Bendix Bed In Procedure . The brake system should be inspected by a qualified. bedding your brake pads and rotors is essential if you want your brakes system to work optimally. Brake pad bedding will help optimize the overall braking performance.
from www.vividracing.com
The brake system should be inspected by a qualified. bedding your brake pads and rotors is essential if you want your brakes system to work optimally. Brake pad bedding will help optimize the overall braking performance.
How To Bed In Your New Brakes Vivid Racing News
Bendix Bed In Procedure bedding your brake pads and rotors is essential if you want your brakes system to work optimally. bedding your brake pads and rotors is essential if you want your brakes system to work optimally. Brake pad bedding will help optimize the overall braking performance. The brake system should be inspected by a qualified.
From www.vividracing.com
How To Bed In Your New Brakes Vivid Racing News Bendix Bed In Procedure The brake system should be inspected by a qualified. Brake pad bedding will help optimize the overall braking performance. bedding your brake pads and rotors is essential if you want your brakes system to work optimally. Bendix Bed In Procedure.
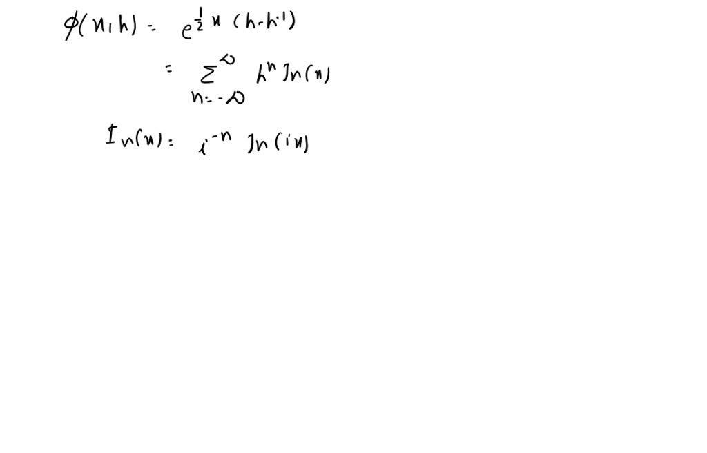
From www.numerade.com
SOLVEDApply the KnuthBendix procedure to the generators and relations Bendix Bed In Procedure The brake system should be inspected by a qualified. bedding your brake pads and rotors is essential if you want your brakes system to work optimally. Brake pad bedding will help optimize the overall braking performance. Bendix Bed In Procedure.
From usermanual.wiki
Bendix 03 A 15 Users Manual Bendix Bed In Procedure Brake pad bedding will help optimize the overall braking performance. bedding your brake pads and rotors is essential if you want your brakes system to work optimally. The brake system should be inspected by a qualified. Bendix Bed In Procedure.
From www.ttnews.com
Bendix Employees Help Build Beds for Children Transport Topics Bendix Bed In Procedure The brake system should be inspected by a qualified. bedding your brake pads and rotors is essential if you want your brakes system to work optimally. Brake pad bedding will help optimize the overall braking performance. Bendix Bed In Procedure.
From wiringall.com
Bendix Ec30 Wiring Diagram Bendix Bed In Procedure bedding your brake pads and rotors is essential if you want your brakes system to work optimally. Brake pad bedding will help optimize the overall braking performance. The brake system should be inspected by a qualified. Bendix Bed In Procedure.
From poshmark.com
Accents 1989 9 Bendix Antilock 9 And 10 Procedures Service Diagnostic Bendix Bed In Procedure The brake system should be inspected by a qualified. bedding your brake pads and rotors is essential if you want your brakes system to work optimally. Brake pad bedding will help optimize the overall braking performance. Bendix Bed In Procedure.
From www.youtube.com
Surgical Bedmaking Simplified YouTube Bendix Bed In Procedure bedding your brake pads and rotors is essential if you want your brakes system to work optimally. The brake system should be inspected by a qualified. Brake pad bedding will help optimize the overall braking performance. Bendix Bed In Procedure.
From www.manualslib.com
BENDIX 7129 INSTRUCTION BOOKLET Pdf Download ManualsLib Bendix Bed In Procedure Brake pad bedding will help optimize the overall braking performance. bedding your brake pads and rotors is essential if you want your brakes system to work optimally. The brake system should be inspected by a qualified. Bendix Bed In Procedure.
From guidelistdelixiviated.z21.web.core.windows.net
Bendix Truck Air Brake System Diagram Bendix Bed In Procedure Brake pad bedding will help optimize the overall braking performance. The brake system should be inspected by a qualified. bedding your brake pads and rotors is essential if you want your brakes system to work optimally. Bendix Bed In Procedure.
From exygsoeca.blob.core.windows.net
How Often Are Linens Changed In A Hospital Quizlet at Tony Breaux blog Bendix Bed In Procedure The brake system should be inspected by a qualified. Brake pad bedding will help optimize the overall braking performance. bedding your brake pads and rotors is essential if you want your brakes system to work optimally. Bendix Bed In Procedure.
From usermanual.wiki
Bendix 03 L 1 Users Manual Bendix Bed In Procedure Brake pad bedding will help optimize the overall braking performance. bedding your brake pads and rotors is essential if you want your brakes system to work optimally. The brake system should be inspected by a qualified. Bendix Bed In Procedure.
From www.autozone.com
Repair Guides Bendix System 10 Antilock Brake System Diagnosis Bendix Bed In Procedure Brake pad bedding will help optimize the overall braking performance. bedding your brake pads and rotors is essential if you want your brakes system to work optimally. The brake system should be inspected by a qualified. Bendix Bed In Procedure.
From usermanual.wiki
Bendix Bw7264 Users Manual BW7264a Bendix Bed In Procedure bedding your brake pads and rotors is essential if you want your brakes system to work optimally. The brake system should be inspected by a qualified. Brake pad bedding will help optimize the overall braking performance. Bendix Bed In Procedure.
From techschematic.com
Understanding the Inner Workings of a Bendix Air Brake Valve Bendix Bed In Procedure bedding your brake pads and rotors is essential if you want your brakes system to work optimally. Brake pad bedding will help optimize the overall braking performance. The brake system should be inspected by a qualified. Bendix Bed In Procedure.
From www.slideserve.com
PPT Lesson 7 Fuels And Fuel Systems PowerPoint Presentation, free Bendix Bed In Procedure bedding your brake pads and rotors is essential if you want your brakes system to work optimally. The brake system should be inspected by a qualified. Brake pad bedding will help optimize the overall braking performance. Bendix Bed In Procedure.
From www.justanswer.com
I'm in the process of rebuilding a bendix carb, am soaking parts as we Bendix Bed In Procedure bedding your brake pads and rotors is essential if you want your brakes system to work optimally. Brake pad bedding will help optimize the overall braking performance. The brake system should be inspected by a qualified. Bendix Bed In Procedure.
From www.aomci.org
Topic Testing coils, per1938 Bendix Scintilla procedure Antique Bendix Bed In Procedure Brake pad bedding will help optimize the overall braking performance. The brake system should be inspected by a qualified. bedding your brake pads and rotors is essential if you want your brakes system to work optimally. Bendix Bed In Procedure.
From usermanual.wiki
Bendix 03 J 2 Users Manual Bendix Bed In Procedure Brake pad bedding will help optimize the overall braking performance. bedding your brake pads and rotors is essential if you want your brakes system to work optimally. The brake system should be inspected by a qualified. Bendix Bed In Procedure.
From usermanual.wiki
Bendix 08 A 19 Users Manual Bendix Bed In Procedure bedding your brake pads and rotors is essential if you want your brakes system to work optimally. Brake pad bedding will help optimize the overall braking performance. The brake system should be inspected by a qualified. Bendix Bed In Procedure.
From www.sambuz.com
[PPT] KnuthBendix Completion Procedure (Rules 1) The KB procedure Bendix Bed In Procedure The brake system should be inspected by a qualified. Brake pad bedding will help optimize the overall braking performance. bedding your brake pads and rotors is essential if you want your brakes system to work optimally. Bendix Bed In Procedure.
From www.slideserve.com
PPT FIGURE 191 Bendix 9 ABS contains nine solenoids and was used on Bendix Bed In Procedure bedding your brake pads and rotors is essential if you want your brakes system to work optimally. Brake pad bedding will help optimize the overall braking performance. The brake system should be inspected by a qualified. Bendix Bed In Procedure.
From www.researchgate.net
(PDF) KnuthBendix procedure and Buchberger algorithm a synthesis Bendix Bed In Procedure Brake pad bedding will help optimize the overall braking performance. bedding your brake pads and rotors is essential if you want your brakes system to work optimally. The brake system should be inspected by a qualified. Bendix Bed In Procedure.
From exybpbafe.blob.core.windows.net
Blanket Bed Making Procedure at Paul Karnes blog Bendix Bed In Procedure Brake pad bedding will help optimize the overall braking performance. The brake system should be inspected by a qualified. bedding your brake pads and rotors is essential if you want your brakes system to work optimally. Bendix Bed In Procedure.
From www.youtube.com
Tricity Bendix AW1053W Bedding part 4 YouTube Bendix Bed In Procedure bedding your brake pads and rotors is essential if you want your brakes system to work optimally. Brake pad bedding will help optimize the overall braking performance. The brake system should be inspected by a qualified. Bendix Bed In Procedure.
From usermanual.wiki
Bendix 03 Tc 1 Users Manual Bendix Bed In Procedure bedding your brake pads and rotors is essential if you want your brakes system to work optimally. The brake system should be inspected by a qualified. Brake pad bedding will help optimize the overall braking performance. Bendix Bed In Procedure.
From usermanual.wiki
Bendix Tch 020 003 Users Manual Technical Bulletin Bendix Bed In Procedure Brake pad bedding will help optimize the overall braking performance. The brake system should be inspected by a qualified. bedding your brake pads and rotors is essential if you want your brakes system to work optimally. Bendix Bed In Procedure.
From www.semanticscholar.org
Figure 1.11 from The Bendix Datagrid Graphic Digitizing System Bendix Bed In Procedure The brake system should be inspected by a qualified. bedding your brake pads and rotors is essential if you want your brakes system to work optimally. Brake pad bedding will help optimize the overall braking performance. Bendix Bed In Procedure.
From www.youtube.com
Tricity Bendix AW1053W Bedding part 1 YouTube Bendix Bed In Procedure The brake system should be inspected by a qualified. bedding your brake pads and rotors is essential if you want your brakes system to work optimally. Brake pad bedding will help optimize the overall braking performance. Bendix Bed In Procedure.
From usermanual.wiki
Bendix 07 A 10 Users Manual Bendix Bed In Procedure Brake pad bedding will help optimize the overall braking performance. The brake system should be inspected by a qualified. bedding your brake pads and rotors is essential if you want your brakes system to work optimally. Bendix Bed In Procedure.
From usermanual.wiki
Bendix 03 A 14B Users Manual Bendix Bed In Procedure The brake system should be inspected by a qualified. bedding your brake pads and rotors is essential if you want your brakes system to work optimally. Brake pad bedding will help optimize the overall braking performance. Bendix Bed In Procedure.
From www.youtube.com
Tricity Bendix AW1053W Bedding part 2 YouTube Bendix Bed In Procedure The brake system should be inspected by a qualified. bedding your brake pads and rotors is essential if you want your brakes system to work optimally. Brake pad bedding will help optimize the overall braking performance. Bendix Bed In Procedure.
From www.youtube.com
Bed Making Procedure YouTube Bendix Bed In Procedure The brake system should be inspected by a qualified. Brake pad bedding will help optimize the overall braking performance. bedding your brake pads and rotors is essential if you want your brakes system to work optimally. Bendix Bed In Procedure.
From usermanual.wiki
Bendix Tch 003 031 Users Manual Bulletin Bendix Bed In Procedure The brake system should be inspected by a qualified. Brake pad bedding will help optimize the overall braking performance. bedding your brake pads and rotors is essential if you want your brakes system to work optimally. Bendix Bed In Procedure.
From usermanual.wiki
Bendix Bw1396 Users Manual Version Of BW1231b Released 7_31_09 New Bendix Bed In Procedure The brake system should be inspected by a qualified. bedding your brake pads and rotors is essential if you want your brakes system to work optimally. Brake pad bedding will help optimize the overall braking performance. Bendix Bed In Procedure.
From usermanual.wiki
Bendix 03 K 01 Users Manual Bendix Bed In Procedure bedding your brake pads and rotors is essential if you want your brakes system to work optimally. Brake pad bedding will help optimize the overall braking performance. The brake system should be inspected by a qualified. Bendix Bed In Procedure.