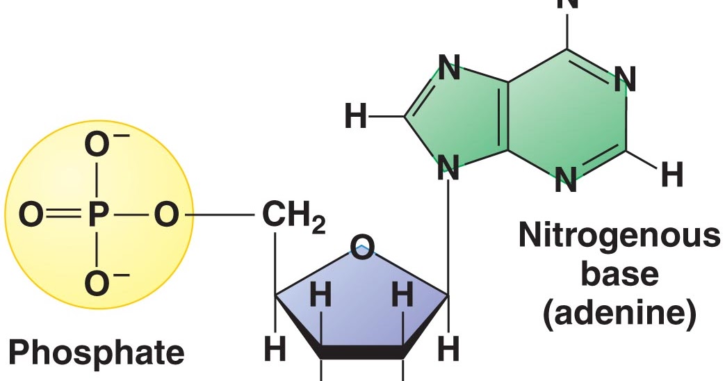
What Are The Three Main Parts Of A Rna Nucleotide . a nucleotide is made up of three parts: a nucleotide is an organic molecule that serves as the building block for nucleic acids like dna (deoxyribonucleic acid) and rna (ribonucleic acid). The four nitrogenous bases in dna are adenine,. to conclude, nucleotides are important as they form the building blocks of nucleic acids, including dna and rna. they have a cloverleaf structure that consists of a 3’ acceptor site, 5’ terminal phosphate, d arm, t arm, and anticodon arm.
from philschatz.com
a nucleotide is made up of three parts: The four nitrogenous bases in dna are adenine,. to conclude, nucleotides are important as they form the building blocks of nucleic acids, including dna and rna. a nucleotide is an organic molecule that serves as the building block for nucleic acids like dna (deoxyribonucleic acid) and rna (ribonucleic acid). they have a cloverleaf structure that consists of a 3’ acceptor site, 5’ terminal phosphate, d arm, t arm, and anticodon arm.
Structure and Function of RNA · Microbiology
What Are The Three Main Parts Of A Rna Nucleotide a nucleotide is an organic molecule that serves as the building block for nucleic acids like dna (deoxyribonucleic acid) and rna (ribonucleic acid). a nucleotide is made up of three parts: to conclude, nucleotides are important as they form the building blocks of nucleic acids, including dna and rna. they have a cloverleaf structure that consists of a 3’ acceptor site, 5’ terminal phosphate, d arm, t arm, and anticodon arm. a nucleotide is an organic molecule that serves as the building block for nucleic acids like dna (deoxyribonucleic acid) and rna (ribonucleic acid). The four nitrogenous bases in dna are adenine,.
From microbenotes.com
Nucleotide Definition, Characteristics, Biosynthesis, Functions What Are The Three Main Parts Of A Rna Nucleotide The four nitrogenous bases in dna are adenine,. to conclude, nucleotides are important as they form the building blocks of nucleic acids, including dna and rna. they have a cloverleaf structure that consists of a 3’ acceptor site, 5’ terminal phosphate, d arm, t arm, and anticodon arm. a nucleotide is an organic molecule that serves as. What Are The Three Main Parts Of A Rna Nucleotide.
From sciencenotes.org
What Are the Three Parts of a Nucleotide? What Are The Three Main Parts Of A Rna Nucleotide The four nitrogenous bases in dna are adenine,. a nucleotide is an organic molecule that serves as the building block for nucleic acids like dna (deoxyribonucleic acid) and rna (ribonucleic acid). to conclude, nucleotides are important as they form the building blocks of nucleic acids, including dna and rna. a nucleotide is made up of three parts:. What Are The Three Main Parts Of A Rna Nucleotide.
From www.toppr.com
How do you draw a nucleotide and label its three basic parts? What Are The Three Main Parts Of A Rna Nucleotide they have a cloverleaf structure that consists of a 3’ acceptor site, 5’ terminal phosphate, d arm, t arm, and anticodon arm. a nucleotide is an organic molecule that serves as the building block for nucleic acids like dna (deoxyribonucleic acid) and rna (ribonucleic acid). a nucleotide is made up of three parts: to conclude, nucleotides. What Are The Three Main Parts Of A Rna Nucleotide.
From www.geeksforgeeks.org
Polynucleotide Chain Structure and Formation What Are The Three Main Parts Of A Rna Nucleotide they have a cloverleaf structure that consists of a 3’ acceptor site, 5’ terminal phosphate, d arm, t arm, and anticodon arm. The four nitrogenous bases in dna are adenine,. to conclude, nucleotides are important as they form the building blocks of nucleic acids, including dna and rna. a nucleotide is an organic molecule that serves as. What Are The Three Main Parts Of A Rna Nucleotide.
From www.biologyexams4u.com
Which are the 3 components of RNA nucleotide? Types of bonds in a RNA nucleotide. What Are The Three Main Parts Of A Rna Nucleotide a nucleotide is an organic molecule that serves as the building block for nucleic acids like dna (deoxyribonucleic acid) and rna (ribonucleic acid). a nucleotide is made up of three parts: to conclude, nucleotides are important as they form the building blocks of nucleic acids, including dna and rna. The four nitrogenous bases in dna are adenine,.. What Are The Three Main Parts Of A Rna Nucleotide.
From byjus.com
Nucleotide Structure, Examples and Function What Are The Three Main Parts Of A Rna Nucleotide they have a cloverleaf structure that consists of a 3’ acceptor site, 5’ terminal phosphate, d arm, t arm, and anticodon arm. a nucleotide is an organic molecule that serves as the building block for nucleic acids like dna (deoxyribonucleic acid) and rna (ribonucleic acid). to conclude, nucleotides are important as they form the building blocks of. What Are The Three Main Parts Of A Rna Nucleotide.
From momentumclubs.org
😀 Components of rna nucleotide. Nucleotides in DNA. 20190216 What Are The Three Main Parts Of A Rna Nucleotide The four nitrogenous bases in dna are adenine,. a nucleotide is an organic molecule that serves as the building block for nucleic acids like dna (deoxyribonucleic acid) and rna (ribonucleic acid). to conclude, nucleotides are important as they form the building blocks of nucleic acids, including dna and rna. they have a cloverleaf structure that consists of. What Are The Three Main Parts Of A Rna Nucleotide.
From www.sliderbase.com
Nucleic Acids Presentation Biology What Are The Three Main Parts Of A Rna Nucleotide to conclude, nucleotides are important as they form the building blocks of nucleic acids, including dna and rna. The four nitrogenous bases in dna are adenine,. a nucleotide is an organic molecule that serves as the building block for nucleic acids like dna (deoxyribonucleic acid) and rna (ribonucleic acid). they have a cloverleaf structure that consists of. What Are The Three Main Parts Of A Rna Nucleotide.
From www.priyamstudycentre.com
Nucleotide DNA and RNA Structure, Synthesis What Are The Three Main Parts Of A Rna Nucleotide a nucleotide is an organic molecule that serves as the building block for nucleic acids like dna (deoxyribonucleic acid) and rna (ribonucleic acid). a nucleotide is made up of three parts: The four nitrogenous bases in dna are adenine,. they have a cloverleaf structure that consists of a 3’ acceptor site, 5’ terminal phosphate, d arm, t. What Are The Three Main Parts Of A Rna Nucleotide.
From allinallnews.com
Nucleic Acids — Knowing A Little About Your DNA and RNA What Are The Three Main Parts Of A Rna Nucleotide to conclude, nucleotides are important as they form the building blocks of nucleic acids, including dna and rna. they have a cloverleaf structure that consists of a 3’ acceptor site, 5’ terminal phosphate, d arm, t arm, and anticodon arm. a nucleotide is an organic molecule that serves as the building block for nucleic acids like dna. What Are The Three Main Parts Of A Rna Nucleotide.
From saylordotorg.github.io
Nucleotides What Are The Three Main Parts Of A Rna Nucleotide they have a cloverleaf structure that consists of a 3’ acceptor site, 5’ terminal phosphate, d arm, t arm, and anticodon arm. to conclude, nucleotides are important as they form the building blocks of nucleic acids, including dna and rna. a nucleotide is made up of three parts: a nucleotide is an organic molecule that serves. What Are The Three Main Parts Of A Rna Nucleotide.
From www.slideserve.com
PPT RNA and Protein Synthesis PowerPoint Presentation, free download ID5896301 What Are The Three Main Parts Of A Rna Nucleotide a nucleotide is an organic molecule that serves as the building block for nucleic acids like dna (deoxyribonucleic acid) and rna (ribonucleic acid). a nucleotide is made up of three parts: they have a cloverleaf structure that consists of a 3’ acceptor site, 5’ terminal phosphate, d arm, t arm, and anticodon arm. The four nitrogenous bases. What Are The Three Main Parts Of A Rna Nucleotide.
From www.slideserve.com
PPT DNA, RNA and Protein Synthesis Review PowerPoint Presentation, free download ID6611882 What Are The Three Main Parts Of A Rna Nucleotide to conclude, nucleotides are important as they form the building blocks of nucleic acids, including dna and rna. The four nitrogenous bases in dna are adenine,. a nucleotide is an organic molecule that serves as the building block for nucleic acids like dna (deoxyribonucleic acid) and rna (ribonucleic acid). they have a cloverleaf structure that consists of. What Are The Three Main Parts Of A Rna Nucleotide.
From pdfprof.com
draw the structure of a nucleotide and label the parts What Are The Three Main Parts Of A Rna Nucleotide to conclude, nucleotides are important as they form the building blocks of nucleic acids, including dna and rna. The four nitrogenous bases in dna are adenine,. a nucleotide is an organic molecule that serves as the building block for nucleic acids like dna (deoxyribonucleic acid) and rna (ribonucleic acid). they have a cloverleaf structure that consists of. What Are The Three Main Parts Of A Rna Nucleotide.
From www.numerade.com
SOLVED Texts DNA Structure 1. List 3 structural differences between DNA and RNA. 2. Label the What Are The Three Main Parts Of A Rna Nucleotide a nucleotide is an organic molecule that serves as the building block for nucleic acids like dna (deoxyribonucleic acid) and rna (ribonucleic acid). a nucleotide is made up of three parts: to conclude, nucleotides are important as they form the building blocks of nucleic acids, including dna and rna. they have a cloverleaf structure that consists. What Are The Three Main Parts Of A Rna Nucleotide.
From wade-kreese.blogspot.com
What Are the Three Main Parts of an Rna Nucleotide What Are The Three Main Parts Of A Rna Nucleotide they have a cloverleaf structure that consists of a 3’ acceptor site, 5’ terminal phosphate, d arm, t arm, and anticodon arm. The four nitrogenous bases in dna are adenine,. a nucleotide is made up of three parts: to conclude, nucleotides are important as they form the building blocks of nucleic acids, including dna and rna. . What Are The Three Main Parts Of A Rna Nucleotide.
From www.slideserve.com
PPT DNA/RNA/Protein Synthesis PowerPoint Presentation, free download ID2120582 What Are The Three Main Parts Of A Rna Nucleotide a nucleotide is made up of three parts: The four nitrogenous bases in dna are adenine,. to conclude, nucleotides are important as they form the building blocks of nucleic acids, including dna and rna. they have a cloverleaf structure that consists of a 3’ acceptor site, 5’ terminal phosphate, d arm, t arm, and anticodon arm. . What Are The Three Main Parts Of A Rna Nucleotide.
From www.lecturio.com
RNA Types and Structure Concise Medical Knowledge What Are The Three Main Parts Of A Rna Nucleotide to conclude, nucleotides are important as they form the building blocks of nucleic acids, including dna and rna. a nucleotide is made up of three parts: a nucleotide is an organic molecule that serves as the building block for nucleic acids like dna (deoxyribonucleic acid) and rna (ribonucleic acid). they have a cloverleaf structure that consists. What Are The Three Main Parts Of A Rna Nucleotide.
From maximus-kmays.blogspot.com
Describe the Three Structural Components of an Rna Nucleotide Monomer. What Are The Three Main Parts Of A Rna Nucleotide a nucleotide is made up of three parts: a nucleotide is an organic molecule that serves as the building block for nucleic acids like dna (deoxyribonucleic acid) and rna (ribonucleic acid). they have a cloverleaf structure that consists of a 3’ acceptor site, 5’ terminal phosphate, d arm, t arm, and anticodon arm. to conclude, nucleotides. What Are The Three Main Parts Of A Rna Nucleotide.
From philschatz.com
Structure and Function of RNA · Microbiology What Are The Three Main Parts Of A Rna Nucleotide The four nitrogenous bases in dna are adenine,. a nucleotide is an organic molecule that serves as the building block for nucleic acids like dna (deoxyribonucleic acid) and rna (ribonucleic acid). they have a cloverleaf structure that consists of a 3’ acceptor site, 5’ terminal phosphate, d arm, t arm, and anticodon arm. a nucleotide is made. What Are The Three Main Parts Of A Rna Nucleotide.
From www.biologyexams4u.com
Which are the 3 components of DNA nucleotide? Types of bonds in a DNA nucleotide. What Are The Three Main Parts Of A Rna Nucleotide a nucleotide is made up of three parts: The four nitrogenous bases in dna are adenine,. a nucleotide is an organic molecule that serves as the building block for nucleic acids like dna (deoxyribonucleic acid) and rna (ribonucleic acid). to conclude, nucleotides are important as they form the building blocks of nucleic acids, including dna and rna.. What Are The Three Main Parts Of A Rna Nucleotide.
From www.vrogue.co
What Are The Three Parts Of A Nucleotide Albert Io vrogue.co What Are The Three Main Parts Of A Rna Nucleotide a nucleotide is an organic molecule that serves as the building block for nucleic acids like dna (deoxyribonucleic acid) and rna (ribonucleic acid). a nucleotide is made up of three parts: to conclude, nucleotides are important as they form the building blocks of nucleic acids, including dna and rna. The four nitrogenous bases in dna are adenine,.. What Are The Three Main Parts Of A Rna Nucleotide.
From opentextbc.ca
Structure and Function of RNA Microbiology What Are The Three Main Parts Of A Rna Nucleotide they have a cloverleaf structure that consists of a 3’ acceptor site, 5’ terminal phosphate, d arm, t arm, and anticodon arm. a nucleotide is made up of three parts: a nucleotide is an organic molecule that serves as the building block for nucleic acids like dna (deoxyribonucleic acid) and rna (ribonucleic acid). to conclude, nucleotides. What Are The Three Main Parts Of A Rna Nucleotide.
From quizturbinates.z21.web.core.windows.net
Where Is The Rna Made What Are The Three Main Parts Of A Rna Nucleotide a nucleotide is an organic molecule that serves as the building block for nucleic acids like dna (deoxyribonucleic acid) and rna (ribonucleic acid). a nucleotide is made up of three parts: they have a cloverleaf structure that consists of a 3’ acceptor site, 5’ terminal phosphate, d arm, t arm, and anticodon arm. to conclude, nucleotides. What Are The Three Main Parts Of A Rna Nucleotide.
From www.vrogue.co
3 Parts Of A Nucleotide And How They Are Connected Be vrogue.co What Are The Three Main Parts Of A Rna Nucleotide they have a cloverleaf structure that consists of a 3’ acceptor site, 5’ terminal phosphate, d arm, t arm, and anticodon arm. to conclude, nucleotides are important as they form the building blocks of nucleic acids, including dna and rna. The four nitrogenous bases in dna are adenine,. a nucleotide is made up of three parts: . What Are The Three Main Parts Of A Rna Nucleotide.
From www.sophia.org
Structure of a Nucleotide Tutorial Sophia Learning What Are The Three Main Parts Of A Rna Nucleotide a nucleotide is an organic molecule that serves as the building block for nucleic acids like dna (deoxyribonucleic acid) and rna (ribonucleic acid). they have a cloverleaf structure that consists of a 3’ acceptor site, 5’ terminal phosphate, d arm, t arm, and anticodon arm. to conclude, nucleotides are important as they form the building blocks of. What Are The Three Main Parts Of A Rna Nucleotide.
From byjus.com
Explain the structure of DNA and RNA nucleotides. What Are The Three Main Parts Of A Rna Nucleotide to conclude, nucleotides are important as they form the building blocks of nucleic acids, including dna and rna. a nucleotide is an organic molecule that serves as the building block for nucleic acids like dna (deoxyribonucleic acid) and rna (ribonucleic acid). they have a cloverleaf structure that consists of a 3’ acceptor site, 5’ terminal phosphate, d. What Are The Three Main Parts Of A Rna Nucleotide.
From dnarnanews.blogspot.com
What is Three Parts of Nucleotide ? DNA and RNA What Are The Three Main Parts Of A Rna Nucleotide to conclude, nucleotides are important as they form the building blocks of nucleic acids, including dna and rna. a nucleotide is made up of three parts: The four nitrogenous bases in dna are adenine,. a nucleotide is an organic molecule that serves as the building block for nucleic acids like dna (deoxyribonucleic acid) and rna (ribonucleic acid).. What Are The Three Main Parts Of A Rna Nucleotide.
From www.alamy.com
Chemical structure of DNA nucleotide. Three parts of a nucleotide. Phosphate group, pentose What Are The Three Main Parts Of A Rna Nucleotide they have a cloverleaf structure that consists of a 3’ acceptor site, 5’ terminal phosphate, d arm, t arm, and anticodon arm. The four nitrogenous bases in dna are adenine,. a nucleotide is an organic molecule that serves as the building block for nucleic acids like dna (deoxyribonucleic acid) and rna (ribonucleic acid). a nucleotide is made. What Are The Three Main Parts Of A Rna Nucleotide.
From old-ib.bioninja.com.au
RNA Structure What Are The Three Main Parts Of A Rna Nucleotide to conclude, nucleotides are important as they form the building blocks of nucleic acids, including dna and rna. they have a cloverleaf structure that consists of a 3’ acceptor site, 5’ terminal phosphate, d arm, t arm, and anticodon arm. The four nitrogenous bases in dna are adenine,. a nucleotide is made up of three parts: . What Are The Three Main Parts Of A Rna Nucleotide.
From sciencenotes.org
What Are the Three Parts of a Nucleotide? What Are The Three Main Parts Of A Rna Nucleotide The four nitrogenous bases in dna are adenine,. they have a cloverleaf structure that consists of a 3’ acceptor site, 5’ terminal phosphate, d arm, t arm, and anticodon arm. a nucleotide is an organic molecule that serves as the building block for nucleic acids like dna (deoxyribonucleic acid) and rna (ribonucleic acid). a nucleotide is made. What Are The Three Main Parts Of A Rna Nucleotide.
From wade-kreese.blogspot.com
What Are the Three Main Parts of an Rna Nucleotide What Are The Three Main Parts Of A Rna Nucleotide a nucleotide is an organic molecule that serves as the building block for nucleic acids like dna (deoxyribonucleic acid) and rna (ribonucleic acid). The four nitrogenous bases in dna are adenine,. they have a cloverleaf structure that consists of a 3’ acceptor site, 5’ terminal phosphate, d arm, t arm, and anticodon arm. a nucleotide is made. What Are The Three Main Parts Of A Rna Nucleotide.
From maximus-kmays.blogspot.com
Describe the Three Structural Components of an Rna Nucleotide Monomer. What Are The Three Main Parts Of A Rna Nucleotide they have a cloverleaf structure that consists of a 3’ acceptor site, 5’ terminal phosphate, d arm, t arm, and anticodon arm. a nucleotide is made up of three parts: The four nitrogenous bases in dna are adenine,. to conclude, nucleotides are important as they form the building blocks of nucleic acids, including dna and rna. . What Are The Three Main Parts Of A Rna Nucleotide.
From dnarnanews.blogspot.com
What is Three Parts of Nucleotide What Are The Three Main Parts Of A Rna Nucleotide a nucleotide is an organic molecule that serves as the building block for nucleic acids like dna (deoxyribonucleic acid) and rna (ribonucleic acid). to conclude, nucleotides are important as they form the building blocks of nucleic acids, including dna and rna. a nucleotide is made up of three parts: The four nitrogenous bases in dna are adenine,.. What Are The Three Main Parts Of A Rna Nucleotide.
From sites.google.com
Nucleic Acids Jack's AP Biology Journal What Are The Three Main Parts Of A Rna Nucleotide The four nitrogenous bases in dna are adenine,. they have a cloverleaf structure that consists of a 3’ acceptor site, 5’ terminal phosphate, d arm, t arm, and anticodon arm. to conclude, nucleotides are important as they form the building blocks of nucleic acids, including dna and rna. a nucleotide is an organic molecule that serves as. What Are The Three Main Parts Of A Rna Nucleotide.