Copper Wire Temperature Coefficient . A platinum resistance thermometer has a resistance r0 = 50.0 ω at t0=20 oc. It reflects changes in the.  this handbook is a revision of the copper wire tables previously published as nbs circular 31.  temperature coefficient of resistivity.  resistivity and temperature coefficient at 20 c. Since the electrical resistance of a conductor such as a copper wire is dependent upon.   the temperature coefficient of resistance for copper (near room temperature) is 0.393% per degree celsius (c) meaning that for every.  the “alpha” (α) constant is known as the temperature coefficient of resistance and symbolizes the resistance change factor per degree of temperature change.
        
        from byjus.com 
     
        
        Since the electrical resistance of a conductor such as a copper wire is dependent upon. A platinum resistance thermometer has a resistance r0 = 50.0 ω at t0=20 oc.  temperature coefficient of resistivity.  the “alpha” (α) constant is known as the temperature coefficient of resistance and symbolizes the resistance change factor per degree of temperature change.   the temperature coefficient of resistance for copper (near room temperature) is 0.393% per degree celsius (c) meaning that for every.  this handbook is a revision of the copper wire tables previously published as nbs circular 31. It reflects changes in the.  resistivity and temperature coefficient at 20 c.
    
    	
            
	
		 
         
    At what temperature, the resistance of a copper wire will half 
    Copper Wire Temperature Coefficient   temperature coefficient of resistivity. It reflects changes in the. Since the electrical resistance of a conductor such as a copper wire is dependent upon.   the temperature coefficient of resistance for copper (near room temperature) is 0.393% per degree celsius (c) meaning that for every.  resistivity and temperature coefficient at 20 c.  temperature coefficient of resistivity.  the “alpha” (α) constant is known as the temperature coefficient of resistance and symbolizes the resistance change factor per degree of temperature change.  this handbook is a revision of the copper wire tables previously published as nbs circular 31. A platinum resistance thermometer has a resistance r0 = 50.0 ω at t0=20 oc.
            
	
		 
         
 
    
        From www.numerade.com 
                    SOLVEDAt what temperature will the resistance of a copper wire Copper Wire Temperature Coefficient  It reflects changes in the.   the temperature coefficient of resistance for copper (near room temperature) is 0.393% per degree celsius (c) meaning that for every.  this handbook is a revision of the copper wire tables previously published as nbs circular 31.  temperature coefficient of resistivity. Since the electrical resistance of a conductor such as a copper wire. Copper Wire Temperature Coefficient.
     
    
        From www.bartleby.com 
                    Answered Table 17.1 Resistivities and… bartleby Copper Wire Temperature Coefficient   resistivity and temperature coefficient at 20 c. Since the electrical resistance of a conductor such as a copper wire is dependent upon.   the temperature coefficient of resistance for copper (near room temperature) is 0.393% per degree celsius (c) meaning that for every. A platinum resistance thermometer has a resistance r0 = 50.0 ω at t0=20 oc.  this. Copper Wire Temperature Coefficient.
     
    
        From www.numerade.com 
                    SOLVED A copper wire has a resistance of 0.324 Qat 34.7 *C, and an Copper Wire Temperature Coefficient  It reflects changes in the. A platinum resistance thermometer has a resistance r0 = 50.0 ω at t0=20 oc.  this handbook is a revision of the copper wire tables previously published as nbs circular 31. Since the electrical resistance of a conductor such as a copper wire is dependent upon.  resistivity and temperature coefficient at 20 c. . Copper Wire Temperature Coefficient.
     
    
        From www.chegg.com 
                    Solved Resistivities and Temperature Coefficients of Copper Wire Temperature Coefficient    the temperature coefficient of resistance for copper (near room temperature) is 0.393% per degree celsius (c) meaning that for every. Since the electrical resistance of a conductor such as a copper wire is dependent upon. It reflects changes in the.  temperature coefficient of resistivity.  resistivity and temperature coefficient at 20 c. A platinum resistance thermometer has a. Copper Wire Temperature Coefficient.
     
    
        From www.toppr.com 
                    At what temperature will the resistance of a copper wire three Copper Wire Temperature Coefficient   this handbook is a revision of the copper wire tables previously published as nbs circular 31.   the temperature coefficient of resistance for copper (near room temperature) is 0.393% per degree celsius (c) meaning that for every.  the “alpha” (α) constant is known as the temperature coefficient of resistance and symbolizes the resistance change factor per degree of. Copper Wire Temperature Coefficient.
     
    
        From www.numerade.com 
                    SOLVEDAt what temperature will the resistance of a copper wire be Copper Wire Temperature Coefficient   resistivity and temperature coefficient at 20 c. A platinum resistance thermometer has a resistance r0 = 50.0 ω at t0=20 oc.  temperature coefficient of resistivity.   the temperature coefficient of resistance for copper (near room temperature) is 0.393% per degree celsius (c) meaning that for every.  this handbook is a revision of the copper wire tables previously. Copper Wire Temperature Coefficient.
     
    
        From electronics.stackexchange.com 
                    reference source for copper conductivity vs. temperature? Electrical Copper Wire Temperature Coefficient  It reflects changes in the. Since the electrical resistance of a conductor such as a copper wire is dependent upon.  resistivity and temperature coefficient at 20 c.   the temperature coefficient of resistance for copper (near room temperature) is 0.393% per degree celsius (c) meaning that for every.  the “alpha” (α) constant is known as the temperature coefficient. Copper Wire Temperature Coefficient.
     
    
        From www.chegg.com 
                    Solved Given that copper's temperature coefficient of Copper Wire Temperature Coefficient  A platinum resistance thermometer has a resistance r0 = 50.0 ω at t0=20 oc.  temperature coefficient of resistivity.  this handbook is a revision of the copper wire tables previously published as nbs circular 31. It reflects changes in the.  resistivity and temperature coefficient at 20 c. Since the electrical resistance of a conductor such as a copper. Copper Wire Temperature Coefficient.
     
    
        From ar.inspiredpencil.com 
                    Resistivity Of Copper As Function Of Temperature Copper Wire Temperature Coefficient    the temperature coefficient of resistance for copper (near room temperature) is 0.393% per degree celsius (c) meaning that for every.  resistivity and temperature coefficient at 20 c. It reflects changes in the. Since the electrical resistance of a conductor such as a copper wire is dependent upon.  this handbook is a revision of the copper wire tables. Copper Wire Temperature Coefficient.
     
    
        From www.numerade.com 
                    SOLVED At what temperature will the resistance of a copper wire Copper Wire Temperature Coefficient   resistivity and temperature coefficient at 20 c.  temperature coefficient of resistivity. Since the electrical resistance of a conductor such as a copper wire is dependent upon. It reflects changes in the.   the temperature coefficient of resistance for copper (near room temperature) is 0.393% per degree celsius (c) meaning that for every.  this handbook is a revision. Copper Wire Temperature Coefficient.
     
    
        From www.numerade.com 
                    SOLVEDA copper wire, whose crosssectional area is 1.1 ×10^6 m^2, has Copper Wire Temperature Coefficient  A platinum resistance thermometer has a resistance r0 = 50.0 ω at t0=20 oc.  temperature coefficient of resistivity. Since the electrical resistance of a conductor such as a copper wire is dependent upon.  resistivity and temperature coefficient at 20 c. It reflects changes in the.  the “alpha” (α) constant is known as the temperature coefficient of resistance. Copper Wire Temperature Coefficient.
     
    
        From www.researchgate.net 
                    Average stress in the copper wires as a function of the coefficient of Copper Wire Temperature Coefficient  It reflects changes in the.  the “alpha” (α) constant is known as the temperature coefficient of resistance and symbolizes the resistance change factor per degree of temperature change.   the temperature coefficient of resistance for copper (near room temperature) is 0.393% per degree celsius (c) meaning that for every. A platinum resistance thermometer has a resistance r0 = 50.0. Copper Wire Temperature Coefficient.
     
    
        From www.youtube.com 
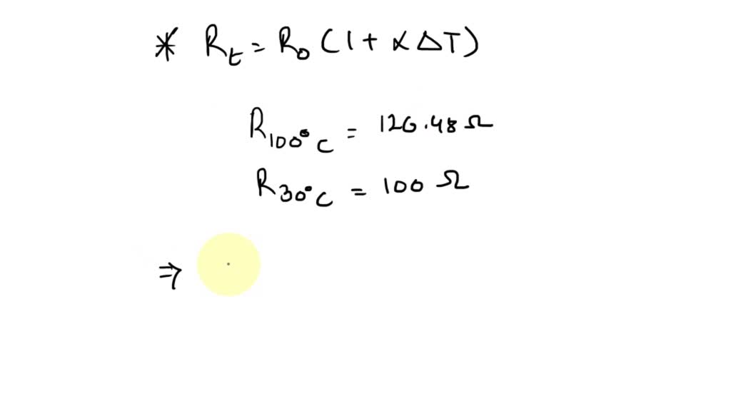
                    The resistance of copper wire at 30 °C is 50 ohms. If the temperature Copper Wire Temperature Coefficient   resistivity and temperature coefficient at 20 c. It reflects changes in the.  temperature coefficient of resistivity.   the temperature coefficient of resistance for copper (near room temperature) is 0.393% per degree celsius (c) meaning that for every. A platinum resistance thermometer has a resistance r0 = 50.0 ω at t0=20 oc.  this handbook is a revision of. Copper Wire Temperature Coefficient.
     
    
        From mathscinotes.com 
                    Linear Temperature Coefficient Resistor Math Encounters Blog Copper Wire Temperature Coefficient   this handbook is a revision of the copper wire tables previously published as nbs circular 31. Since the electrical resistance of a conductor such as a copper wire is dependent upon.   the temperature coefficient of resistance for copper (near room temperature) is 0.393% per degree celsius (c) meaning that for every. It reflects changes in the. A platinum. Copper Wire Temperature Coefficient.
     
    
        From www.toppr.com 
                    At what temperature will the resistance of a copper wire three Copper Wire Temperature Coefficient   resistivity and temperature coefficient at 20 c. Since the electrical resistance of a conductor such as a copper wire is dependent upon.  this handbook is a revision of the copper wire tables previously published as nbs circular 31. It reflects changes in the.  the “alpha” (α) constant is known as the temperature coefficient of resistance and symbolizes. Copper Wire Temperature Coefficient.
     
    
        From dxohftdza.blob.core.windows.net 
                    Copper Wire Temperature Rise at Alicia Cleveland blog Copper Wire Temperature Coefficient   resistivity and temperature coefficient at 20 c.  temperature coefficient of resistivity. A platinum resistance thermometer has a resistance r0 = 50.0 ω at t0=20 oc. It reflects changes in the.  the “alpha” (α) constant is known as the temperature coefficient of resistance and symbolizes the resistance change factor per degree of temperature change. Since the electrical resistance. Copper Wire Temperature Coefficient.
     
    
        From www.numerade.com 
                    SOLVED A copper wire has a resistance of 0.400 Ω at 20.0°C, and an Copper Wire Temperature Coefficient  Since the electrical resistance of a conductor such as a copper wire is dependent upon. A platinum resistance thermometer has a resistance r0 = 50.0 ω at t0=20 oc. It reflects changes in the.  resistivity and temperature coefficient at 20 c.  this handbook is a revision of the copper wire tables previously published as nbs circular 31. . Copper Wire Temperature Coefficient.
     
    
        From www.numerade.com 
                    SOLVED Texts the current in the wire. (Use the values in the Copper Wire Temperature Coefficient    the temperature coefficient of resistance for copper (near room temperature) is 0.393% per degree celsius (c) meaning that for every.  this handbook is a revision of the copper wire tables previously published as nbs circular 31. Since the electrical resistance of a conductor such as a copper wire is dependent upon. A platinum resistance thermometer has a resistance. Copper Wire Temperature Coefficient.
     
    
        From thewritingparent.blogspot.com 
                    Temperature Coefficient Table F Wall Decoration Copper Wire Temperature Coefficient  A platinum resistance thermometer has a resistance r0 = 50.0 ω at t0=20 oc.  resistivity and temperature coefficient at 20 c.  temperature coefficient of resistivity.   the temperature coefficient of resistance for copper (near room temperature) is 0.393% per degree celsius (c) meaning that for every.  the “alpha” (α) constant is known as the temperature coefficient of. Copper Wire Temperature Coefficient.
     
    
        From www.numerade.com 
                    SOLVED A long wire made of copper has a temperature coefficient of Copper Wire Temperature Coefficient   the “alpha” (α) constant is known as the temperature coefficient of resistance and symbolizes the resistance change factor per degree of temperature change.   the temperature coefficient of resistance for copper (near room temperature) is 0.393% per degree celsius (c) meaning that for every. It reflects changes in the.  this handbook is a revision of the copper wire. Copper Wire Temperature Coefficient.
     
    
        From fr.thptnganamst.edu.vn 
                    Découvrir 118+ imagen formule resistivité fr.thptnganamst.edu.vn Copper Wire Temperature Coefficient   resistivity and temperature coefficient at 20 c.  temperature coefficient of resistivity.   the temperature coefficient of resistance for copper (near room temperature) is 0.393% per degree celsius (c) meaning that for every.  the “alpha” (α) constant is known as the temperature coefficient of resistance and symbolizes the resistance change factor per degree of temperature change. Since the. Copper Wire Temperature Coefficient.
     
    
        From www.semanticscholar.org 
                    [PDF] The Temperature Coefficient of Resistance of Copper Semantic Copper Wire Temperature Coefficient   temperature coefficient of resistivity.  resistivity and temperature coefficient at 20 c.  the “alpha” (α) constant is known as the temperature coefficient of resistance and symbolizes the resistance change factor per degree of temperature change. Since the electrical resistance of a conductor such as a copper wire is dependent upon. A platinum resistance thermometer has a resistance r0. Copper Wire Temperature Coefficient.
     
    
        From www.toppr.com 
                    At what temperature will the resistance of a copper wire three Copper Wire Temperature Coefficient   this handbook is a revision of the copper wire tables previously published as nbs circular 31.  the “alpha” (α) constant is known as the temperature coefficient of resistance and symbolizes the resistance change factor per degree of temperature change. Since the electrical resistance of a conductor such as a copper wire is dependent upon.  resistivity and temperature. Copper Wire Temperature Coefficient.
     
    
        From www.toppr.com 
                    At what temperature will the resistance of a copper wire three Copper Wire Temperature Coefficient  It reflects changes in the.  this handbook is a revision of the copper wire tables previously published as nbs circular 31.  temperature coefficient of resistivity.  resistivity and temperature coefficient at 20 c.  the “alpha” (α) constant is known as the temperature coefficient of resistance and symbolizes the resistance change factor per degree of temperature change. Since. Copper Wire Temperature Coefficient.
     
    
        From cirris.com 
                    Temperature Coefficient of Copper Cirris Inc Copper Wire Temperature Coefficient  It reflects changes in the. Since the electrical resistance of a conductor such as a copper wire is dependent upon.  temperature coefficient of resistivity. A platinum resistance thermometer has a resistance r0 = 50.0 ω at t0=20 oc.  the “alpha” (α) constant is known as the temperature coefficient of resistance and symbolizes the resistance change factor per degree. Copper Wire Temperature Coefficient.
     
    
        From www.anyrgb.com 
                    Temperature Coefficient, thermal Resistance, copper Wire, operating Copper Wire Temperature Coefficient   resistivity and temperature coefficient at 20 c.  this handbook is a revision of the copper wire tables previously published as nbs circular 31.  the “alpha” (α) constant is known as the temperature coefficient of resistance and symbolizes the resistance change factor per degree of temperature change. It reflects changes in the.  temperature coefficient of resistivity. A. Copper Wire Temperature Coefficient.
     
    
        From www.numerade.com 
                    SOLVED '3. The resistance of 4 copper wire at 30*C is 50 ohms If the Copper Wire Temperature Coefficient   the “alpha” (α) constant is known as the temperature coefficient of resistance and symbolizes the resistance change factor per degree of temperature change.  resistivity and temperature coefficient at 20 c. It reflects changes in the.   the temperature coefficient of resistance for copper (near room temperature) is 0.393% per degree celsius (c) meaning that for every. A platinum. Copper Wire Temperature Coefficient.
     
    
        From www.chegg.com 
                    Solved Estimate the electrical resistivity of copper Copper Wire Temperature Coefficient   resistivity and temperature coefficient at 20 c.  this handbook is a revision of the copper wire tables previously published as nbs circular 31. Since the electrical resistance of a conductor such as a copper wire is dependent upon.  temperature coefficient of resistivity. A platinum resistance thermometer has a resistance r0 = 50.0 ω at t0=20 oc. It. Copper Wire Temperature Coefficient.
     
    
        From studylib.net 
                    Temperature coefficient of resistivity )] T Copper Wire Temperature Coefficient   temperature coefficient of resistivity.  this handbook is a revision of the copper wire tables previously published as nbs circular 31.  resistivity and temperature coefficient at 20 c. A platinum resistance thermometer has a resistance r0 = 50.0 ω at t0=20 oc. It reflects changes in the. Since the electrical resistance of a conductor such as a copper. Copper Wire Temperature Coefficient.
     
    
        From www.numerade.com 
                    SOLVED 'The resistance of a wire is [26.48 ohms at 400 degrees Celsius Copper Wire Temperature Coefficient  It reflects changes in the. A platinum resistance thermometer has a resistance r0 = 50.0 ω at t0=20 oc. Since the electrical resistance of a conductor such as a copper wire is dependent upon.  the “alpha” (α) constant is known as the temperature coefficient of resistance and symbolizes the resistance change factor per degree of temperature change.  this. Copper Wire Temperature Coefficient.
     
    
        From www.toppr.com 
                    At what temperature will the resistance of a copper wire three Copper Wire Temperature Coefficient  It reflects changes in the.  the “alpha” (α) constant is known as the temperature coefficient of resistance and symbolizes the resistance change factor per degree of temperature change.   the temperature coefficient of resistance for copper (near room temperature) is 0.393% per degree celsius (c) meaning that for every. A platinum resistance thermometer has a resistance r0 = 50.0. Copper Wire Temperature Coefficient.
     
    
        From byjus.com 
                    At what temperature, the resistance of a copper wire will half Copper Wire Temperature Coefficient   resistivity and temperature coefficient at 20 c.  the “alpha” (α) constant is known as the temperature coefficient of resistance and symbolizes the resistance change factor per degree of temperature change.  this handbook is a revision of the copper wire tables previously published as nbs circular 31.   the temperature coefficient of resistance for copper (near room temperature). Copper Wire Temperature Coefficient.
     
    
        From www.numerade.com 
                    The resistance of a copper wire at 30°C is 50 ohms. If the temperature Copper Wire Temperature Coefficient   temperature coefficient of resistivity.  this handbook is a revision of the copper wire tables previously published as nbs circular 31.  the “alpha” (α) constant is known as the temperature coefficient of resistance and symbolizes the resistance change factor per degree of temperature change. A platinum resistance thermometer has a resistance r0 = 50.0 ω at t0=20 oc.. Copper Wire Temperature Coefficient.
     
    
        From www.numerade.com 
                    SOLVEDA copper wire, whose crosssectional area is 1.1 ×10^6 m^2, has Copper Wire Temperature Coefficient   temperature coefficient of resistivity.  this handbook is a revision of the copper wire tables previously published as nbs circular 31. A platinum resistance thermometer has a resistance r0 = 50.0 ω at t0=20 oc.  the “alpha” (α) constant is known as the temperature coefficient of resistance and symbolizes the resistance change factor per degree of temperature change.. Copper Wire Temperature Coefficient.
     
    
        From www.numerade.com 
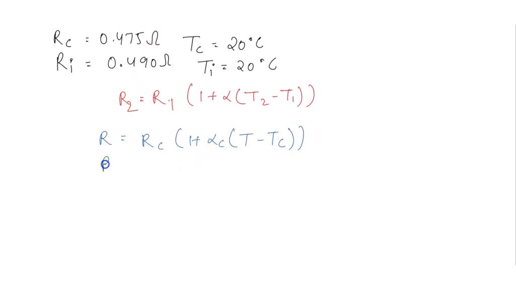
                    SOLVEDA copper wire has a resistance of 24 Ωat 20^∘ C. An aluminum Copper Wire Temperature Coefficient   this handbook is a revision of the copper wire tables previously published as nbs circular 31.  temperature coefficient of resistivity. It reflects changes in the. A platinum resistance thermometer has a resistance r0 = 50.0 ω at t0=20 oc.   the temperature coefficient of resistance for copper (near room temperature) is 0.393% per degree celsius (c) meaning that. Copper Wire Temperature Coefficient.