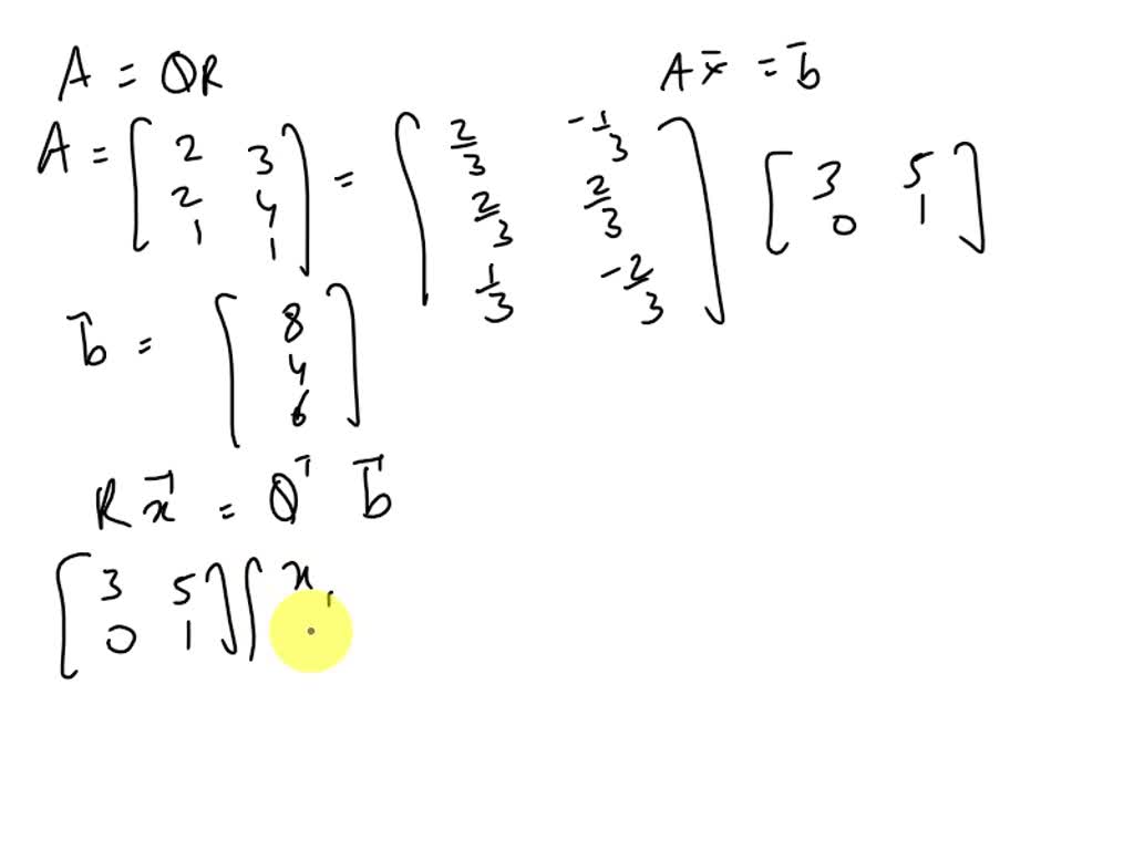
Least Squares Qr Decomposition . the qr decomposition (also called the qr factorization) of a matrix is a decomposition of a matrix into the product of an orthogonal matrix and a. I emphasize compute because ols gives us the closed from solution in the form of the normal equations. That is great, but when you want to find the actual numerical solution they aren’t really useful. orthogonal projection and least squares. the qr matrix decomposition allows us to compute the solution to the least squares problem. Here is a recap of the least squares problem. lls is a generalization of ordinary least squares, which assumes all $y$ have the same uncertainty, and also includes weighted least. whether you're performing ordinary least squares linear regression or building recommendation engines in.
from www.slideserve.com
whether you're performing ordinary least squares linear regression or building recommendation engines in. the qr matrix decomposition allows us to compute the solution to the least squares problem. lls is a generalization of ordinary least squares, which assumes all $y$ have the same uncertainty, and also includes weighted least. I emphasize compute because ols gives us the closed from solution in the form of the normal equations. That is great, but when you want to find the actual numerical solution they aren’t really useful. orthogonal projection and least squares. the qr decomposition (also called the qr factorization) of a matrix is a decomposition of a matrix into the product of an orthogonal matrix and a. Here is a recap of the least squares problem.
PPT Method of Least Squares (Least Squares Regression) PowerPoint
Least Squares Qr Decomposition the qr decomposition (also called the qr factorization) of a matrix is a decomposition of a matrix into the product of an orthogonal matrix and a. whether you're performing ordinary least squares linear regression or building recommendation engines in. the qr matrix decomposition allows us to compute the solution to the least squares problem. lls is a generalization of ordinary least squares, which assumes all $y$ have the same uncertainty, and also includes weighted least. orthogonal projection and least squares. I emphasize compute because ols gives us the closed from solution in the form of the normal equations. the qr decomposition (also called the qr factorization) of a matrix is a decomposition of a matrix into the product of an orthogonal matrix and a. That is great, but when you want to find the actual numerical solution they aren’t really useful. Here is a recap of the least squares problem.
From www.chegg.com
Solved Find a leastsquares solution to 12 from the Least Squares Qr Decomposition That is great, but when you want to find the actual numerical solution they aren’t really useful. Here is a recap of the least squares problem. whether you're performing ordinary least squares linear regression or building recommendation engines in. the qr decomposition (also called the qr factorization) of a matrix is a decomposition of a matrix into the. Least Squares Qr Decomposition.
From www.slideserve.com
PPT Linear Least Squares QR Factorization PowerPoint Presentation Least Squares Qr Decomposition That is great, but when you want to find the actual numerical solution they aren’t really useful. the qr decomposition (also called the qr factorization) of a matrix is a decomposition of a matrix into the product of an orthogonal matrix and a. whether you're performing ordinary least squares linear regression or building recommendation engines in. Here is. Least Squares Qr Decomposition.
From www.numerade.com
SOLVED A of A is given. Use it to find the least Least Squares Qr Decomposition I emphasize compute because ols gives us the closed from solution in the form of the normal equations. the qr decomposition (also called the qr factorization) of a matrix is a decomposition of a matrix into the product of an orthogonal matrix and a. orthogonal projection and least squares. whether you're performing ordinary least squares linear regression. Least Squares Qr Decomposition.
From www.reddit.com
Leastsquares via QR r/LinearAlgebra Least Squares Qr Decomposition the qr matrix decomposition allows us to compute the solution to the least squares problem. That is great, but when you want to find the actual numerical solution they aren’t really useful. Here is a recap of the least squares problem. I emphasize compute because ols gives us the closed from solution in the form of the normal equations.. Least Squares Qr Decomposition.
From www.numerade.com
SOLVEDConsider the following matrix 3 (a) Find the QR of Least Squares Qr Decomposition I emphasize compute because ols gives us the closed from solution in the form of the normal equations. the qr decomposition (also called the qr factorization) of a matrix is a decomposition of a matrix into the product of an orthogonal matrix and a. lls is a generalization of ordinary least squares, which assumes all $y$ have the. Least Squares Qr Decomposition.
From www.reddit.com
Understanding QR for iterative least squares using MATLAB Least Squares Qr Decomposition That is great, but when you want to find the actual numerical solution they aren’t really useful. the qr decomposition (also called the qr factorization) of a matrix is a decomposition of a matrix into the product of an orthogonal matrix and a. I emphasize compute because ols gives us the closed from solution in the form of the. Least Squares Qr Decomposition.
From www.chegg.com
Solved Use the factorization A QR to find the leastsquares Least Squares Qr Decomposition I emphasize compute because ols gives us the closed from solution in the form of the normal equations. Here is a recap of the least squares problem. lls is a generalization of ordinary least squares, which assumes all $y$ have the same uncertainty, and also includes weighted least. the qr matrix decomposition allows us to compute the solution. Least Squares Qr Decomposition.
From github.com
GitHub canberkakcali/leastsquaresregression Linear Least Squares Least Squares Qr Decomposition orthogonal projection and least squares. I emphasize compute because ols gives us the closed from solution in the form of the normal equations. whether you're performing ordinary least squares linear regression or building recommendation engines in. the qr decomposition (also called the qr factorization) of a matrix is a decomposition of a matrix into the product of. Least Squares Qr Decomposition.
From www.slideserve.com
PPT Linear Least Squares QR Factorization PowerPoint Presentation Least Squares Qr Decomposition Here is a recap of the least squares problem. orthogonal projection and least squares. the qr matrix decomposition allows us to compute the solution to the least squares problem. That is great, but when you want to find the actual numerical solution they aren’t really useful. I emphasize compute because ols gives us the closed from solution in. Least Squares Qr Decomposition.
From www.researchgate.net
(PDF) A fastwidelylinear leastsquares (FWLQRDRLS Least Squares Qr Decomposition the qr matrix decomposition allows us to compute the solution to the least squares problem. That is great, but when you want to find the actual numerical solution they aren’t really useful. I emphasize compute because ols gives us the closed from solution in the form of the normal equations. the qr decomposition (also called the qr factorization). Least Squares Qr Decomposition.
From math.stackexchange.com
linear algebra What does QR have to do with least Least Squares Qr Decomposition whether you're performing ordinary least squares linear regression or building recommendation engines in. I emphasize compute because ols gives us the closed from solution in the form of the normal equations. the qr matrix decomposition allows us to compute the solution to the least squares problem. orthogonal projection and least squares. Here is a recap of the. Least Squares Qr Decomposition.
From www.slideserve.com
PPT Linear Least Squares QR Factorization PowerPoint Presentation Least Squares Qr Decomposition whether you're performing ordinary least squares linear regression or building recommendation engines in. the qr decomposition (also called the qr factorization) of a matrix is a decomposition of a matrix into the product of an orthogonal matrix and a. I emphasize compute because ols gives us the closed from solution in the form of the normal equations. . Least Squares Qr Decomposition.
From www.chegg.com
Question 2 Leastsquares, QR and SVD Least Squares Qr Decomposition whether you're performing ordinary least squares linear regression or building recommendation engines in. orthogonal projection and least squares. lls is a generalization of ordinary least squares, which assumes all $y$ have the same uncertainty, and also includes weighted least. I emphasize compute because ols gives us the closed from solution in the form of the normal equations.. Least Squares Qr Decomposition.
From www.researchgate.net
(PDF) A QR based solver for the least squares problem Least Squares Qr Decomposition whether you're performing ordinary least squares linear regression or building recommendation engines in. orthogonal projection and least squares. I emphasize compute because ols gives us the closed from solution in the form of the normal equations. the qr matrix decomposition allows us to compute the solution to the least squares problem. That is great, but when you. Least Squares Qr Decomposition.
From www.youtube.com
11.3.6 Solving the Linear Leastsquares Problem Via QR Factorization Least Squares Qr Decomposition the qr decomposition (also called the qr factorization) of a matrix is a decomposition of a matrix into the product of an orthogonal matrix and a. That is great, but when you want to find the actual numerical solution they aren’t really useful. orthogonal projection and least squares. the qr matrix decomposition allows us to compute the. Least Squares Qr Decomposition.
From control.mathworks.com
QR File Exchange MATLAB Central Least Squares Qr Decomposition the qr decomposition (also called the qr factorization) of a matrix is a decomposition of a matrix into the product of an orthogonal matrix and a. the qr matrix decomposition allows us to compute the solution to the least squares problem. That is great, but when you want to find the actual numerical solution they aren’t really useful.. Least Squares Qr Decomposition.
From www.slideserve.com
PPT Method of Least Squares (Least Squares Regression) PowerPoint Least Squares Qr Decomposition the qr matrix decomposition allows us to compute the solution to the least squares problem. Here is a recap of the least squares problem. the qr decomposition (also called the qr factorization) of a matrix is a decomposition of a matrix into the product of an orthogonal matrix and a. orthogonal projection and least squares. I emphasize. Least Squares Qr Decomposition.
From www.semanticscholar.org
Figure 1 from New fast QR least squares adaptive Least Squares Qr Decomposition I emphasize compute because ols gives us the closed from solution in the form of the normal equations. the qr matrix decomposition allows us to compute the solution to the least squares problem. lls is a generalization of ordinary least squares, which assumes all $y$ have the same uncertainty, and also includes weighted least. whether you're performing. Least Squares Qr Decomposition.
From www.slideshare.net
Parallel qr Least Squares Qr Decomposition the qr matrix decomposition allows us to compute the solution to the least squares problem. the qr decomposition (also called the qr factorization) of a matrix is a decomposition of a matrix into the product of an orthogonal matrix and a. lls is a generalization of ordinary least squares, which assumes all $y$ have the same uncertainty,. Least Squares Qr Decomposition.
From www.researchgate.net
17 Performance of optimalordered QR with N T = K = 2 and Least Squares Qr Decomposition whether you're performing ordinary least squares linear regression or building recommendation engines in. the qr matrix decomposition allows us to compute the solution to the least squares problem. the qr decomposition (also called the qr factorization) of a matrix is a decomposition of a matrix into the product of an orthogonal matrix and a. I emphasize compute. Least Squares Qr Decomposition.
From www.slideserve.com
PPT Matrix and its Application in Statistics PowerPoint Least Squares Qr Decomposition I emphasize compute because ols gives us the closed from solution in the form of the normal equations. lls is a generalization of ordinary least squares, which assumes all $y$ have the same uncertainty, and also includes weighted least. the qr matrix decomposition allows us to compute the solution to the least squares problem. orthogonal projection and. Least Squares Qr Decomposition.
From www.semanticscholar.org
Figure 1 from A fastwidelylinear leastsquares (FWL Least Squares Qr Decomposition the qr matrix decomposition allows us to compute the solution to the least squares problem. lls is a generalization of ordinary least squares, which assumes all $y$ have the same uncertainty, and also includes weighted least. orthogonal projection and least squares. I emphasize compute because ols gives us the closed from solution in the form of the. Least Squares Qr Decomposition.
From www.youtube.com
Solving least Square Problem using QR YouTube Least Squares Qr Decomposition lls is a generalization of ordinary least squares, which assumes all $y$ have the same uncertainty, and also includes weighted least. Here is a recap of the least squares problem. That is great, but when you want to find the actual numerical solution they aren’t really useful. whether you're performing ordinary least squares linear regression or building recommendation. Least Squares Qr Decomposition.
From www.youtube.com
36 Solving least squares problems using QR YouTube Least Squares Qr Decomposition whether you're performing ordinary least squares linear regression or building recommendation engines in. orthogonal projection and least squares. the qr matrix decomposition allows us to compute the solution to the least squares problem. Here is a recap of the least squares problem. the qr decomposition (also called the qr factorization) of a matrix is a decomposition. Least Squares Qr Decomposition.
From www.chegg.com
Solved Problem 5 A of A is given. Use it Least Squares Qr Decomposition I emphasize compute because ols gives us the closed from solution in the form of the normal equations. That is great, but when you want to find the actual numerical solution they aren’t really useful. Here is a recap of the least squares problem. orthogonal projection and least squares. whether you're performing ordinary least squares linear regression or. Least Squares Qr Decomposition.
From www.slideserve.com
PPT Linear Least Squares QR Factorization PowerPoint Presentation Least Squares Qr Decomposition That is great, but when you want to find the actual numerical solution they aren’t really useful. Here is a recap of the least squares problem. whether you're performing ordinary least squares linear regression or building recommendation engines in. the qr decomposition (also called the qr factorization) of a matrix is a decomposition of a matrix into the. Least Squares Qr Decomposition.
From www.numerade.com
SOLVED4. Let Find of Az For the system Ax = b is Least Squares Qr Decomposition orthogonal projection and least squares. That is great, but when you want to find the actual numerical solution they aren’t really useful. the qr matrix decomposition allows us to compute the solution to the least squares problem. whether you're performing ordinary least squares linear regression or building recommendation engines in. lls is a generalization of ordinary. Least Squares Qr Decomposition.
From math.stackexchange.com
Residuals of Least Square via Full QR Factorisation Mathematics Stack Least Squares Qr Decomposition I emphasize compute because ols gives us the closed from solution in the form of the normal equations. the qr decomposition (also called the qr factorization) of a matrix is a decomposition of a matrix into the product of an orthogonal matrix and a. That is great, but when you want to find the actual numerical solution they aren’t. Least Squares Qr Decomposition.
From towardsdatascience.com
QR Matrix Factorization. Least Squares and Computation (with R… by Least Squares Qr Decomposition orthogonal projection and least squares. That is great, but when you want to find the actual numerical solution they aren’t really useful. Here is a recap of the least squares problem. the qr matrix decomposition allows us to compute the solution to the least squares problem. whether you're performing ordinary least squares linear regression or building recommendation. Least Squares Qr Decomposition.
From www.youtube.com
QR YouTube Least Squares Qr Decomposition That is great, but when you want to find the actual numerical solution they aren’t really useful. the qr decomposition (also called the qr factorization) of a matrix is a decomposition of a matrix into the product of an orthogonal matrix and a. the qr matrix decomposition allows us to compute the solution to the least squares problem.. Least Squares Qr Decomposition.
From www.chegg.com
Solved Linear LeastSquares and QR Solve the following Least Squares Qr Decomposition That is great, but when you want to find the actual numerical solution they aren’t really useful. the qr decomposition (also called the qr factorization) of a matrix is a decomposition of a matrix into the product of an orthogonal matrix and a. orthogonal projection and least squares. I emphasize compute because ols gives us the closed from. Least Squares Qr Decomposition.
From www.researchgate.net
(PDF) The inverse QR in order recursive calculation of Least Squares Qr Decomposition orthogonal projection and least squares. That is great, but when you want to find the actual numerical solution they aren’t really useful. the qr matrix decomposition allows us to compute the solution to the least squares problem. I emphasize compute because ols gives us the closed from solution in the form of the normal equations. the qr. Least Squares Qr Decomposition.
From www.slideserve.com
PPT Matrix and its Application in Statistics PowerPoint Least Squares Qr Decomposition the qr decomposition (also called the qr factorization) of a matrix is a decomposition of a matrix into the product of an orthogonal matrix and a. That is great, but when you want to find the actual numerical solution they aren’t really useful. whether you're performing ordinary least squares linear regression or building recommendation engines in. Here is. Least Squares Qr Decomposition.
From www.slideserve.com
PPT Scientific Computing Chapter 3 Linear Least squares PowerPoint Least Squares Qr Decomposition Here is a recap of the least squares problem. lls is a generalization of ordinary least squares, which assumes all $y$ have the same uncertainty, and also includes weighted least. the qr matrix decomposition allows us to compute the solution to the least squares problem. whether you're performing ordinary least squares linear regression or building recommendation engines. Least Squares Qr Decomposition.
From www.slideserve.com
PPT Linear Least Squares PowerPoint Presentation, free download ID Least Squares Qr Decomposition the qr matrix decomposition allows us to compute the solution to the least squares problem. lls is a generalization of ordinary least squares, which assumes all $y$ have the same uncertainty, and also includes weighted least. Here is a recap of the least squares problem. That is great, but when you want to find the actual numerical solution. Least Squares Qr Decomposition.