Harmonic Oscillator Wave Function Equation . It models the behavior of many physical systems, such as. As shown in equation \(\ref{5.6.2}\), the classical expression for the energy of a harmonic oscillator includes both a kinetic. The harmonic oscillator is an extremely important physics problem. The schrodinger equation for a harmonic oscillator may be solved to give the wavefunctions. The quantum harmonic oscillator is a model built in analogy with the model of a classical harmonic oscillator. In following section, 2.2, the power series method is. Many potentials look like a harmonic oscillator near their minimum. The equation for the quantum harmonic oscillator is a second order differential equation that can be solved using a power series. The answer is that this choice of \(\psi\left(x\right)\) solves the differential equation, so it is a wave function for an.
from www.youtube.com
The equation for the quantum harmonic oscillator is a second order differential equation that can be solved using a power series. The quantum harmonic oscillator is a model built in analogy with the model of a classical harmonic oscillator. It models the behavior of many physical systems, such as. The answer is that this choice of \(\psi\left(x\right)\) solves the differential equation, so it is a wave function for an. The schrodinger equation for a harmonic oscillator may be solved to give the wavefunctions. In following section, 2.2, the power series method is. As shown in equation \(\ref{5.6.2}\), the classical expression for the energy of a harmonic oscillator includes both a kinetic. The harmonic oscillator is an extremely important physics problem. Many potentials look like a harmonic oscillator near their minimum.
Show that the harmonicoscillator wave function is a solu tion of
Harmonic Oscillator Wave Function Equation The harmonic oscillator is an extremely important physics problem. Many potentials look like a harmonic oscillator near their minimum. The equation for the quantum harmonic oscillator is a second order differential equation that can be solved using a power series. The quantum harmonic oscillator is a model built in analogy with the model of a classical harmonic oscillator. The answer is that this choice of \(\psi\left(x\right)\) solves the differential equation, so it is a wave function for an. It models the behavior of many physical systems, such as. As shown in equation \(\ref{5.6.2}\), the classical expression for the energy of a harmonic oscillator includes both a kinetic. The harmonic oscillator is an extremely important physics problem. The schrodinger equation for a harmonic oscillator may be solved to give the wavefunctions. In following section, 2.2, the power series method is.
From owlcation.com
Solution of Schrödinger Equation for Simple Harmonic Oscillator Owlcation Harmonic Oscillator Wave Function Equation The quantum harmonic oscillator is a model built in analogy with the model of a classical harmonic oscillator. The answer is that this choice of \(\psi\left(x\right)\) solves the differential equation, so it is a wave function for an. The schrodinger equation for a harmonic oscillator may be solved to give the wavefunctions. In following section, 2.2, the power series method. Harmonic Oscillator Wave Function Equation.
From www.slideserve.com
PPT 5. The Harmonic Oscillator PowerPoint Presentation, free download Harmonic Oscillator Wave Function Equation The schrodinger equation for a harmonic oscillator may be solved to give the wavefunctions. Many potentials look like a harmonic oscillator near their minimum. The harmonic oscillator is an extremely important physics problem. As shown in equation \(\ref{5.6.2}\), the classical expression for the energy of a harmonic oscillator includes both a kinetic. The answer is that this choice of \(\psi\left(x\right)\). Harmonic Oscillator Wave Function Equation.
From www.transtutors.com
(Solved) The wave functions for the first two energy levels of a Harmonic Oscillator Wave Function Equation The quantum harmonic oscillator is a model built in analogy with the model of a classical harmonic oscillator. The answer is that this choice of \(\psi\left(x\right)\) solves the differential equation, so it is a wave function for an. It models the behavior of many physical systems, such as. As shown in equation \(\ref{5.6.2}\), the classical expression for the energy of. Harmonic Oscillator Wave Function Equation.
From www.numerade.com
SOLVED Knowing that the wave function for the ground state and the Harmonic Oscillator Wave Function Equation The equation for the quantum harmonic oscillator is a second order differential equation that can be solved using a power series. In following section, 2.2, the power series method is. The quantum harmonic oscillator is a model built in analogy with the model of a classical harmonic oscillator. Many potentials look like a harmonic oscillator near their minimum. The schrodinger. Harmonic Oscillator Wave Function Equation.
From www.coursehero.com
[Solved] Consider the 1D harmonic oscillator ground state wave Harmonic Oscillator Wave Function Equation The equation for the quantum harmonic oscillator is a second order differential equation that can be solved using a power series. The harmonic oscillator is an extremely important physics problem. The answer is that this choice of \(\psi\left(x\right)\) solves the differential equation, so it is a wave function for an. The schrodinger equation for a harmonic oscillator may be solved. Harmonic Oscillator Wave Function Equation.
From www.youtube.com
Show that the harmonicoscillator wave function is a solu tion of Harmonic Oscillator Wave Function Equation The schrodinger equation for a harmonic oscillator may be solved to give the wavefunctions. Many potentials look like a harmonic oscillator near their minimum. The answer is that this choice of \(\psi\left(x\right)\) solves the differential equation, so it is a wave function for an. The equation for the quantum harmonic oscillator is a second order differential equation that can be. Harmonic Oscillator Wave Function Equation.
From owlcation.com
Solution of Schrödinger Equation for Simple Harmonic Oscillator Owlcation Harmonic Oscillator Wave Function Equation It models the behavior of many physical systems, such as. The quantum harmonic oscillator is a model built in analogy with the model of a classical harmonic oscillator. As shown in equation \(\ref{5.6.2}\), the classical expression for the energy of a harmonic oscillator includes both a kinetic. The equation for the quantum harmonic oscillator is a second order differential equation. Harmonic Oscillator Wave Function Equation.
From owlcation.com
Solution of Schrödinger Equation for Simple Harmonic Oscillator Owlcation Harmonic Oscillator Wave Function Equation The equation for the quantum harmonic oscillator is a second order differential equation that can be solved using a power series. The quantum harmonic oscillator is a model built in analogy with the model of a classical harmonic oscillator. In following section, 2.2, the power series method is. The answer is that this choice of \(\psi\left(x\right)\) solves the differential equation,. Harmonic Oscillator Wave Function Equation.
From www.youtube.com
3D Harmonic oscillator Classical and Quantum partition functions Harmonic Oscillator Wave Function Equation The harmonic oscillator is an extremely important physics problem. The quantum harmonic oscillator is a model built in analogy with the model of a classical harmonic oscillator. The schrodinger equation for a harmonic oscillator may be solved to give the wavefunctions. The equation for the quantum harmonic oscillator is a second order differential equation that can be solved using a. Harmonic Oscillator Wave Function Equation.
From www.chegg.com
Solved The wave function for the first excited state of a Harmonic Oscillator Wave Function Equation Many potentials look like a harmonic oscillator near their minimum. It models the behavior of many physical systems, such as. The quantum harmonic oscillator is a model built in analogy with the model of a classical harmonic oscillator. The equation for the quantum harmonic oscillator is a second order differential equation that can be solved using a power series. The. Harmonic Oscillator Wave Function Equation.
From www.chemclip.com
Harmonic Oscillator wave function Quantum Chemistry part3 ChemClip Harmonic Oscillator Wave Function Equation As shown in equation \(\ref{5.6.2}\), the classical expression for the energy of a harmonic oscillator includes both a kinetic. It models the behavior of many physical systems, such as. The answer is that this choice of \(\psi\left(x\right)\) solves the differential equation, so it is a wave function for an. The quantum harmonic oscillator is a model built in analogy with. Harmonic Oscillator Wave Function Equation.
From www.youtube.com
Tunnelling Probability Quantum Harmonic Oscillator (Ground State Harmonic Oscillator Wave Function Equation The schrodinger equation for a harmonic oscillator may be solved to give the wavefunctions. The answer is that this choice of \(\psi\left(x\right)\) solves the differential equation, so it is a wave function for an. The quantum harmonic oscillator is a model built in analogy with the model of a classical harmonic oscillator. The equation for the quantum harmonic oscillator is. Harmonic Oscillator Wave Function Equation.
From www.youtube.com
21. The Harmonic Oscillator part 1 TimeIndependent Schrodinger Harmonic Oscillator Wave Function Equation The quantum harmonic oscillator is a model built in analogy with the model of a classical harmonic oscillator. In following section, 2.2, the power series method is. The harmonic oscillator is an extremely important physics problem. It models the behavior of many physical systems, such as. The answer is that this choice of \(\psi\left(x\right)\) solves the differential equation, so it. Harmonic Oscillator Wave Function Equation.
From www.youtube.com
Introduction to the Quantum Harmonic Oscillator Wavefunction? Energy Harmonic Oscillator Wave Function Equation The quantum harmonic oscillator is a model built in analogy with the model of a classical harmonic oscillator. Many potentials look like a harmonic oscillator near their minimum. As shown in equation \(\ref{5.6.2}\), the classical expression for the energy of a harmonic oscillator includes both a kinetic. It models the behavior of many physical systems, such as. The equation for. Harmonic Oscillator Wave Function Equation.
From www.chegg.com
Consider the harmonic oscillator wave function If Harmonic Oscillator Wave Function Equation The answer is that this choice of \(\psi\left(x\right)\) solves the differential equation, so it is a wave function for an. The equation for the quantum harmonic oscillator is a second order differential equation that can be solved using a power series. It models the behavior of many physical systems, such as. The schrodinger equation for a harmonic oscillator may be. Harmonic Oscillator Wave Function Equation.
From www.slideserve.com
PPT 6.1 The Schrödinger Wave Equation 6.2 Expectation Values 6.3 Harmonic Oscillator Wave Function Equation The quantum harmonic oscillator is a model built in analogy with the model of a classical harmonic oscillator. As shown in equation \(\ref{5.6.2}\), the classical expression for the energy of a harmonic oscillator includes both a kinetic. In following section, 2.2, the power series method is. The answer is that this choice of \(\psi\left(x\right)\) solves the differential equation, so it. Harmonic Oscillator Wave Function Equation.
From www.slideserve.com
PPT Chapter 41 PowerPoint Presentation, free download ID3538407 Harmonic Oscillator Wave Function Equation The harmonic oscillator is an extremely important physics problem. In following section, 2.2, the power series method is. The equation for the quantum harmonic oscillator is a second order differential equation that can be solved using a power series. As shown in equation \(\ref{5.6.2}\), the classical expression for the energy of a harmonic oscillator includes both a kinetic. Many potentials. Harmonic Oscillator Wave Function Equation.
From www.slideserve.com
PPT Quantum Harmonic Oscillator PowerPoint Presentation, free Harmonic Oscillator Wave Function Equation Many potentials look like a harmonic oscillator near their minimum. The harmonic oscillator is an extremely important physics problem. The answer is that this choice of \(\psi\left(x\right)\) solves the differential equation, so it is a wave function for an. The equation for the quantum harmonic oscillator is a second order differential equation that can be solved using a power series.. Harmonic Oscillator Wave Function Equation.
From www.slideserve.com
PPT Chapter 4 Wave equations PowerPoint Presentation ID3913922 Harmonic Oscillator Wave Function Equation It models the behavior of many physical systems, such as. The schrodinger equation for a harmonic oscillator may be solved to give the wavefunctions. In following section, 2.2, the power series method is. The quantum harmonic oscillator is a model built in analogy with the model of a classical harmonic oscillator. As shown in equation \(\ref{5.6.2}\), the classical expression for. Harmonic Oscillator Wave Function Equation.
From slidetodoc.com
Mechanical Energy and Simple Harmonic Oscillator 8 01 Harmonic Oscillator Wave Function Equation It models the behavior of many physical systems, such as. In following section, 2.2, the power series method is. Many potentials look like a harmonic oscillator near their minimum. The answer is that this choice of \(\psi\left(x\right)\) solves the differential equation, so it is a wave function for an. The schrodinger equation for a harmonic oscillator may be solved to. Harmonic Oscillator Wave Function Equation.
From www.slideserve.com
PPT Physical Chemistry III (728342) The Schrödinger Equation Harmonic Oscillator Wave Function Equation As shown in equation \(\ref{5.6.2}\), the classical expression for the energy of a harmonic oscillator includes both a kinetic. The equation for the quantum harmonic oscillator is a second order differential equation that can be solved using a power series. The harmonic oscillator is an extremely important physics problem. Many potentials look like a harmonic oscillator near their minimum. It. Harmonic Oscillator Wave Function Equation.
From www.chegg.com
Solved 48 Normalization Of Harmonicoscillator Wave Func... Harmonic Oscillator Wave Function Equation The harmonic oscillator is an extremely important physics problem. As shown in equation \(\ref{5.6.2}\), the classical expression for the energy of a harmonic oscillator includes both a kinetic. The equation for the quantum harmonic oscillator is a second order differential equation that can be solved using a power series. The quantum harmonic oscillator is a model built in analogy with. Harmonic Oscillator Wave Function Equation.
From www.numerade.com
A onedimensional harmonic oscillator wave function is ψ=A x e^b x^2 Harmonic Oscillator Wave Function Equation In following section, 2.2, the power series method is. The harmonic oscillator is an extremely important physics problem. The answer is that this choice of \(\psi\left(x\right)\) solves the differential equation, so it is a wave function for an. The schrodinger equation for a harmonic oscillator may be solved to give the wavefunctions. The equation for the quantum harmonic oscillator is. Harmonic Oscillator Wave Function Equation.
From www.youtube.com
Solving the quantum harmonic oscillator via analytic method (Made Easy Harmonic Oscillator Wave Function Equation The equation for the quantum harmonic oscillator is a second order differential equation that can be solved using a power series. It models the behavior of many physical systems, such as. Many potentials look like a harmonic oscillator near their minimum. The harmonic oscillator is an extremely important physics problem. The answer is that this choice of \(\psi\left(x\right)\) solves the. Harmonic Oscillator Wave Function Equation.
From www.slideserve.com
PPT 5. The Harmonic Oscillator PowerPoint Presentation, free download Harmonic Oscillator Wave Function Equation The equation for the quantum harmonic oscillator is a second order differential equation that can be solved using a power series. As shown in equation \(\ref{5.6.2}\), the classical expression for the energy of a harmonic oscillator includes both a kinetic. The schrodinger equation for a harmonic oscillator may be solved to give the wavefunctions. In following section, 2.2, the power. Harmonic Oscillator Wave Function Equation.
From www.youtube.com
2 Simple Harmonic Motion SHM The Equations YouTube Harmonic Oscillator Wave Function Equation The quantum harmonic oscillator is a model built in analogy with the model of a classical harmonic oscillator. The answer is that this choice of \(\psi\left(x\right)\) solves the differential equation, so it is a wave function for an. The harmonic oscillator is an extremely important physics problem. As shown in equation \(\ref{5.6.2}\), the classical expression for the energy of a. Harmonic Oscillator Wave Function Equation.
From www.slideserve.com
PPT Unit 6 Lesson 1 Simple Harmonic Motion SHM PowerPoint Harmonic Oscillator Wave Function Equation The quantum harmonic oscillator is a model built in analogy with the model of a classical harmonic oscillator. The equation for the quantum harmonic oscillator is a second order differential equation that can be solved using a power series. The harmonic oscillator is an extremely important physics problem. In following section, 2.2, the power series method is. Many potentials look. Harmonic Oscillator Wave Function Equation.
From driverlayer.com
simple harmonic oscillator differential equation DriverLayer Search Harmonic Oscillator Wave Function Equation The schrodinger equation for a harmonic oscillator may be solved to give the wavefunctions. Many potentials look like a harmonic oscillator near their minimum. As shown in equation \(\ref{5.6.2}\), the classical expression for the energy of a harmonic oscillator includes both a kinetic. The equation for the quantum harmonic oscillator is a second order differential equation that can be solved. Harmonic Oscillator Wave Function Equation.
From owlcation.com
Solution of Schrödinger Equation for Simple Harmonic Oscillator Owlcation Harmonic Oscillator Wave Function Equation The quantum harmonic oscillator is a model built in analogy with the model of a classical harmonic oscillator. As shown in equation \(\ref{5.6.2}\), the classical expression for the energy of a harmonic oscillator includes both a kinetic. The equation for the quantum harmonic oscillator is a second order differential equation that can be solved using a power series. The answer. Harmonic Oscillator Wave Function Equation.
From www.reddit.com
How do you get this solution to the simple harmonic oscillator Harmonic Oscillator Wave Function Equation The harmonic oscillator is an extremely important physics problem. The quantum harmonic oscillator is a model built in analogy with the model of a classical harmonic oscillator. The schrodinger equation for a harmonic oscillator may be solved to give the wavefunctions. The answer is that this choice of \(\psi\left(x\right)\) solves the differential equation, so it is a wave function for. Harmonic Oscillator Wave Function Equation.
From www.researchgate.net
Harmonicoscillator trial wave functions (dark gray) adjusted with Harmonic Oscillator Wave Function Equation The equation for the quantum harmonic oscillator is a second order differential equation that can be solved using a power series. It models the behavior of many physical systems, such as. In following section, 2.2, the power series method is. As shown in equation \(\ref{5.6.2}\), the classical expression for the energy of a harmonic oscillator includes both a kinetic. The. Harmonic Oscillator Wave Function Equation.
From www.bartleby.com
Answered Consider a simple harmonic oscillator… bartleby Harmonic Oscillator Wave Function Equation It models the behavior of many physical systems, such as. Many potentials look like a harmonic oscillator near their minimum. The schrodinger equation for a harmonic oscillator may be solved to give the wavefunctions. In following section, 2.2, the power series method is. The quantum harmonic oscillator is a model built in analogy with the model of a classical harmonic. Harmonic Oscillator Wave Function Equation.
From www.chegg.com
Solved 6. A onedimensional harmonic oscillator wave Harmonic Oscillator Wave Function Equation The equation for the quantum harmonic oscillator is a second order differential equation that can be solved using a power series. The schrodinger equation for a harmonic oscillator may be solved to give the wavefunctions. Many potentials look like a harmonic oscillator near their minimum. The quantum harmonic oscillator is a model built in analogy with the model of a. Harmonic Oscillator Wave Function Equation.
From www.numerade.com
SOLVED (a) Normalize the wave function for the ground state of a Harmonic Oscillator Wave Function Equation It models the behavior of many physical systems, such as. The quantum harmonic oscillator is a model built in analogy with the model of a classical harmonic oscillator. As shown in equation \(\ref{5.6.2}\), the classical expression for the energy of a harmonic oscillator includes both a kinetic. The equation for the quantum harmonic oscillator is a second order differential equation. Harmonic Oscillator Wave Function Equation.
From www.chegg.com
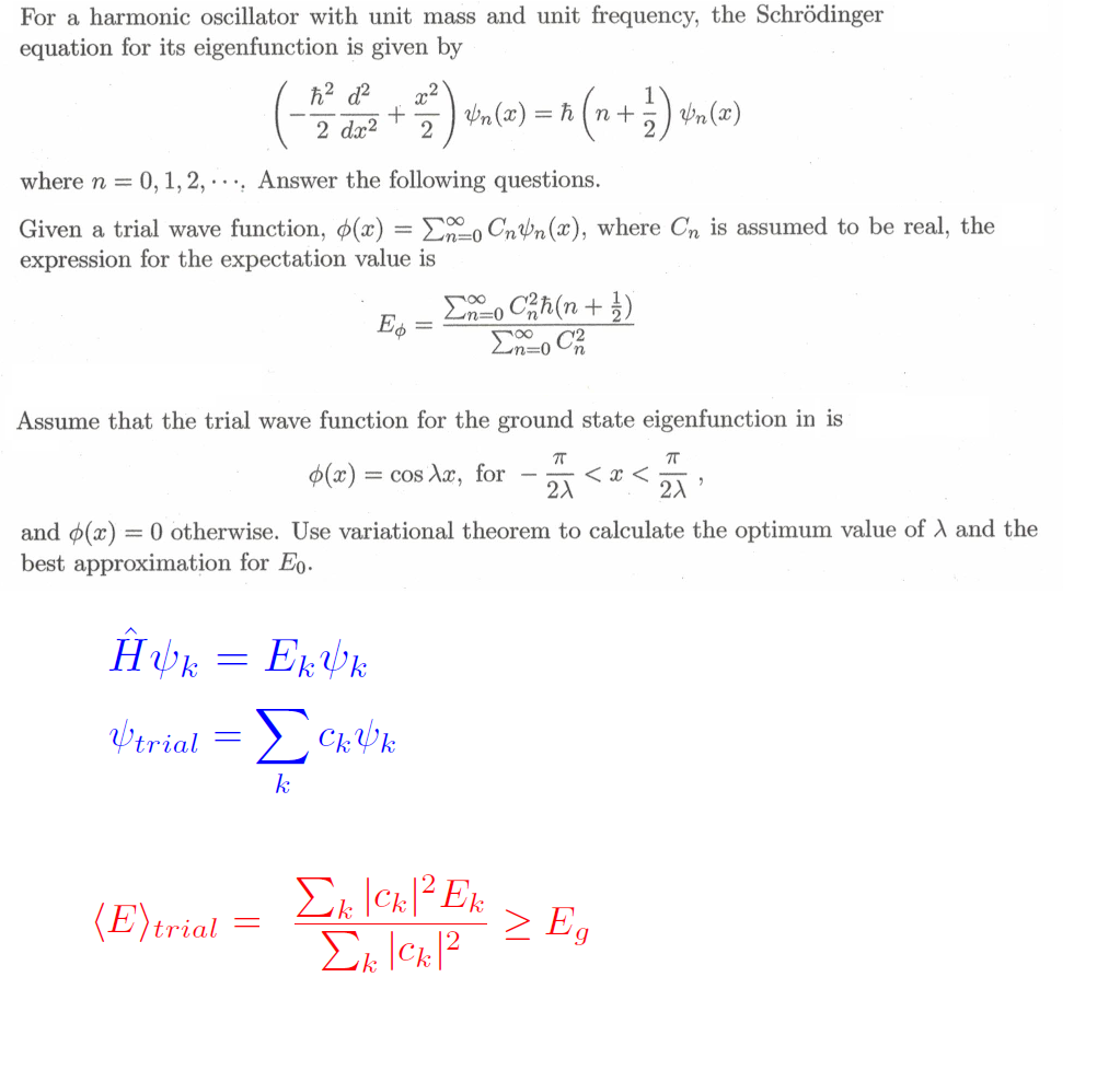
Solved For a harmonic oscillator with unit mass and unit Harmonic Oscillator Wave Function Equation The quantum harmonic oscillator is a model built in analogy with the model of a classical harmonic oscillator. Many potentials look like a harmonic oscillator near their minimum. The equation for the quantum harmonic oscillator is a second order differential equation that can be solved using a power series. It models the behavior of many physical systems, such as. The. Harmonic Oscillator Wave Function Equation.