Insurance Law Practice Questions . This practice test includes a combination of single and multiple choice questions & answers to help you prepare for your exam. Enhance your learning take insurance law test & assess skills in insurance contestability, insured peril and misrepresented fact. Quiz yourself with questions and answers for insurance law exam questions, so you can be ready for test day. Explore quizzes and practice tests. Study with quizlet and memorise flashcards containing terms like which two branches of civil law have most relevance in the context of. To provide knowledge and understanding of the basic principles of insurance, including the main legal principles related to insurance contracts, the. The method of assessment for the e05 examination is 50 multiple choice questions (mcqs): 40 standard format and 10 multiple response format. You will also receive access to 50 online revision cards to help you.
from www.tests.com
40 standard format and 10 multiple response format. To provide knowledge and understanding of the basic principles of insurance, including the main legal principles related to insurance contracts, the. Explore quizzes and practice tests. This practice test includes a combination of single and multiple choice questions & answers to help you prepare for your exam. You will also receive access to 50 online revision cards to help you. Enhance your learning take insurance law test & assess skills in insurance contestability, insured peril and misrepresented fact. Quiz yourself with questions and answers for insurance law exam questions, so you can be ready for test day. Study with quizlet and memorise flashcards containing terms like which two branches of civil law have most relevance in the context of. The method of assessment for the e05 examination is 50 multiple choice questions (mcqs):
Property & Casualty Insurance Agent Practice Exam
Insurance Law Practice Questions Explore quizzes and practice tests. Study with quizlet and memorise flashcards containing terms like which two branches of civil law have most relevance in the context of. This practice test includes a combination of single and multiple choice questions & answers to help you prepare for your exam. 40 standard format and 10 multiple response format. To provide knowledge and understanding of the basic principles of insurance, including the main legal principles related to insurance contracts, the. You will also receive access to 50 online revision cards to help you. Enhance your learning take insurance law test & assess skills in insurance contestability, insured peril and misrepresented fact. Quiz yourself with questions and answers for insurance law exam questions, so you can be ready for test day. Explore quizzes and practice tests. The method of assessment for the e05 examination is 50 multiple choice questions (mcqs):
From www.thinkswap.com
General Insurance Law Complete Study Notes LAW3GIL General Insurance Law Practice Questions To provide knowledge and understanding of the basic principles of insurance, including the main legal principles related to insurance contracts, the. This practice test includes a combination of single and multiple choice questions & answers to help you prepare for your exam. The method of assessment for the e05 examination is 50 multiple choice questions (mcqs): Explore quizzes and practice. Insurance Law Practice Questions.
From www.studocu.com
1 M05 Assignment 2022 M05 coursework M05 Insurance law Mixed Insurance Law Practice Questions Study with quizlet and memorise flashcards containing terms like which two branches of civil law have most relevance in the context of. Quiz yourself with questions and answers for insurance law exam questions, so you can be ready for test day. You will also receive access to 50 online revision cards to help you. To provide knowledge and understanding of. Insurance Law Practice Questions.
From www.tests.com
Property & Casualty Insurance Agent Practice Exam Insurance Law Practice Questions 40 standard format and 10 multiple response format. Enhance your learning take insurance law test & assess skills in insurance contestability, insured peril and misrepresented fact. Explore quizzes and practice tests. To provide knowledge and understanding of the basic principles of insurance, including the main legal principles related to insurance contracts, the. This practice test includes a combination of single. Insurance Law Practice Questions.
From www.studypool.com
SOLUTION Adjuster pro insurance adjuster test exam questions and Insurance Law Practice Questions Enhance your learning take insurance law test & assess skills in insurance contestability, insured peril and misrepresented fact. This practice test includes a combination of single and multiple choice questions & answers to help you prepare for your exam. You will also receive access to 50 online revision cards to help you. The method of assessment for the e05 examination. Insurance Law Practice Questions.
From www.thinkswap.com
General Insurance Law LECTURE Notes FULL Semester LAW3GIL General Insurance Law Practice Questions The method of assessment for the e05 examination is 50 multiple choice questions (mcqs): 40 standard format and 10 multiple response format. You will also receive access to 50 online revision cards to help you. Quiz yourself with questions and answers for insurance law exam questions, so you can be ready for test day. This practice test includes a combination. Insurance Law Practice Questions.
From www.studocu.com
Insurance law previous year question papers Studocu Insurance Law Practice Questions This practice test includes a combination of single and multiple choice questions & answers to help you prepare for your exam. Explore quizzes and practice tests. You will also receive access to 50 online revision cards to help you. 40 standard format and 10 multiple response format. Study with quizlet and memorise flashcards containing terms like which two branches of. Insurance Law Practice Questions.
From www.youtube.com
Life Insurance Exam New York Free Practice Questions Part 1 YouTube Insurance Law Practice Questions The method of assessment for the e05 examination is 50 multiple choice questions (mcqs): To provide knowledge and understanding of the basic principles of insurance, including the main legal principles related to insurance contracts, the. This practice test includes a combination of single and multiple choice questions & answers to help you prepare for your exam. 40 standard format and. Insurance Law Practice Questions.
From www.studocu.com
Insurance LAW Important question INSURANCE LAW UNIT 1 Insurance Insurance Law Practice Questions Explore quizzes and practice tests. Study with quizlet and memorise flashcards containing terms like which two branches of civil law have most relevance in the context of. You will also receive access to 50 online revision cards to help you. This practice test includes a combination of single and multiple choice questions & answers to help you prepare for your. Insurance Law Practice Questions.
From www.studocu.com
InsuranceLaw KLE NOTES FOR INSURANCE LAW Class 3 LL (HONS.) II SEM Insurance Law Practice Questions Explore quizzes and practice tests. To provide knowledge and understanding of the basic principles of insurance, including the main legal principles related to insurance contracts, the. Enhance your learning take insurance law test & assess skills in insurance contestability, insured peril and misrepresented fact. The method of assessment for the e05 examination is 50 multiple choice questions (mcqs): 40 standard. Insurance Law Practice Questions.
From www.uslegalforms.com
General Insurance Exam Questions And Answers Malaysia 20202021 Fill Insurance Law Practice Questions The method of assessment for the e05 examination is 50 multiple choice questions (mcqs): You will also receive access to 50 online revision cards to help you. 40 standard format and 10 multiple response format. Study with quizlet and memorise flashcards containing terms like which two branches of civil law have most relevance in the context of. Quiz yourself with. Insurance Law Practice Questions.
From www.studocu.com
Insurance LAW Learning UNIT 1 Sections INSURANCE LAW LCIL Insurance Law Practice Questions Study with quizlet and memorise flashcards containing terms like which two branches of civil law have most relevance in the context of. This practice test includes a combination of single and multiple choice questions & answers to help you prepare for your exam. The method of assessment for the e05 examination is 50 multiple choice questions (mcqs): 40 standard format. Insurance Law Practice Questions.
From www.docsity.com
Health Insurance Exam Question & Answers. Exams Community Health Insurance Law Practice Questions To provide knowledge and understanding of the basic principles of insurance, including the main legal principles related to insurance contracts, the. This practice test includes a combination of single and multiple choice questions & answers to help you prepare for your exam. Explore quizzes and practice tests. Study with quizlet and memorise flashcards containing terms like which two branches of. Insurance Law Practice Questions.
From www.cstestseries.com
Insurance law and Practice Insurance Law Practice Questions The method of assessment for the e05 examination is 50 multiple choice questions (mcqs): Study with quizlet and memorise flashcards containing terms like which two branches of civil law have most relevance in the context of. You will also receive access to 50 online revision cards to help you. 40 standard format and 10 multiple response format. This practice test. Insurance Law Practice Questions.
From www.pinterest.com
Insurance Adjuster Exam 2022 (questions with 100 correct answers) in Insurance Law Practice Questions You will also receive access to 50 online revision cards to help you. The method of assessment for the e05 examination is 50 multiple choice questions (mcqs): To provide knowledge and understanding of the basic principles of insurance, including the main legal principles related to insurance contracts, the. Quiz yourself with questions and answers for insurance law exam questions, so. Insurance Law Practice Questions.
From www.psionlinestore.com
Property and Casualty Insurance Practice Test PSI Online Store Insurance Law Practice Questions You will also receive access to 50 online revision cards to help you. Quiz yourself with questions and answers for insurance law exam questions, so you can be ready for test day. 40 standard format and 10 multiple response format. The method of assessment for the e05 examination is 50 multiple choice questions (mcqs): This practice test includes a combination. Insurance Law Practice Questions.
From www.docsity.com
Life insurance exam with correct Answers Exams Nursing Docsity Insurance Law Practice Questions 40 standard format and 10 multiple response format. To provide knowledge and understanding of the basic principles of insurance, including the main legal principles related to insurance contracts, the. Explore quizzes and practice tests. You will also receive access to 50 online revision cards to help you. This practice test includes a combination of single and multiple choice questions &. Insurance Law Practice Questions.
From www.studocu.com
Banking & Insurance Question Paper BIPIPB 1212 I Semester One Year Insurance Law Practice Questions You will also receive access to 50 online revision cards to help you. This practice test includes a combination of single and multiple choice questions & answers to help you prepare for your exam. Study with quizlet and memorise flashcards containing terms like which two branches of civil law have most relevance in the context of. Explore quizzes and practice. Insurance Law Practice Questions.
From www.slideserve.com
PPT INSURANCE PowerPoint Presentation, free download ID3095489 Insurance Law Practice Questions 40 standard format and 10 multiple response format. Quiz yourself with questions and answers for insurance law exam questions, so you can be ready for test day. Study with quizlet and memorise flashcards containing terms like which two branches of civil law have most relevance in the context of. The method of assessment for the e05 examination is 50 multiple. Insurance Law Practice Questions.
From www.pinterest.com
Property and Casualty insurance exam questions and answers already Insurance Law Practice Questions This practice test includes a combination of single and multiple choice questions & answers to help you prepare for your exam. The method of assessment for the e05 examination is 50 multiple choice questions (mcqs): Enhance your learning take insurance law test & assess skills in insurance contestability, insured peril and misrepresented fact. To provide knowledge and understanding of the. Insurance Law Practice Questions.
From www.studypool.com
SOLUTION Important marine insurance questions and answers notes Insurance Law Practice Questions To provide knowledge and understanding of the basic principles of insurance, including the main legal principles related to insurance contracts, the. Quiz yourself with questions and answers for insurance law exam questions, so you can be ready for test day. Study with quizlet and memorise flashcards containing terms like which two branches of civil law have most relevance in the. Insurance Law Practice Questions.
From www.scribd.com
Insurance Questions and Answers Reinsurance Insurance Insurance Law Practice Questions This practice test includes a combination of single and multiple choice questions & answers to help you prepare for your exam. You will also receive access to 50 online revision cards to help you. Study with quizlet and memorise flashcards containing terms like which two branches of civil law have most relevance in the context of. To provide knowledge and. Insurance Law Practice Questions.
From www.studypool.com
SOLUTION Florida claims adjuster exam questions with correct answers Insurance Law Practice Questions Study with quizlet and memorise flashcards containing terms like which two branches of civil law have most relevance in the context of. You will also receive access to 50 online revision cards to help you. Quiz yourself with questions and answers for insurance law exam questions, so you can be ready for test day. The method of assessment for the. Insurance Law Practice Questions.
From www.pinterest.com
VA P&C Practice Exam Questions & Answers. 100 verified. Graded A Insurance Law Practice Questions The method of assessment for the e05 examination is 50 multiple choice questions (mcqs): 40 standard format and 10 multiple response format. This practice test includes a combination of single and multiple choice questions & answers to help you prepare for your exam. Explore quizzes and practice tests. Enhance your learning take insurance law test & assess skills in insurance. Insurance Law Practice Questions.
From www.studocu.com
LML4805 Insurance Law Questions and Answers UNIT 1 Lecturers Insurance Law Practice Questions You will also receive access to 50 online revision cards to help you. This practice test includes a combination of single and multiple choice questions & answers to help you prepare for your exam. Quiz yourself with questions and answers for insurance law exam questions, so you can be ready for test day. To provide knowledge and understanding of the. Insurance Law Practice Questions.
From www.studocu.com
Principles and Practice of Insurance Exam Midterm INSR 101 Insurance Law Practice Questions 40 standard format and 10 multiple response format. Study with quizlet and memorise flashcards containing terms like which two branches of civil law have most relevance in the context of. Explore quizzes and practice tests. You will also receive access to 50 online revision cards to help you. To provide knowledge and understanding of the basic principles of insurance, including. Insurance Law Practice Questions.
From www.studocu.com
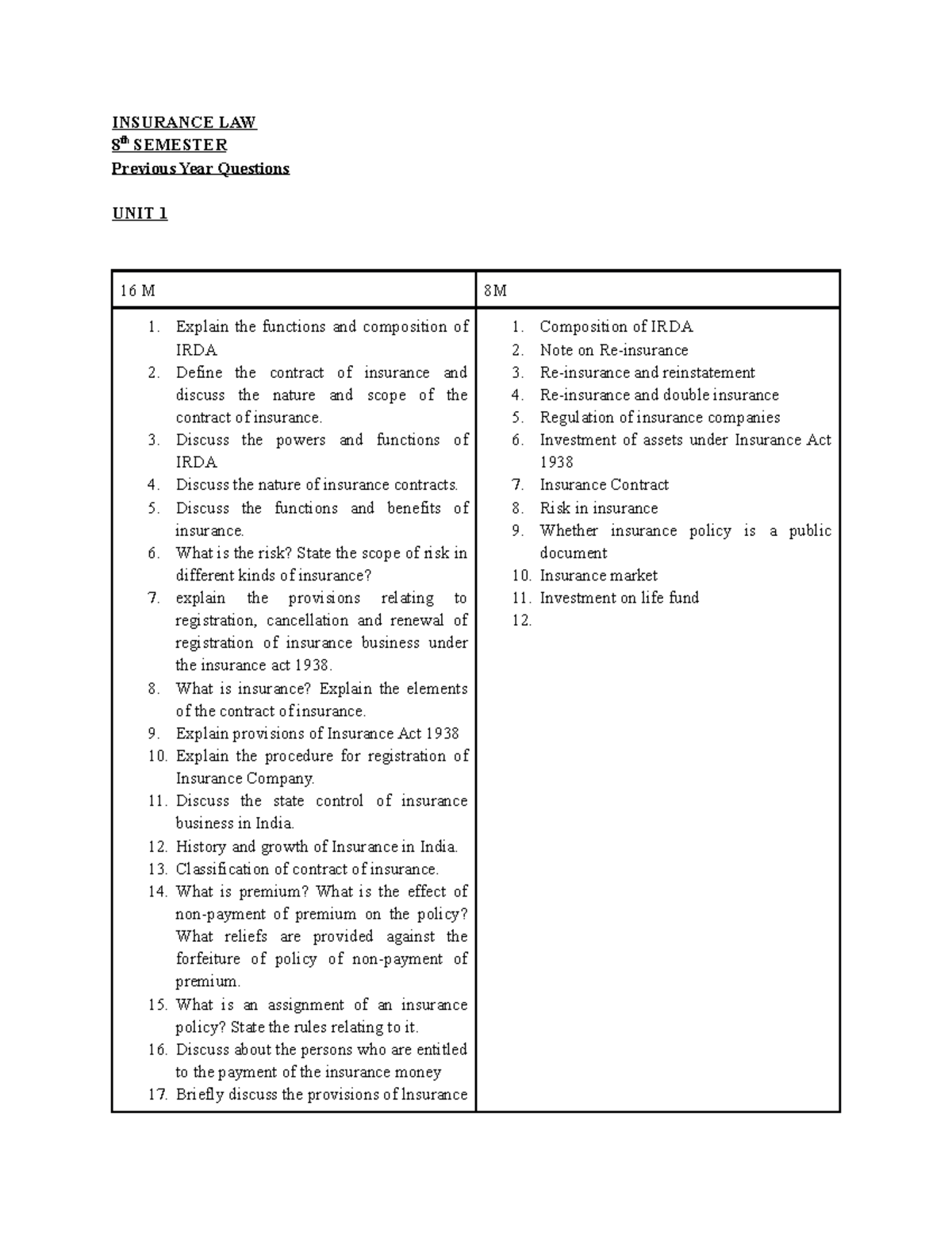
1629886936244 Insurance LAW Question Bank INSURANCE LAW 8 th Insurance Law Practice Questions The method of assessment for the e05 examination is 50 multiple choice questions (mcqs): This practice test includes a combination of single and multiple choice questions & answers to help you prepare for your exam. To provide knowledge and understanding of the basic principles of insurance, including the main legal principles related to insurance contracts, the. Study with quizlet and. Insurance Law Practice Questions.
From www.scribd.com
PCE Practice Questions 1 Insurance Life Insurance Insurance Law Practice Questions To provide knowledge and understanding of the basic principles of insurance, including the main legal principles related to insurance contracts, the. Quiz yourself with questions and answers for insurance law exam questions, so you can be ready for test day. This practice test includes a combination of single and multiple choice questions & answers to help you prepare for your. Insurance Law Practice Questions.
From www.test-guide.com
Free Life Insurance Practice Test Insurance Law Practice Questions Study with quizlet and memorise flashcards containing terms like which two branches of civil law have most relevance in the context of. Enhance your learning take insurance law test & assess skills in insurance contestability, insured peril and misrepresented fact. Explore quizzes and practice tests. 40 standard format and 10 multiple response format. To provide knowledge and understanding of the. Insurance Law Practice Questions.
From store.lexisnexis.com
Business Insurance Law and Practice Guide LexisNexis Store Insurance Law Practice Questions Explore quizzes and practice tests. Enhance your learning take insurance law test & assess skills in insurance contestability, insured peril and misrepresented fact. You will also receive access to 50 online revision cards to help you. Study with quizlet and memorise flashcards containing terms like which two branches of civil law have most relevance in the context of. Quiz yourself. Insurance Law Practice Questions.
From insurancetests.com
Free Insurance Practice Test Questions Pass The Insurance Exam Insurance Law Practice Questions This practice test includes a combination of single and multiple choice questions & answers to help you prepare for your exam. Study with quizlet and memorise flashcards containing terms like which two branches of civil law have most relevance in the context of. To provide knowledge and understanding of the basic principles of insurance, including the main legal principles related. Insurance Law Practice Questions.
From www.stuvia.com
FUNDAMENTALS OF INSURANCE PRACTICE EXAM 2 () ALL 100 QUESTIONS WITH Insurance Law Practice Questions Study with quizlet and memorise flashcards containing terms like which two branches of civil law have most relevance in the context of. This practice test includes a combination of single and multiple choice questions & answers to help you prepare for your exam. You will also receive access to 50 online revision cards to help you. 40 standard format and. Insurance Law Practice Questions.
From www.thinkswap.com
Insurance Law complete notes LAWS426 Insurance Law Otago Thinkswap Insurance Law Practice Questions You will also receive access to 50 online revision cards to help you. 40 standard format and 10 multiple response format. The method of assessment for the e05 examination is 50 multiple choice questions (mcqs): Quiz yourself with questions and answers for insurance law exam questions, so you can be ready for test day. To provide knowledge and understanding of. Insurance Law Practice Questions.
From www.studocu.com
Insurance LAW Question AND Answer INSURANCE LAW 1. Explain the Insurance Law Practice Questions This practice test includes a combination of single and multiple choice questions & answers to help you prepare for your exam. 40 standard format and 10 multiple response format. Study with quizlet and memorise flashcards containing terms like which two branches of civil law have most relevance in the context of. The method of assessment for the e05 examination is. Insurance Law Practice Questions.
From www.studocu.com
Insurance Law First class activities Insurance Law Review of Insurance Law Practice Questions Explore quizzes and practice tests. To provide knowledge and understanding of the basic principles of insurance, including the main legal principles related to insurance contracts, the. This practice test includes a combination of single and multiple choice questions & answers to help you prepare for your exam. Study with quizlet and memorise flashcards containing terms like which two branches of. Insurance Law Practice Questions.
From www.studypool.com
SOLUTION Texas life and health insurance exam questions flashcards Insurance Law Practice Questions To provide knowledge and understanding of the basic principles of insurance, including the main legal principles related to insurance contracts, the. Quiz yourself with questions and answers for insurance law exam questions, so you can be ready for test day. This practice test includes a combination of single and multiple choice questions & answers to help you prepare for your. Insurance Law Practice Questions.