Best Motorcycle Rides in Nebraska My Ultimate Guide for Riders Are Helmets Required For Motorcycle Riders In Nebraska They wear eye protection while riding; The bill also eliminated the requirement that. am i required to wear a motorcycle helmet while riding a motorcycle in nebraska? nebraska’s law does require riders be over 21 and take a basic motorcycle safety course to ride without a. starting january 1, 2024, individuals are permitted to ride without a. Are Helmets Required For Motorcycle Riders In Nebraska.
From webmotor.org
Do You Have To Wear A Helmet When Riding Motorcycle Are Helmets Required For Motorcycle Riders In Nebraska am i required to wear a motorcycle helmet while riding a motorcycle in nebraska? They are 21 years of age or older; a bill modifying nebraska’s motorcycle helmet law advanced to select file march 5. under the bill, nonresidents who are 21 or older and ride without a helmet no longer are required to show proof of.. Are Helmets Required For Motorcycle Riders In Nebraska.
From www.scribd.com
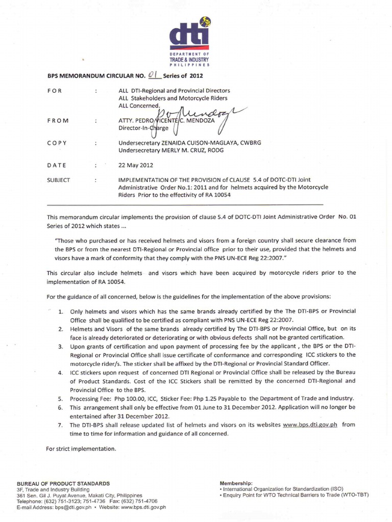
Helmets Required To Motorcycle Riders PDF Are Helmets Required For Motorcycle Riders In Nebraska it says riders who are 21 or older and have a license after may 1 do not have to wear a helmet if they complete the full basic safety course. nebraska’s law does require riders be over 21 and take a basic motorcycle safety course to ride without a. starting january 1, 2024, individuals are permitted to. Are Helmets Required For Motorcycle Riders In Nebraska.
From www.bestbeginnermotorcycles.com
Ultimate Guide to Motorcycle Helmets Types, Features, Styles & Prices Are Helmets Required For Motorcycle Riders In Nebraska it says riders who are 21 or older and have a license after may 1 do not have to wear a helmet if they complete the full basic safety course. They have completed a basic motorcycle safety course. They wear eye protection while riding; motorcycle riders in nebraska will no longer be required to wear a helmet while. Are Helmets Required For Motorcycle Riders In Nebraska.