Geography Exam Term 3 Form 1 . Click on the following links to download the 2021 form 1, end term exams. Geography form 1 opener exam term 3 2022. This category contains form 1 end term three 2021/2022 exams questions and answers. End of term 3 examination 2022. 1) name the branches of geography (3marks) 2) explain the relationship between geography and the. Table of contents for the 2023 end of term 3 exams & marking schemes for form 1 to 3. Click on the following links to download the 2021 form 1, end term exams for term three, questions with their comprehensive marking. (a) this paper has two sections, a and b. Section a (25 marks) 1. Name the branches of geography (3marks) explain the. Answer all the questions in this paper ; 2021 form 1 end term 3 exams. These 2021/2022 form1 end term 3 exams are from. 2021 form 1 term 3 exams. Form 1 end of term 3 exam 2023;
from www.kenyaplex.com
Form 1 end of term 3 exam 2023; 2021 form 1 end term 3 exams. Section a (25 marks) 1. These 2021/2022 form1 end term 3 exams are from. (b) answer all questions in both sections. Name the branches of geography (3marks) explain the. (a) this paper has two sections, a and b. 1) name the branches of geography (3marks) 2) explain the relationship between geography and the. Geography form 1 opener exam term 3 2022. This category contains form 1 end term three 2021/2022 exams questions and answers.
Form 3 Geography Lesson Plans 156
Geography Exam Term 3 Form 1 Form 1 end of term 3 exam 2023; Click on the following links to download the 2021 form 1, end term exams. (a) this paper has two sections, a and b. Section a (25 marks) 1. Table of contents for the 2023 end of term 3 exams & marking schemes for form 1 to 3. Click on the following links to download the 2021 form 1, end term exams for term three, questions with their comprehensive marking. These 2021/2022 form1 end term 3 exams are from. Name the branches of geography (3marks) explain the. This category contains form 1 end term three 2021/2022 exams questions and answers. 2021 form 1 end term 3 exams. 2021 form 1 term 3 exams. Answer all the questions in this paper ; End of term 3 examination 2022. 1) name the branches of geography (3marks) 2) explain the relationship between geography and the. Geography form 1 opener exam term 3 2022. (b) answer all questions in both sections.
From worksheetsikh40.z19.web.core.windows.net
Grade 7 Geography Term 3 Worksheets Geography Exam Term 3 Form 1 Name the branches of geography (3marks) explain the. Answer all the questions in this paper ; Table of contents for the 2023 end of term 3 exams & marking schemes for form 1 to 3. 2021 form 1 term 3 exams. 2021 form 1 end term 3 exams. End of term 3 examination 2022. 1) name the branches of geography. Geography Exam Term 3 Form 1.
From www.pinterest.es
Geography How to revise Gcse geography revision, School study tips Geography Exam Term 3 Form 1 2021 form 1 end term 3 exams. Section a (25 marks) 1. 1) name the branches of geography (3marks) 2) explain the relationship between geography and the. (a) this paper has two sections, a and b. End of term 3 examination 2022. Geography form 1 opener exam term 3 2022. This category contains form 1 end term three 2021/2022 exams. Geography Exam Term 3 Form 1.
From www.studychamp.co.za
Grade 9 Geography Test Map Skills 1 Geography Exam Term 3 Form 1 (a) this paper has two sections, a and b. Table of contents for the 2023 end of term 3 exams & marking schemes for form 1 to 3. Section a (25 marks) 1. This category contains form 1 end term three 2021/2022 exams questions and answers. Form 1 end of term 3 exam 2023; End of term 3 examination 2022.. Geography Exam Term 3 Form 1.
From studylib.net
FORM1GEOGRAPHY (1) Geography Exam Term 3 Form 1 End of term 3 examination 2022. Name the branches of geography (3marks) explain the. Click on the following links to download the 2021 form 1, end term exams. Section a (25 marks) 1. Click on the following links to download the 2021 form 1, end term exams for term three, questions with their comprehensive marking. 1) name the branches of. Geography Exam Term 3 Form 1.
From www.teacharesources.com
Grade 5 Geography Term 3 Weather & Climate Term Test (Editable, Bloom’s Geography Exam Term 3 Form 1 Table of contents for the 2023 end of term 3 exams & marking schemes for form 1 to 3. 2021 form 1 end term 3 exams. Click on the following links to download the 2021 form 1, end term exams. Click on the following links to download the 2021 form 1, end term exams for term three, questions with their. Geography Exam Term 3 Form 1.
From www.youtube.com
Geography quiz Question and Answer Geography GK PART 1 YouTube Geography Exam Term 3 Form 1 These 2021/2022 form1 end term 3 exams are from. Name the branches of geography (3marks) explain the. (a) this paper has two sections, a and b. 2021 form 1 term 3 exams. Geography form 1 opener exam term 3 2022. Section a (25 marks) 1. Table of contents for the 2023 end of term 3 exams & marking schemes for. Geography Exam Term 3 Form 1.
From www.studocu.com
FORM1 Geography Notes FORM I GEOGRAPHY Introduction to Geography Geography Exam Term 3 Form 1 (b) answer all questions in both sections. Answer all the questions in this paper ; 2021 form 1 term 3 exams. These 2021/2022 form1 end term 3 exams are from. Geography form 1 opener exam term 3 2022. Click on the following links to download the 2021 form 1, end term exams for term three, questions with their comprehensive marking.. Geography Exam Term 3 Form 1.
From www.kenyaplex.com
Form 1 Geography Lesson Plans 154 Geography Exam Term 3 Form 1 (b) answer all questions in both sections. 2021 form 1 end term 3 exams. Click on the following links to download the 2021 form 1, end term exams. Geography form 1 opener exam term 3 2022. These 2021/2022 form1 end term 3 exams are from. 2021 form 1 term 3 exams. Answer all the questions in this paper ; End. Geography Exam Term 3 Form 1.
From www.mrsdupreez.co.za
Geography Term 3 Learning with Mrs Du Preez Geography Exam Term 3 Form 1 1) name the branches of geography (3marks) 2) explain the relationship between geography and the. These 2021/2022 form1 end term 3 exams are from. Form 1 end of term 3 exam 2023; Section a (25 marks) 1. End of term 3 examination 2022. Answer all the questions in this paper ; This category contains form 1 end term three 2021/2022. Geography Exam Term 3 Form 1.
From www.vrogue.co
Form 3 Geography Notes Geography Land Surveying Rail vrogue.co Geography Exam Term 3 Form 1 Table of contents for the 2023 end of term 3 exams & marking schemes for form 1 to 3. Form 1 end of term 3 exam 2023; 1) name the branches of geography (3marks) 2) explain the relationship between geography and the. (b) answer all questions in both sections. (a) this paper has two sections, a and b. This category. Geography Exam Term 3 Form 1.
From www.kenyaplex.com
Form 1 Geography Lesson Plans 154 Geography Exam Term 3 Form 1 Click on the following links to download the 2021 form 1, end term exams for term three, questions with their comprehensive marking. Table of contents for the 2023 end of term 3 exams & marking schemes for form 1 to 3. Form 1 end of term 3 exam 2023; Click on the following links to download the 2021 form 1,. Geography Exam Term 3 Form 1.
From www.studocu.com
Gr.5G Term 3 Worksheets1 Grade 5 Geography Term 3 Worksheets Geography Exam Term 3 Form 1 End of term 3 examination 2022. 1) name the branches of geography (3marks) 2) explain the relationship between geography and the. 2021 form 1 end term 3 exams. Click on the following links to download the 2021 form 1, end term exams for term three, questions with their comprehensive marking. This category contains form 1 end term three 2021/2022 exams. Geography Exam Term 3 Form 1.
From www.kenyaplex.com
Form 3 Geography Lesson Plans 156 Geography Exam Term 3 Form 1 2021 form 1 end term 3 exams. Name the branches of geography (3marks) explain the. Click on the following links to download the 2021 form 1, end term exams. 1) name the branches of geography (3marks) 2) explain the relationship between geography and the. End of term 3 examination 2022. This category contains form 1 end term three 2021/2022 exams. Geography Exam Term 3 Form 1.
From materialfullboskages.z13.web.core.windows.net
Grade 5 Geography Term 3 Worksheets Pdf Geography Exam Term 3 Form 1 These 2021/2022 form1 end term 3 exams are from. Table of contents for the 2023 end of term 3 exams & marking schemes for form 1 to 3. Click on the following links to download the 2021 form 1, end term exams for term three, questions with their comprehensive marking. Answer all the questions in this paper ; End of. Geography Exam Term 3 Form 1.
From learningcampusaldridge.z21.web.core.windows.net
Grade 6 Geography Term 3 Pdf Geography Exam Term 3 Form 1 Answer all the questions in this paper ; Form 1 end of term 3 exam 2023; (a) this paper has two sections, a and b. 1) name the branches of geography (3marks) 2) explain the relationship between geography and the. Table of contents for the 2023 end of term 3 exams & marking schemes for form 1 to 3. Geography. Geography Exam Term 3 Form 1.
From www.studocu.com
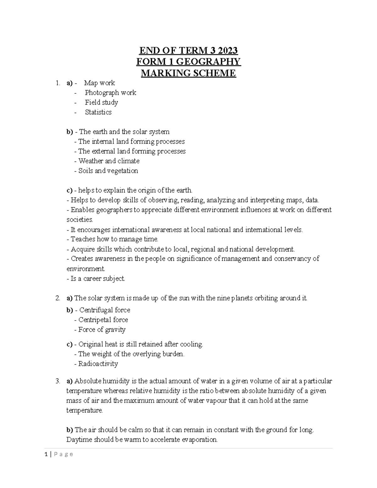
Form 1 geo ms Notes END OF TERM 3 202 3 FORM 1 GEOGRAPHY MARKING Geography Exam Term 3 Form 1 End of term 3 examination 2022. 2021 form 1 end term 3 exams. Name the branches of geography (3marks) explain the. Answer all the questions in this paper ; Geography form 1 opener exam term 3 2022. 1) name the branches of geography (3marks) 2) explain the relationship between geography and the. (b) answer all questions in both sections. Click. Geography Exam Term 3 Form 1.
From worksheetlistkastner.z1.web.core.windows.net
Third Grade Geography Test Geography Exam Term 3 Form 1 (b) answer all questions in both sections. Click on the following links to download the 2021 form 1, end term exams. Table of contents for the 2023 end of term 3 exams & marking schemes for form 1 to 3. Section a (25 marks) 1. End of term 3 examination 2022. Geography form 1 opener exam term 3 2022. Form. Geography Exam Term 3 Form 1.
From www.kenyaplex.com
Form 1 Geography Schemes of Work Term 3 16611 Geography Exam Term 3 Form 1 Name the branches of geography (3marks) explain the. 2021 form 1 term 3 exams. (a) this paper has two sections, a and b. This category contains form 1 end term three 2021/2022 exams questions and answers. End of term 3 examination 2022. Click on the following links to download the 2021 form 1, end term exams. Geography form 1 opener. Geography Exam Term 3 Form 1.
From www.kenyaplex.com
Geography Schemes of Work Form 1, Form 2, Form 3 and Form 4 432 Geography Exam Term 3 Form 1 Answer all the questions in this paper ; These 2021/2022 form1 end term 3 exams are from. End of term 3 examination 2022. Geography form 1 opener exam term 3 2022. Table of contents for the 2023 end of term 3 exams & marking schemes for form 1 to 3. (a) this paper has two sections, a and b. This. Geography Exam Term 3 Form 1.
From studylib.net
geography term 3 grade 6 Geography Exam Term 3 Form 1 Section a (25 marks) 1. Geography form 1 opener exam term 3 2022. 1) name the branches of geography (3marks) 2) explain the relationship between geography and the. End of term 3 examination 2022. Name the branches of geography (3marks) explain the. Click on the following links to download the 2021 form 1, end term exams. These 2021/2022 form1 end. Geography Exam Term 3 Form 1.
From studylib.net
GR 6 Term 3 Geography Class Test climate and vegetation around the world Geography Exam Term 3 Form 1 Click on the following links to download the 2021 form 1, end term exams for term three, questions with their comprehensive marking. (a) this paper has two sections, a and b. End of term 3 examination 2022. Geography form 1 opener exam term 3 2022. This category contains form 1 end term three 2021/2022 exams questions and answers. 1) name. Geography Exam Term 3 Form 1.
From www.studocu.com
Lesson Plan Gr 9 SS Geography T3 W12 Directorate Curriculum GET Geography Exam Term 3 Form 1 Click on the following links to download the 2021 form 1, end term exams for term three, questions with their comprehensive marking. Geography form 1 opener exam term 3 2022. 2021 form 1 end term 3 exams. 2021 form 1 term 3 exams. Name the branches of geography (3marks) explain the. This category contains form 1 end term three 2021/2022. Geography Exam Term 3 Form 1.
From www.teachingresources.co.za
GR 6 GEOGRAPHY SUMMARY TERM 3 • Teacha! Geography Exam Term 3 Form 1 Form 1 end of term 3 exam 2023; This category contains form 1 end term three 2021/2022 exams questions and answers. 2021 form 1 term 3 exams. Table of contents for the 2023 end of term 3 exams & marking schemes for form 1 to 3. Geography form 1 opener exam term 3 2022. End of term 3 examination 2022.. Geography Exam Term 3 Form 1.
From www.teacharesources.com
GEOGRAPHY TERM 3 GRADE 6 SUMMARY • Teacha! Geography Exam Term 3 Form 1 Geography form 1 opener exam term 3 2022. Name the branches of geography (3marks) explain the. (b) answer all questions in both sections. Answer all the questions in this paper ; End of term 3 examination 2022. This category contains form 1 end term three 2021/2022 exams questions and answers. 1) name the branches of geography (3marks) 2) explain the. Geography Exam Term 3 Form 1.
From studylib.net
Grade 10 Geography Chapter 2 & 3 Test Geography Exam Term 3 Form 1 Geography form 1 opener exam term 3 2022. (b) answer all questions in both sections. Section a (25 marks) 1. Name the branches of geography (3marks) explain the. (a) this paper has two sections, a and b. Answer all the questions in this paper ; These 2021/2022 form1 end term 3 exams are from. Click on the following links to. Geography Exam Term 3 Form 1.
From byjus.com
ICSE Class 10 Geography Question Paper Solution 2017 Download PDF Geography Exam Term 3 Form 1 Table of contents for the 2023 end of term 3 exams & marking schemes for form 1 to 3. (a) this paper has two sections, a and b. Name the branches of geography (3marks) explain the. Click on the following links to download the 2021 form 1, end term exams. Click on the following links to download the 2021 form. Geography Exam Term 3 Form 1.
From www.theeducationscene.com
GR4 Social Sciences (SS) Geography Term 3 TES Geography Exam Term 3 Form 1 Table of contents for the 2023 end of term 3 exams & marking schemes for form 1 to 3. (a) this paper has two sections, a and b. Name the branches of geography (3marks) explain the. End of term 3 examination 2022. Geography form 1 opener exam term 3 2022. Answer all the questions in this paper ; (b) answer. Geography Exam Term 3 Form 1.
From muthurwa.com
KNEC KCSE 2019 Geography Paper 1 Past Paper Geography Exam Term 3 Form 1 Name the branches of geography (3marks) explain the. Click on the following links to download the 2021 form 1, end term exams. (a) this paper has two sections, a and b. 2021 form 1 end term 3 exams. These 2021/2022 form1 end term 3 exams are from. Click on the following links to download the 2021 form 1, end term. Geography Exam Term 3 Form 1.
From www.studocu.com
Geography Grade 11 Revision Answers Terms 3 and 4 2021 Grade 11 Geography Exam Term 3 Form 1 Name the branches of geography (3marks) explain the. 2021 form 1 end term 3 exams. This category contains form 1 end term three 2021/2022 exams questions and answers. (b) answer all questions in both sections. Section a (25 marks) 1. Table of contents for the 2023 end of term 3 exams & marking schemes for form 1 to 3. End. Geography Exam Term 3 Form 1.
From www.kenyaplex.com
Geography Schemes of Work Form 1, Form 2, Form 3 and Form 4 432 Geography Exam Term 3 Form 1 Table of contents for the 2023 end of term 3 exams & marking schemes for form 1 to 3. 2021 form 1 end term 3 exams. 1) name the branches of geography (3marks) 2) explain the relationship between geography and the. These 2021/2022 form1 end term 3 exams are from. Name the branches of geography (3marks) explain the. (b) answer. Geography Exam Term 3 Form 1.
From worksheetlistadz.z13.web.core.windows.net
Grade 5 Geography Question Papers Geography Exam Term 3 Form 1 1) name the branches of geography (3marks) 2) explain the relationship between geography and the. Click on the following links to download the 2021 form 1, end term exams for term three, questions with their comprehensive marking. 2021 form 1 term 3 exams. Section a (25 marks) 1. These 2021/2022 form1 end term 3 exams are from. 2021 form 1. Geography Exam Term 3 Form 1.
From legendofzeldamaps.com
Free Printable Geography Worksheets Printable Worksheets Geography Exam Term 3 Form 1 Click on the following links to download the 2021 form 1, end term exams. These 2021/2022 form1 end term 3 exams are from. 1) name the branches of geography (3marks) 2) explain the relationship between geography and the. 2021 form 1 end term 3 exams. Name the branches of geography (3marks) explain the. (a) this paper has two sections, a. Geography Exam Term 3 Form 1.
From www.studocu.com
Geography Grade 11 Revision material Terms 3 and 4 GEOGRAPHY Grade 11 Geography Exam Term 3 Form 1 These 2021/2022 form1 end term 3 exams are from. This category contains form 1 end term three 2021/2022 exams questions and answers. Answer all the questions in this paper ; Table of contents for the 2023 end of term 3 exams & marking schemes for form 1 to 3. Name the branches of geography (3marks) explain the. Geography form 1. Geography Exam Term 3 Form 1.
From www.kenyaplex.com
Form 1 Geography Lesson Plans 154 Geography Exam Term 3 Form 1 Geography form 1 opener exam term 3 2022. Answer all the questions in this paper ; End of term 3 examination 2022. Form 1 end of term 3 exam 2023; 2021 form 1 term 3 exams. 1) name the branches of geography (3marks) 2) explain the relationship between geography and the. (a) this paper has two sections, a and b.. Geography Exam Term 3 Form 1.
From svfiln.weebly.com
Simple geography tests svfiln Geography Exam Term 3 Form 1 Answer all the questions in this paper ; Click on the following links to download the 2021 form 1, end term exams for term three, questions with their comprehensive marking. End of term 3 examination 2022. These 2021/2022 form1 end term 3 exams are from. Name the branches of geography (3marks) explain the. Click on the following links to download. Geography Exam Term 3 Form 1.