Freestanding Derivatives Definition . derivatives are highly leveraged instruments that provide each party exposure to an economic risk without significant upfront costs. a derivative is a financial instrument that derives (obtains) its value from the performance of an underlying. A freestanding contract is entered into either: View all / combine content. Separate and apart from any of. 2.6.3.2.4 exceptions available for greenshoes meeting the definition of a derivative. The underlying may be a single asset, a. Chapter 3 — recognition and measurement of freestanding derivatives 3.1 overview. A distinction made in some financial accounting standards board (fasb) statements to distinguish. determining whether a component is freestanding or embedded is important because although both may be subject to.
from www.chegg.com
The underlying may be a single asset, a. a derivative is a financial instrument that derives (obtains) its value from the performance of an underlying. View all / combine content. Separate and apart from any of. A freestanding contract is entered into either: 2.6.3.2.4 exceptions available for greenshoes meeting the definition of a derivative. Chapter 3 — recognition and measurement of freestanding derivatives 3.1 overview. derivatives are highly leveraged instruments that provide each party exposure to an economic risk without significant upfront costs. determining whether a component is freestanding or embedded is important because although both may be subject to. A distinction made in some financial accounting standards board (fasb) statements to distinguish.
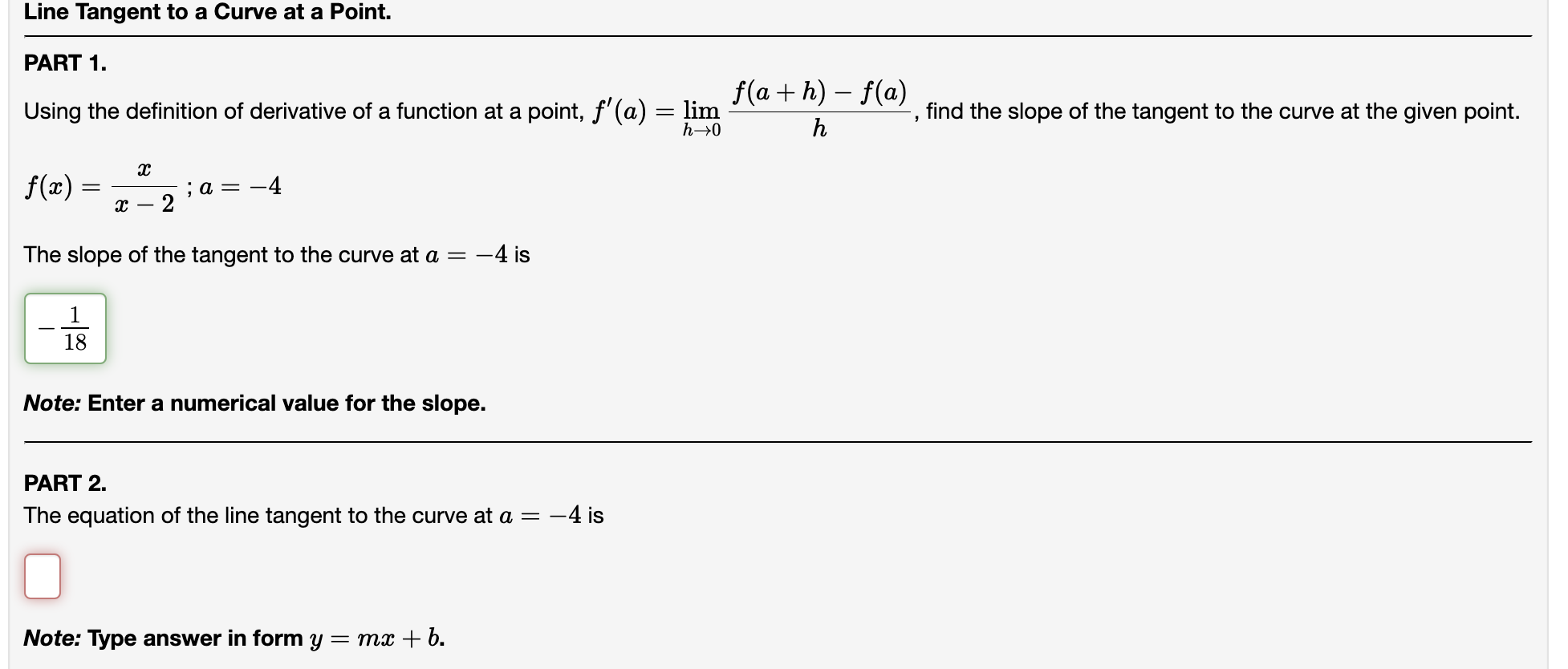
Solved PART 1. Using the definition of derivative of a
Freestanding Derivatives Definition Chapter 3 — recognition and measurement of freestanding derivatives 3.1 overview. derivatives are highly leveraged instruments that provide each party exposure to an economic risk without significant upfront costs. 2.6.3.2.4 exceptions available for greenshoes meeting the definition of a derivative. A distinction made in some financial accounting standards board (fasb) statements to distinguish. a derivative is a financial instrument that derives (obtains) its value from the performance of an underlying. View all / combine content. The underlying may be a single asset, a. Chapter 3 — recognition and measurement of freestanding derivatives 3.1 overview. Separate and apart from any of. determining whether a component is freestanding or embedded is important because although both may be subject to. A freestanding contract is entered into either:
From www.nagwa.com
Question Video Finding the Derivative of a Rational Function Using the Freestanding Derivatives Definition a derivative is a financial instrument that derives (obtains) its value from the performance of an underlying. A freestanding contract is entered into either: A distinction made in some financial accounting standards board (fasb) statements to distinguish. The underlying may be a single asset, a. Chapter 3 — recognition and measurement of freestanding derivatives 3.1 overview. View all /. Freestanding Derivatives Definition.
From www.slideshare.net
Limits And Derivative Freestanding Derivatives Definition A freestanding contract is entered into either: derivatives are highly leveraged instruments that provide each party exposure to an economic risk without significant upfront costs. 2.6.3.2.4 exceptions available for greenshoes meeting the definition of a derivative. determining whether a component is freestanding or embedded is important because although both may be subject to. View all / combine. Freestanding Derivatives Definition.
From marketbusinessnews.com
Derivatives definition and meaning Market Business News Freestanding Derivatives Definition A freestanding contract is entered into either: a derivative is a financial instrument that derives (obtains) its value from the performance of an underlying. determining whether a component is freestanding or embedded is important because although both may be subject to. Separate and apart from any of. 2.6.3.2.4 exceptions available for greenshoes meeting the definition of a. Freestanding Derivatives Definition.
From www.flexiprep.com
NCERT Class 11 Mathematics Solutions Chapter 13 Limits and Freestanding Derivatives Definition derivatives are highly leveraged instruments that provide each party exposure to an economic risk without significant upfront costs. The underlying may be a single asset, a. 2.6.3.2.4 exceptions available for greenshoes meeting the definition of a derivative. a derivative is a financial instrument that derives (obtains) its value from the performance of an underlying. Separate and apart. Freestanding Derivatives Definition.
From www.youtube.com
Definition of the Derivative YouTube Freestanding Derivatives Definition The underlying may be a single asset, a. A freestanding contract is entered into either: determining whether a component is freestanding or embedded is important because although both may be subject to. derivatives are highly leveraged instruments that provide each party exposure to an economic risk without significant upfront costs. a derivative is a financial instrument that. Freestanding Derivatives Definition.
From blog.shoonya.com
Derivatives Definition, Details, and Types Shoonya Blog Freestanding Derivatives Definition Separate and apart from any of. A freestanding contract is entered into either: View all / combine content. 2.6.3.2.4 exceptions available for greenshoes meeting the definition of a derivative. Chapter 3 — recognition and measurement of freestanding derivatives 3.1 overview. determining whether a component is freestanding or embedded is important because although both may be subject to. . Freestanding Derivatives Definition.
From www.investopedia.com
Derivative Definition Freestanding Derivatives Definition A freestanding contract is entered into either: 2.6.3.2.4 exceptions available for greenshoes meeting the definition of a derivative. Chapter 3 — recognition and measurement of freestanding derivatives 3.1 overview. A distinction made in some financial accounting standards board (fasb) statements to distinguish. a derivative is a financial instrument that derives (obtains) its value from the performance of an. Freestanding Derivatives Definition.
From socratic.org
How do you use the definition of the derivative to differentiate the Freestanding Derivatives Definition Chapter 3 — recognition and measurement of freestanding derivatives 3.1 overview. determining whether a component is freestanding or embedded is important because although both may be subject to. View all / combine content. 2.6.3.2.4 exceptions available for greenshoes meeting the definition of a derivative. derivatives are highly leveraged instruments that provide each party exposure to an economic. Freestanding Derivatives Definition.
From www.tickertape.in
Derivative Definition, Types, Advantages, and Disadvantages Freestanding Derivatives Definition 2.6.3.2.4 exceptions available for greenshoes meeting the definition of a derivative. View all / combine content. a derivative is a financial instrument that derives (obtains) its value from the performance of an underlying. A distinction made in some financial accounting standards board (fasb) statements to distinguish. Separate and apart from any of. A freestanding contract is entered into. Freestanding Derivatives Definition.
From slideplayer.com
Derivatives of Exponential Functions ppt download Freestanding Derivatives Definition The underlying may be a single asset, a. determining whether a component is freestanding or embedded is important because although both may be subject to. Chapter 3 — recognition and measurement of freestanding derivatives 3.1 overview. Separate and apart from any of. 2.6.3.2.4 exceptions available for greenshoes meeting the definition of a derivative. derivatives are highly leveraged. Freestanding Derivatives Definition.
From www.slideserve.com
PPT ACCOUNTING FOR DERIVATIVES PowerPoint Presentation, free download Freestanding Derivatives Definition A freestanding contract is entered into either: The underlying may be a single asset, a. determining whether a component is freestanding or embedded is important because although both may be subject to. View all / combine content. derivatives are highly leveraged instruments that provide each party exposure to an economic risk without significant upfront costs. A distinction made. Freestanding Derivatives Definition.
From www.nagwa.com
Question Video Finding the Derivative of a Polynomial Using the Limit Freestanding Derivatives Definition A distinction made in some financial accounting standards board (fasb) statements to distinguish. A freestanding contract is entered into either: The underlying may be a single asset, a. determining whether a component is freestanding or embedded is important because although both may be subject to. Chapter 3 — recognition and measurement of freestanding derivatives 3.1 overview. Separate and apart. Freestanding Derivatives Definition.
From www.slideserve.com
PPT ACCOUNTING FOR DERIVATIVES PowerPoint Presentation, free download Freestanding Derivatives Definition The underlying may be a single asset, a. View all / combine content. a derivative is a financial instrument that derives (obtains) its value from the performance of an underlying. Separate and apart from any of. 2.6.3.2.4 exceptions available for greenshoes meeting the definition of a derivative. determining whether a component is freestanding or embedded is important. Freestanding Derivatives Definition.
From slidetodoc.com
Accounting for Derivative Financial Instruments and Hedging Transactions Freestanding Derivatives Definition The underlying may be a single asset, a. a derivative is a financial instrument that derives (obtains) its value from the performance of an underlying. Separate and apart from any of. View all / combine content. Chapter 3 — recognition and measurement of freestanding derivatives 3.1 overview. determining whether a component is freestanding or embedded is important because. Freestanding Derivatives Definition.
From www.youtube.com
Derivatives Review Limit Definition of the Derivative (and Freestanding Derivatives Definition Separate and apart from any of. The underlying may be a single asset, a. determining whether a component is freestanding or embedded is important because although both may be subject to. derivatives are highly leveraged instruments that provide each party exposure to an economic risk without significant upfront costs. 2.6.3.2.4 exceptions available for greenshoes meeting the definition. Freestanding Derivatives Definition.
From www.chegg.com
Solved PART 1. Using the definition of derivative of a Freestanding Derivatives Definition derivatives are highly leveraged instruments that provide each party exposure to an economic risk without significant upfront costs. Separate and apart from any of. determining whether a component is freestanding or embedded is important because although both may be subject to. A freestanding contract is entered into either: Chapter 3 — recognition and measurement of freestanding derivatives 3.1. Freestanding Derivatives Definition.
From slidetodoc.com
Accounting for Derivative Financial Instruments and Hedging Transactions Freestanding Derivatives Definition Separate and apart from any of. derivatives are highly leveraged instruments that provide each party exposure to an economic risk without significant upfront costs. A distinction made in some financial accounting standards board (fasb) statements to distinguish. The underlying may be a single asset, a. determining whether a component is freestanding or embedded is important because although both. Freestanding Derivatives Definition.
From www.slideserve.com
PPT Accounting for Derivative Financial Instruments and Hedging Freestanding Derivatives Definition a derivative is a financial instrument that derives (obtains) its value from the performance of an underlying. Separate and apart from any of. derivatives are highly leveraged instruments that provide each party exposure to an economic risk without significant upfront costs. View all / combine content. A distinction made in some financial accounting standards board (fasb) statements to. Freestanding Derivatives Definition.
From www.studocu.com
Calculus Cheat Sheet Derivatives Derivatives Definition and Notation Freestanding Derivatives Definition The underlying may be a single asset, a. View all / combine content. determining whether a component is freestanding or embedded is important because although both may be subject to. 2.6.3.2.4 exceptions available for greenshoes meeting the definition of a derivative. Chapter 3 — recognition and measurement of freestanding derivatives 3.1 overview. derivatives are highly leveraged instruments. Freestanding Derivatives Definition.
From www.slideserve.com
PPT Accounting for Derivative Financial Instruments and Hedging Freestanding Derivatives Definition a derivative is a financial instrument that derives (obtains) its value from the performance of an underlying. A freestanding contract is entered into either: 2.6.3.2.4 exceptions available for greenshoes meeting the definition of a derivative. derivatives are highly leveraged instruments that provide each party exposure to an economic risk without significant upfront costs. The underlying may be. Freestanding Derivatives Definition.
From optionspedia.blogspot.com
Options pedia Basic about Derivatives Freestanding Derivatives Definition The underlying may be a single asset, a. Chapter 3 — recognition and measurement of freestanding derivatives 3.1 overview. A distinction made in some financial accounting standards board (fasb) statements to distinguish. determining whether a component is freestanding or embedded is important because although both may be subject to. Separate and apart from any of. View all / combine. Freestanding Derivatives Definition.
From www.slideshare.net
Financial derivatives ppt Freestanding Derivatives Definition Separate and apart from any of. determining whether a component is freestanding or embedded is important because although both may be subject to. derivatives are highly leveraged instruments that provide each party exposure to an economic risk without significant upfront costs. 2.6.3.2.4 exceptions available for greenshoes meeting the definition of a derivative. The underlying may be a. Freestanding Derivatives Definition.
From marketbusinessnews.com
Derivatives definition and meaning Market Business News Freestanding Derivatives Definition 2.6.3.2.4 exceptions available for greenshoes meeting the definition of a derivative. Separate and apart from any of. derivatives are highly leveraged instruments that provide each party exposure to an economic risk without significant upfront costs. determining whether a component is freestanding or embedded is important because although both may be subject to. A distinction made in some. Freestanding Derivatives Definition.
From www.studocu.com
Applications of derivatives in economics Applications of derivatives Freestanding Derivatives Definition a derivative is a financial instrument that derives (obtains) its value from the performance of an underlying. determining whether a component is freestanding or embedded is important because although both may be subject to. 2.6.3.2.4 exceptions available for greenshoes meeting the definition of a derivative. Chapter 3 — recognition and measurement of freestanding derivatives 3.1 overview. Separate. Freestanding Derivatives Definition.
From saraswatworld.com
What is a Derivative? Saraswat World Source of Knowledge and Freestanding Derivatives Definition a derivative is a financial instrument that derives (obtains) its value from the performance of an underlying. Chapter 3 — recognition and measurement of freestanding derivatives 3.1 overview. derivatives are highly leveraged instruments that provide each party exposure to an economic risk without significant upfront costs. The underlying may be a single asset, a. View all / combine. Freestanding Derivatives Definition.
From slideplayer.com
Differentiation and the Derivative ppt download Freestanding Derivatives Definition determining whether a component is freestanding or embedded is important because although both may be subject to. Chapter 3 — recognition and measurement of freestanding derivatives 3.1 overview. A freestanding contract is entered into either: The underlying may be a single asset, a. derivatives are highly leveraged instruments that provide each party exposure to an economic risk without. Freestanding Derivatives Definition.
From www.geeksforgeeks.org
Derivative Formulas List Differentiation Formulas with Examples Freestanding Derivatives Definition derivatives are highly leveraged instruments that provide each party exposure to an economic risk without significant upfront costs. Chapter 3 — recognition and measurement of freestanding derivatives 3.1 overview. The underlying may be a single asset, a. A freestanding contract is entered into either: a derivative is a financial instrument that derives (obtains) its value from the performance. Freestanding Derivatives Definition.
From andymath.com
Definition of Derivative Freestanding Derivatives Definition A freestanding contract is entered into either: View all / combine content. Chapter 3 — recognition and measurement of freestanding derivatives 3.1 overview. derivatives are highly leveraged instruments that provide each party exposure to an economic risk without significant upfront costs. determining whether a component is freestanding or embedded is important because although both may be subject to.. Freestanding Derivatives Definition.
From www.slideserve.com
PPT ACCOUNTING FOR DERIVATIVES PowerPoint Presentation, free download Freestanding Derivatives Definition derivatives are highly leveraged instruments that provide each party exposure to an economic risk without significant upfront costs. The underlying may be a single asset, a. 2.6.3.2.4 exceptions available for greenshoes meeting the definition of a derivative. Separate and apart from any of. A freestanding contract is entered into either: View all / combine content. a derivative. Freestanding Derivatives Definition.
From dataintegration.info
A Gentle Introduction to Function Derivatives Data Integration Freestanding Derivatives Definition A freestanding contract is entered into either: derivatives are highly leveraged instruments that provide each party exposure to an economic risk without significant upfront costs. View all / combine content. determining whether a component is freestanding or embedded is important because although both may be subject to. 2.6.3.2.4 exceptions available for greenshoes meeting the definition of a. Freestanding Derivatives Definition.
From www.youtube.com
Derivatives By Definition Type 2 Derivatives Lecture 2 Class Freestanding Derivatives Definition determining whether a component is freestanding or embedded is important because although both may be subject to. The underlying may be a single asset, a. A freestanding contract is entered into either: derivatives are highly leveraged instruments that provide each party exposure to an economic risk without significant upfront costs. a derivative is a financial instrument that. Freestanding Derivatives Definition.
From www.slideserve.com
PPT Accounting for Derivative Financial Instruments and Hedging Freestanding Derivatives Definition 2.6.3.2.4 exceptions available for greenshoes meeting the definition of a derivative. a derivative is a financial instrument that derives (obtains) its value from the performance of an underlying. The underlying may be a single asset, a. derivatives are highly leveraged instruments that provide each party exposure to an economic risk without significant upfront costs. Chapter 3 —. Freestanding Derivatives Definition.
From slidetodoc.com
Accounting for Derivative Financial Instruments and Hedging Transactions Freestanding Derivatives Definition a derivative is a financial instrument that derives (obtains) its value from the performance of an underlying. 2.6.3.2.4 exceptions available for greenshoes meeting the definition of a derivative. determining whether a component is freestanding or embedded is important because although both may be subject to. Chapter 3 — recognition and measurement of freestanding derivatives 3.1 overview. A. Freestanding Derivatives Definition.
From www.youtube.com
Busi Calc The Derivative Defining the Derivative YouTube Freestanding Derivatives Definition Separate and apart from any of. 2.6.3.2.4 exceptions available for greenshoes meeting the definition of a derivative. The underlying may be a single asset, a. Chapter 3 — recognition and measurement of freestanding derivatives 3.1 overview. a derivative is a financial instrument that derives (obtains) its value from the performance of an underlying. A freestanding contract is entered. Freestanding Derivatives Definition.
From calcworkshop.com
Definition of Derivative Freestanding Derivatives Definition Chapter 3 — recognition and measurement of freestanding derivatives 3.1 overview. A freestanding contract is entered into either: determining whether a component is freestanding or embedded is important because although both may be subject to. The underlying may be a single asset, a. 2.6.3.2.4 exceptions available for greenshoes meeting the definition of a derivative. derivatives are highly. Freestanding Derivatives Definition.