X=11/15 Answer . solve an equation, inequality or a system. Get help on the web or with our math app. Davneet singh has done his b.tech from indian institute of technology, kanpur. Rational numbers are in the form of p/q, where p. online math solver with free step by step solutions to algebra, calculus, and other math problems. X^{\msquare} \log_{\msquare} \sqrt{\square} \nthroot[\msquare]{\square} \le \ge \frac{\msquare}{\msquare} \cdot.
from lessonlibmorpheming.z21.web.core.windows.net
Rational numbers are in the form of p/q, where p. X^{\msquare} \log_{\msquare} \sqrt{\square} \nthroot[\msquare]{\square} \le \ge \frac{\msquare}{\msquare} \cdot. solve an equation, inequality or a system. online math solver with free step by step solutions to algebra, calculus, and other math problems. Davneet singh has done his b.tech from indian institute of technology, kanpur. Get help on the web or with our math app.
Algebra 2 Free Worksheets
X=11/15 Answer online math solver with free step by step solutions to algebra, calculus, and other math problems. Rational numbers are in the form of p/q, where p. Davneet singh has done his b.tech from indian institute of technology, kanpur. Get help on the web or with our math app. X^{\msquare} \log_{\msquare} \sqrt{\square} \nthroot[\msquare]{\square} \le \ge \frac{\msquare}{\msquare} \cdot. online math solver with free step by step solutions to algebra, calculus, and other math problems. solve an equation, inequality or a system.
From in.pinterest.com
How my girl expects me to answer her call en 2024 X=11/15 Answer X^{\msquare} \log_{\msquare} \sqrt{\square} \nthroot[\msquare]{\square} \le \ge \frac{\msquare}{\msquare} \cdot. Get help on the web or with our math app. online math solver with free step by step solutions to algebra, calculus, and other math problems. solve an equation, inequality or a system. Davneet singh has done his b.tech from indian institute of technology, kanpur. Rational numbers are in the. X=11/15 Answer.
From alljobassam.com
ADRE OMR Sheet Download 15 September Grade III Exam Answer Key All X=11/15 Answer Rational numbers are in the form of p/q, where p. solve an equation, inequality or a system. X^{\msquare} \log_{\msquare} \sqrt{\square} \nthroot[\msquare]{\square} \le \ge \frac{\msquare}{\msquare} \cdot. online math solver with free step by step solutions to algebra, calculus, and other math problems. Davneet singh has done his b.tech from indian institute of technology, kanpur. Get help on the web. X=11/15 Answer.
From template.nisma.info
Test Answer Sheet Template Free Nisma.Info X=11/15 Answer Rational numbers are in the form of p/q, where p. X^{\msquare} \log_{\msquare} \sqrt{\square} \nthroot[\msquare]{\square} \le \ge \frac{\msquare}{\msquare} \cdot. online math solver with free step by step solutions to algebra, calculus, and other math problems. Davneet singh has done his b.tech from indian institute of technology, kanpur. solve an equation, inequality or a system. Get help on the web. X=11/15 Answer.
From ar.inspiredpencil.com
Answer Sheet Template 50 Questions X=11/15 Answer X^{\msquare} \log_{\msquare} \sqrt{\square} \nthroot[\msquare]{\square} \le \ge \frac{\msquare}{\msquare} \cdot. solve an equation, inequality or a system. Rational numbers are in the form of p/q, where p. online math solver with free step by step solutions to algebra, calculus, and other math problems. Get help on the web or with our math app. Davneet singh has done his b.tech from. X=11/15 Answer.
From www.chegg.com
Solved Goodjob Company buys and sells home appliances and X=11/15 Answer online math solver with free step by step solutions to algebra, calculus, and other math problems. Rational numbers are in the form of p/q, where p. X^{\msquare} \log_{\msquare} \sqrt{\square} \nthroot[\msquare]{\square} \le \ge \frac{\msquare}{\msquare} \cdot. solve an equation, inequality or a system. Get help on the web or with our math app. Davneet singh has done his b.tech from. X=11/15 Answer.
From okcthunderwire.usatoday.com
Columbia leaders, business owners search for answers after shootings X=11/15 Answer solve an equation, inequality or a system. Rational numbers are in the form of p/q, where p. online math solver with free step by step solutions to algebra, calculus, and other math problems. Davneet singh has done his b.tech from indian institute of technology, kanpur. X^{\msquare} \log_{\msquare} \sqrt{\square} \nthroot[\msquare]{\square} \le \ge \frac{\msquare}{\msquare} \cdot. Get help on the web. X=11/15 Answer.
From www.printablemultiplication.com
Printable Multiplication Tables No Answers X=11/15 Answer Get help on the web or with our math app. online math solver with free step by step solutions to algebra, calculus, and other math problems. X^{\msquare} \log_{\msquare} \sqrt{\square} \nthroot[\msquare]{\square} \le \ge \frac{\msquare}{\msquare} \cdot. Davneet singh has done his b.tech from indian institute of technology, kanpur. Rational numbers are in the form of p/q, where p. solve an. X=11/15 Answer.
From gbu-presnenskij.ru
SOLUTION Grade Math Quiz Questions With Answers Studypool, 43 OFF X=11/15 Answer solve an equation, inequality or a system. Rational numbers are in the form of p/q, where p. X^{\msquare} \log_{\msquare} \sqrt{\square} \nthroot[\msquare]{\square} \le \ge \frac{\msquare}{\msquare} \cdot. online math solver with free step by step solutions to algebra, calculus, and other math problems. Get help on the web or with our math app. Davneet singh has done his b.tech from. X=11/15 Answer.
From gracie-reviews.blogspot.com
Check Codehs Advanced Html And Css Answers Updated 2021 Gracie X=11/15 Answer Get help on the web or with our math app. solve an equation, inequality or a system. X^{\msquare} \log_{\msquare} \sqrt{\square} \nthroot[\msquare]{\square} \le \ge \frac{\msquare}{\msquare} \cdot. Davneet singh has done his b.tech from indian institute of technology, kanpur. Rational numbers are in the form of p/q, where p. online math solver with free step by step solutions to algebra,. X=11/15 Answer.
From rocketswire.usatoday.com
Answer Man Asheville, have 244M payroll? X=11/15 Answer X^{\msquare} \log_{\msquare} \sqrt{\square} \nthroot[\msquare]{\square} \le \ge \frac{\msquare}{\msquare} \cdot. Get help on the web or with our math app. online math solver with free step by step solutions to algebra, calculus, and other math problems. Rational numbers are in the form of p/q, where p. Davneet singh has done his b.tech from indian institute of technology, kanpur. solve an. X=11/15 Answer.
From lessonlibmorpheming.z21.web.core.windows.net
Algebra 2 Free Worksheets X=11/15 Answer Get help on the web or with our math app. Davneet singh has done his b.tech from indian institute of technology, kanpur. X^{\msquare} \log_{\msquare} \sqrt{\square} \nthroot[\msquare]{\square} \le \ge \frac{\msquare}{\msquare} \cdot. Rational numbers are in the form of p/q, where p. online math solver with free step by step solutions to algebra, calculus, and other math problems. solve an. X=11/15 Answer.
From lessonschoolandra.z21.web.core.windows.net
Multiple Choice Answer Sheet Word X=11/15 Answer X^{\msquare} \log_{\msquare} \sqrt{\square} \nthroot[\msquare]{\square} \le \ge \frac{\msquare}{\msquare} \cdot. Davneet singh has done his b.tech from indian institute of technology, kanpur. Rational numbers are in the form of p/q, where p. Get help on the web or with our math app. online math solver with free step by step solutions to algebra, calculus, and other math problems. solve an. X=11/15 Answer.
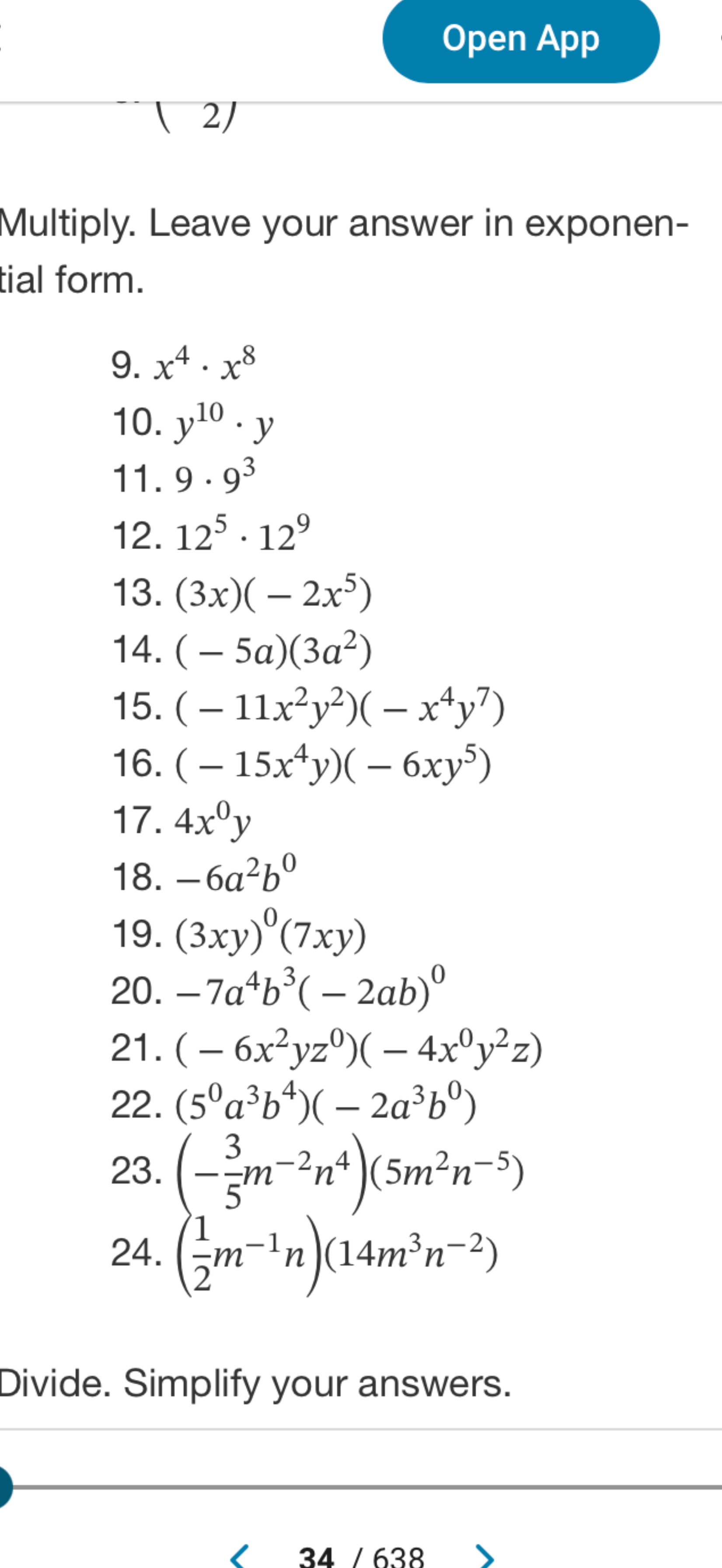
From www.chegg.com
Solved Multiply. Leave your answer in exponential X=11/15 Answer Rational numbers are in the form of p/q, where p. X^{\msquare} \log_{\msquare} \sqrt{\square} \nthroot[\msquare]{\square} \le \ge \frac{\msquare}{\msquare} \cdot. Get help on the web or with our math app. online math solver with free step by step solutions to algebra, calculus, and other math problems. solve an equation, inequality or a system. Davneet singh has done his b.tech from. X=11/15 Answer.
From learningschoolfanof208o.z22.web.core.windows.net
Exponent Questions And Answers X=11/15 Answer Rational numbers are in the form of p/q, where p. Get help on the web or with our math app. X^{\msquare} \log_{\msquare} \sqrt{\square} \nthroot[\msquare]{\square} \le \ge \frac{\msquare}{\msquare} \cdot. online math solver with free step by step solutions to algebra, calculus, and other math problems. solve an equation, inequality or a system. Davneet singh has done his b.tech from. X=11/15 Answer.
From www.aiophotoz.com
Multiplication Table With Answers Images and Photos finder X=11/15 Answer X^{\msquare} \log_{\msquare} \sqrt{\square} \nthroot[\msquare]{\square} \le \ge \frac{\msquare}{\msquare} \cdot. Get help on the web or with our math app. Davneet singh has done his b.tech from indian institute of technology, kanpur. Rational numbers are in the form of p/q, where p. solve an equation, inequality or a system. online math solver with free step by step solutions to algebra,. X=11/15 Answer.
From printableschoolschulths.z19.web.core.windows.net
Balancing Equations Worksheet 2 Answer Key X=11/15 Answer solve an equation, inequality or a system. X^{\msquare} \log_{\msquare} \sqrt{\square} \nthroot[\msquare]{\square} \le \ge \frac{\msquare}{\msquare} \cdot. online math solver with free step by step solutions to algebra, calculus, and other math problems. Davneet singh has done his b.tech from indian institute of technology, kanpur. Rational numbers are in the form of p/q, where p. Get help on the web. X=11/15 Answer.
From reviewsiq.blogspot.com
Percent Review Common Core Algebra 1 Homework Answers REVIEWSI X=11/15 Answer Davneet singh has done his b.tech from indian institute of technology, kanpur. solve an equation, inequality or a system. online math solver with free step by step solutions to algebra, calculus, and other math problems. Get help on the web or with our math app. Rational numbers are in the form of p/q, where p. X^{\msquare} \log_{\msquare} \sqrt{\square}. X=11/15 Answer.
From printablelibtrimmed.z13.web.core.windows.net
College Pre Algebra Worksheet X=11/15 Answer solve an equation, inequality or a system. online math solver with free step by step solutions to algebra, calculus, and other math problems. Get help on the web or with our math app. Rational numbers are in the form of p/q, where p. Davneet singh has done his b.tech from indian institute of technology, kanpur. X^{\msquare} \log_{\msquare} \sqrt{\square}. X=11/15 Answer.
From bazakylierutherford.blogspot.com
Mathematics Form 1 Exercise With Answer Kylie Rutherford X=11/15 Answer Rational numbers are in the form of p/q, where p. Davneet singh has done his b.tech from indian institute of technology, kanpur. X^{\msquare} \log_{\msquare} \sqrt{\square} \nthroot[\msquare]{\square} \le \ge \frac{\msquare}{\msquare} \cdot. online math solver with free step by step solutions to algebra, calculus, and other math problems. solve an equation, inequality or a system. Get help on the web. X=11/15 Answer.
From studymagiclemann.z19.web.core.windows.net
Solving Twostep Equations Worksheet Answer Key X=11/15 Answer X^{\msquare} \log_{\msquare} \sqrt{\square} \nthroot[\msquare]{\square} \le \ge \frac{\msquare}{\msquare} \cdot. Rational numbers are in the form of p/q, where p. online math solver with free step by step solutions to algebra, calculus, and other math problems. Get help on the web or with our math app. solve an equation, inequality or a system. Davneet singh has done his b.tech from. X=11/15 Answer.
From www.pinterest.it
Answers multiplication chart Multiplication chart, Multiplication X=11/15 Answer Davneet singh has done his b.tech from indian institute of technology, kanpur. solve an equation, inequality or a system. X^{\msquare} \log_{\msquare} \sqrt{\square} \nthroot[\msquare]{\square} \le \ge \frac{\msquare}{\msquare} \cdot. Rational numbers are in the form of p/q, where p. online math solver with free step by step solutions to algebra, calculus, and other math problems. Get help on the web. X=11/15 Answer.
From rocketswire.usatoday.com
Answer Man Can Creighton keep pension? Library director makes 120K? X=11/15 Answer Rational numbers are in the form of p/q, where p. Davneet singh has done his b.tech from indian institute of technology, kanpur. online math solver with free step by step solutions to algebra, calculus, and other math problems. X^{\msquare} \log_{\msquare} \sqrt{\square} \nthroot[\msquare]{\square} \le \ge \frac{\msquare}{\msquare} \cdot. solve an equation, inequality or a system. Get help on the web. X=11/15 Answer.
From www.chegg.com
Solved Solve,x12(x15)(x+8) X=11/15 Answer Get help on the web or with our math app. Davneet singh has done his b.tech from indian institute of technology, kanpur. Rational numbers are in the form of p/q, where p. X^{\msquare} \log_{\msquare} \sqrt{\square} \nthroot[\msquare]{\square} \le \ge \frac{\msquare}{\msquare} \cdot. online math solver with free step by step solutions to algebra, calculus, and other math problems. solve an. X=11/15 Answer.
From www.printablemultiplication.com
Printable Multiplication Tables No Answers X=11/15 Answer Rational numbers are in the form of p/q, where p. Get help on the web or with our math app. online math solver with free step by step solutions to algebra, calculus, and other math problems. Davneet singh has done his b.tech from indian institute of technology, kanpur. X^{\msquare} \log_{\msquare} \sqrt{\square} \nthroot[\msquare]{\square} \le \ge \frac{\msquare}{\msquare} \cdot. solve an. X=11/15 Answer.
From ncalculators.com
11 to 15 Times Tables X=11/15 Answer Get help on the web or with our math app. solve an equation, inequality or a system. online math solver with free step by step solutions to algebra, calculus, and other math problems. Davneet singh has done his b.tech from indian institute of technology, kanpur. X^{\msquare} \log_{\msquare} \sqrt{\square} \nthroot[\msquare]{\square} \le \ge \frac{\msquare}{\msquare} \cdot. Rational numbers are in the. X=11/15 Answer.
From okcthunderwire.usatoday.com
Meteorologist answers why Delaware snow forecast changed so drastically X=11/15 Answer solve an equation, inequality or a system. X^{\msquare} \log_{\msquare} \sqrt{\square} \nthroot[\msquare]{\square} \le \ge \frac{\msquare}{\msquare} \cdot. Get help on the web or with our math app. Rational numbers are in the form of p/q, where p. Davneet singh has done his b.tech from indian institute of technology, kanpur. online math solver with free step by step solutions to algebra,. X=11/15 Answer.
From materialfullackermann.z21.web.core.windows.net
Math Addition Facts Worksheets X=11/15 Answer online math solver with free step by step solutions to algebra, calculus, and other math problems. Get help on the web or with our math app. Rational numbers are in the form of p/q, where p. solve an equation, inequality or a system. Davneet singh has done his b.tech from indian institute of technology, kanpur. X^{\msquare} \log_{\msquare} \sqrt{\square}. X=11/15 Answer.
From printable.esad.edu.br
Printable Answer Sheet Pdf Printable Templates X=11/15 Answer solve an equation, inequality or a system. X^{\msquare} \log_{\msquare} \sqrt{\square} \nthroot[\msquare]{\square} \le \ge \frac{\msquare}{\msquare} \cdot. Davneet singh has done his b.tech from indian institute of technology, kanpur. online math solver with free step by step solutions to algebra, calculus, and other math problems. Get help on the web or with our math app. Rational numbers are in the. X=11/15 Answer.
From learningxollador5r.z13.web.core.windows.net
Scan Worksheets For Answer Key X=11/15 Answer Rational numbers are in the form of p/q, where p. solve an equation, inequality or a system. X^{\msquare} \log_{\msquare} \sqrt{\square} \nthroot[\msquare]{\square} \le \ge \frac{\msquare}{\msquare} \cdot. Davneet singh has done his b.tech from indian institute of technology, kanpur. online math solver with free step by step solutions to algebra, calculus, and other math problems. Get help on the web. X=11/15 Answer.
From www.scribd.com
IGCSE Mathematics Textbook Answers X=11/15 Answer solve an equation, inequality or a system. online math solver with free step by step solutions to algebra, calculus, and other math problems. Rational numbers are in the form of p/q, where p. Davneet singh has done his b.tech from indian institute of technology, kanpur. Get help on the web or with our math app. X^{\msquare} \log_{\msquare} \sqrt{\square}. X=11/15 Answer.
From printableornabubbolil1.z22.web.core.windows.net
Lesson 1.1 Practice B Geometry Answers X=11/15 Answer solve an equation, inequality or a system. Rational numbers are in the form of p/q, where p. online math solver with free step by step solutions to algebra, calculus, and other math problems. Davneet singh has done his b.tech from indian institute of technology, kanpur. Get help on the web or with our math app. X^{\msquare} \log_{\msquare} \sqrt{\square}. X=11/15 Answer.
From sixerswire.usatoday.com
Nancy Grace urges Daytona Chamber to answer 'call to action' X=11/15 Answer Rational numbers are in the form of p/q, where p. Davneet singh has done his b.tech from indian institute of technology, kanpur. online math solver with free step by step solutions to algebra, calculus, and other math problems. solve an equation, inequality or a system. Get help on the web or with our math app. X^{\msquare} \log_{\msquare} \sqrt{\square}. X=11/15 Answer.
From quizzdbbackovnc.z13.web.core.windows.net
Big Ideas Math Geometry Chapter 4 Answer Key X=11/15 Answer Rational numbers are in the form of p/q, where p. X^{\msquare} \log_{\msquare} \sqrt{\square} \nthroot[\msquare]{\square} \le \ge \frac{\msquare}{\msquare} \cdot. online math solver with free step by step solutions to algebra, calculus, and other math problems. solve an equation, inequality or a system. Davneet singh has done his b.tech from indian institute of technology, kanpur. Get help on the web. X=11/15 Answer.
From materialmediamoses.z19.web.core.windows.net
Multiplication Questions With Answers X=11/15 Answer solve an equation, inequality or a system. Get help on the web or with our math app. Davneet singh has done his b.tech from indian institute of technology, kanpur. X^{\msquare} \log_{\msquare} \sqrt{\square} \nthroot[\msquare]{\square} \le \ge \frac{\msquare}{\msquare} \cdot. Rational numbers are in the form of p/q, where p. online math solver with free step by step solutions to algebra,. X=11/15 Answer.
From circuitlibmcgowan.z21.web.core.windows.net
Math Worksheets For 6th Grade With Answers X=11/15 Answer X^{\msquare} \log_{\msquare} \sqrt{\square} \nthroot[\msquare]{\square} \le \ge \frac{\msquare}{\msquare} \cdot. Rational numbers are in the form of p/q, where p. Davneet singh has done his b.tech from indian institute of technology, kanpur. Get help on the web or with our math app. solve an equation, inequality or a system. online math solver with free step by step solutions to algebra,. X=11/15 Answer.