Kmno4 Na2C2O4 Titration . Titration of potassium permanganate solution against standard oxalic acid solution calculations (i) the strength of the unknown. E = mno4 + 8h+ mn2+ + 4h2o e =. Potassium permanganate and sodium oxalate introduction: Titrate with kmno4 at 60~90 oc with stirring. For a redox titration it is. The titration of potassium permanganate (kmno 4) against oxalic acid (c 2 h 2 o 4) is an example of redox titration. 30 s) pink color as the end point. The permanganate ion, kmno4, is a very strong oxidizing agent. Three types of indicators are used to signal a redox titration’s end point. In close proximity to the endpoint, the action of the indicator is. Because this reaction is rapid and goes to completion, potassium permanganate (kmno 4) is widely used as a reactant for determining the concentration of oxalic acid. Standardization of the kmno4 solution a. At room temp., add 80%. Weigh approximately 2 grams of pure sodium oxalate, na2c2o4 (fw = 133.96) in a plastic weighing boat.
from wizedu.com
Standardization of the kmno4 solution a. The permanganate ion, kmno4, is a very strong oxidizing agent. At room temp., add 80%. Three types of indicators are used to signal a redox titration’s end point. The titration of potassium permanganate (kmno 4) against oxalic acid (c 2 h 2 o 4) is an example of redox titration. Titration of potassium permanganate solution against standard oxalic acid solution calculations (i) the strength of the unknown. Titrate with kmno4 at 60~90 oc with stirring. Weigh approximately 2 grams of pure sodium oxalate, na2c2o4 (fw = 133.96) in a plastic weighing boat. For a redox titration it is. Because this reaction is rapid and goes to completion, potassium permanganate (kmno 4) is widely used as a reactant for determining the concentration of oxalic acid.
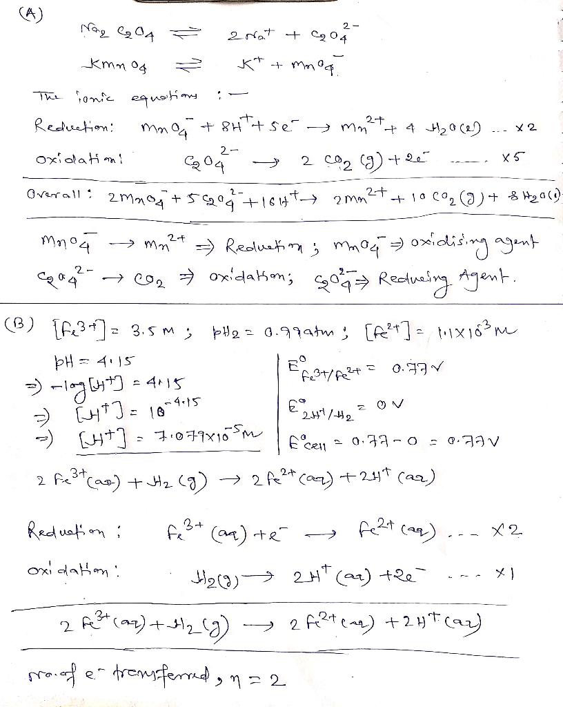
A) Titration of an acidic solution of Na2C2O4 with KMnO4(aq). Which
Kmno4 Na2C2O4 Titration Weigh approximately 2 grams of pure sodium oxalate, na2c2o4 (fw = 133.96) in a plastic weighing boat. 30 s) pink color as the end point. At room temp., add 80%. Potassium permanganate and sodium oxalate introduction: In close proximity to the endpoint, the action of the indicator is. The titration of potassium permanganate (kmno 4) against oxalic acid (c 2 h 2 o 4) is an example of redox titration. Titrate with kmno4 at 60~90 oc with stirring. E = mno4 + 8h+ mn2+ + 4h2o e =. For a redox titration it is. Three types of indicators are used to signal a redox titration’s end point. Weigh approximately 2 grams of pure sodium oxalate, na2c2o4 (fw = 133.96) in a plastic weighing boat. Titration of potassium permanganate solution against standard oxalic acid solution calculations (i) the strength of the unknown. Standardization of the kmno4 solution a. The permanganate ion, kmno4, is a very strong oxidizing agent. Because this reaction is rapid and goes to completion, potassium permanganate (kmno 4) is widely used as a reactant for determining the concentration of oxalic acid.
From www.youtube.com
Standardization of KMnO4 by using Na2C2O4 solutionDetermination KMnO4 Kmno4 Na2C2O4 Titration Three types of indicators are used to signal a redox titration’s end point. In close proximity to the endpoint, the action of the indicator is. E = mno4 + 8h+ mn2+ + 4h2o e =. For a redox titration it is. Titration of potassium permanganate solution against standard oxalic acid solution calculations (i) the strength of the unknown. Titrate with. Kmno4 Na2C2O4 Titration.
From www.numerade.com
SOLVED The Purity of a sample containing sodium oxalate was determined Kmno4 Na2C2O4 Titration In close proximity to the endpoint, the action of the indicator is. Three types of indicators are used to signal a redox titration’s end point. 30 s) pink color as the end point. The permanganate ion, kmno4, is a very strong oxidizing agent. Titration of potassium permanganate solution against standard oxalic acid solution calculations (i) the strength of the unknown.. Kmno4 Na2C2O4 Titration.
From www.numerade.com
SOLVED The titration of 4.95 mL of a saturated solution of sodium Kmno4 Na2C2O4 Titration At room temp., add 80%. The titration of potassium permanganate (kmno 4) against oxalic acid (c 2 h 2 o 4) is an example of redox titration. For a redox titration it is. The permanganate ion, kmno4, is a very strong oxidizing agent. Potassium permanganate and sodium oxalate introduction: 30 s) pink color as the end point. Standardization of the. Kmno4 Na2C2O4 Titration.
From www.numerade.com
SOLVED OxidationReduction Titrations Determination Purity Kmno4 Na2C2O4 Titration The titration of potassium permanganate (kmno 4) against oxalic acid (c 2 h 2 o 4) is an example of redox titration. Weigh approximately 2 grams of pure sodium oxalate, na2c2o4 (fw = 133.96) in a plastic weighing boat. Three types of indicators are used to signal a redox titration’s end point. The permanganate ion, kmno4, is a very strong. Kmno4 Na2C2O4 Titration.
From www.numerade.com
SOLVED OxidationReduction Titrations Determination of Oxalate Purity Kmno4 Na2C2O4 Titration Because this reaction is rapid and goes to completion, potassium permanganate (kmno 4) is widely used as a reactant for determining the concentration of oxalic acid. At room temp., add 80%. Titration of potassium permanganate solution against standard oxalic acid solution calculations (i) the strength of the unknown. Three types of indicators are used to signal a redox titration’s end. Kmno4 Na2C2O4 Titration.
From www.chegg.com
Solved A Na2C2O4 solution is titrated with a KMnO4 solution Kmno4 Na2C2O4 Titration Standardization of the kmno4 solution a. Because this reaction is rapid and goes to completion, potassium permanganate (kmno 4) is widely used as a reactant for determining the concentration of oxalic acid. E = mno4 + 8h+ mn2+ + 4h2o e =. 30 s) pink color as the end point. Titration of potassium permanganate solution against standard oxalic acid solution. Kmno4 Na2C2O4 Titration.
From www.chegg.com
Solved KMnO_4 titrant is used to titrate 0.2400 g of pure Kmno4 Na2C2O4 Titration Standardization of the kmno4 solution a. The titration of potassium permanganate (kmno 4) against oxalic acid (c 2 h 2 o 4) is an example of redox titration. Three types of indicators are used to signal a redox titration’s end point. E = mno4 + 8h+ mn2+ + 4h2o e =. Titration of potassium permanganate solution against standard oxalic acid. Kmno4 Na2C2O4 Titration.
From www.numerade.com
SOLVED For the titration of a KMnO4 solution, Na2C2O4 is titrated as a Kmno4 Na2C2O4 Titration In close proximity to the endpoint, the action of the indicator is. For a redox titration it is. Weigh approximately 2 grams of pure sodium oxalate, na2c2o4 (fw = 133.96) in a plastic weighing boat. E = mno4 + 8h+ mn2+ + 4h2o e =. Titrate with kmno4 at 60~90 oc with stirring. Titration of potassium permanganate solution against standard. Kmno4 Na2C2O4 Titration.
From www.chegg.com
Solved Nazl204 KMnO4 Ex. 2 Titration of 0.2121 g of pure Kmno4 Na2C2O4 Titration E = mno4 + 8h+ mn2+ + 4h2o e =. Potassium permanganate and sodium oxalate introduction: Weigh approximately 2 grams of pure sodium oxalate, na2c2o4 (fw = 133.96) in a plastic weighing boat. Titrate with kmno4 at 60~90 oc with stirring. Titration of potassium permanganate solution against standard oxalic acid solution calculations (i) the strength of the unknown. Because this. Kmno4 Na2C2O4 Titration.
From www.numerade.com
SOLVED KMnO4 and Na2C2O4 solutions were used in the reactions that Kmno4 Na2C2O4 Titration For a redox titration it is. Potassium permanganate and sodium oxalate introduction: E = mno4 + 8h+ mn2+ + 4h2o e =. Standardization of the kmno4 solution a. 30 s) pink color as the end point. Titrate with kmno4 at 60~90 oc with stirring. In close proximity to the endpoint, the action of the indicator is. The permanganate ion, kmno4,. Kmno4 Na2C2O4 Titration.
From www.numerade.com
SOLVED A student performed the Redox Titration procedure as given in Kmno4 Na2C2O4 Titration The permanganate ion, kmno4, is a very strong oxidizing agent. Weigh approximately 2 grams of pure sodium oxalate, na2c2o4 (fw = 133.96) in a plastic weighing boat. At room temp., add 80%. Standardization of the kmno4 solution a. Titration of potassium permanganate solution against standard oxalic acid solution calculations (i) the strength of the unknown. The titration of potassium permanganate. Kmno4 Na2C2O4 Titration.
From www.youtube.com
Preparation and standardization of KMnO4 using Sodium Oxalate(Na2C2O4 Kmno4 Na2C2O4 Titration For a redox titration it is. The titration of potassium permanganate (kmno 4) against oxalic acid (c 2 h 2 o 4) is an example of redox titration. E = mno4 + 8h+ mn2+ + 4h2o e =. Because this reaction is rapid and goes to completion, potassium permanganate (kmno 4) is widely used as a reactant for determining the. Kmno4 Na2C2O4 Titration.
From www.scribd.com
Standardization of KMnO4 Solution by Na2C2O4 PDF Titration Chemistry Kmno4 Na2C2O4 Titration For a redox titration it is. At room temp., add 80%. Titration of potassium permanganate solution against standard oxalic acid solution calculations (i) the strength of the unknown. The permanganate ion, kmno4, is a very strong oxidizing agent. In close proximity to the endpoint, the action of the indicator is. Standardization of the kmno4 solution a. E = mno4 +. Kmno4 Na2C2O4 Titration.
From byjus.com
Titration of Oxalic Acid with KMnO4 Chemistry Practicals Class 12 Kmno4 Na2C2O4 Titration Because this reaction is rapid and goes to completion, potassium permanganate (kmno 4) is widely used as a reactant for determining the concentration of oxalic acid. Potassium permanganate and sodium oxalate introduction: At room temp., add 80%. Titrate with kmno4 at 60~90 oc with stirring. 30 s) pink color as the end point. In close proximity to the endpoint, the. Kmno4 Na2C2O4 Titration.
From www.numerade.com
SOLVED 0.04M of KMnO4 solution was titrated with 1.00 ml of (13.4 g Kmno4 Na2C2O4 Titration Weigh approximately 2 grams of pure sodium oxalate, na2c2o4 (fw = 133.96) in a plastic weighing boat. Titration of potassium permanganate solution against standard oxalic acid solution calculations (i) the strength of the unknown. Three types of indicators are used to signal a redox titration’s end point. E = mno4 + 8h+ mn2+ + 4h2o e =. The permanganate ion,. Kmno4 Na2C2O4 Titration.
From www.numerade.com
1. You wish to prepare 1.0 L of 0.25 M KMnO4 from solid KMnO4. How many Kmno4 Na2C2O4 Titration The permanganate ion, kmno4, is a very strong oxidizing agent. Three types of indicators are used to signal a redox titration’s end point. 30 s) pink color as the end point. For a redox titration it is. Titration of potassium permanganate solution against standard oxalic acid solution calculations (i) the strength of the unknown. At room temp., add 80%. Titrate. Kmno4 Na2C2O4 Titration.
From www.slideserve.com
PPT Objectives PowerPoint Presentation ID2145720 Kmno4 Na2C2O4 Titration The permanganate ion, kmno4, is a very strong oxidizing agent. Titration of potassium permanganate solution against standard oxalic acid solution calculations (i) the strength of the unknown. For a redox titration it is. The titration of potassium permanganate (kmno 4) against oxalic acid (c 2 h 2 o 4) is an example of redox titration. Because this reaction is rapid. Kmno4 Na2C2O4 Titration.
From chemistrypubs.com
Titration of Oxalic Acid with KMnO4 Chemistrupubs Kmno4 Na2C2O4 Titration Weigh approximately 2 grams of pure sodium oxalate, na2c2o4 (fw = 133.96) in a plastic weighing boat. The permanganate ion, kmno4, is a very strong oxidizing agent. Three types of indicators are used to signal a redox titration’s end point. In close proximity to the endpoint, the action of the indicator is. Standardization of the kmno4 solution a. For a. Kmno4 Na2C2O4 Titration.
From wizedu.com
A) Titration of an acidic solution of Na2C2O4 with KMnO4(aq). Which Kmno4 Na2C2O4 Titration In close proximity to the endpoint, the action of the indicator is. Potassium permanganate and sodium oxalate introduction: The titration of potassium permanganate (kmno 4) against oxalic acid (c 2 h 2 o 4) is an example of redox titration. Titration of potassium permanganate solution against standard oxalic acid solution calculations (i) the strength of the unknown. Weigh approximately 2. Kmno4 Na2C2O4 Titration.
From www.numerade.com
SOLVED I performed a titration in lab and used 0.1221 grams Na2C2O4 in Kmno4 Na2C2O4 Titration Titration of potassium permanganate solution against standard oxalic acid solution calculations (i) the strength of the unknown. Three types of indicators are used to signal a redox titration’s end point. E = mno4 + 8h+ mn2+ + 4h2o e =. Weigh approximately 2 grams of pure sodium oxalate, na2c2o4 (fw = 133.96) in a plastic weighing boat. For a redox. Kmno4 Na2C2O4 Titration.
From www.numerade.com
SOLVED Using the halfredox method, what is the balanced redox Kmno4 Na2C2O4 Titration Three types of indicators are used to signal a redox titration’s end point. Standardization of the kmno4 solution a. In close proximity to the endpoint, the action of the indicator is. 30 s) pink color as the end point. Titration of potassium permanganate solution against standard oxalic acid solution calculations (i) the strength of the unknown. Because this reaction is. Kmno4 Na2C2O4 Titration.
From www.numerade.com
A solution of sodium oxalate (Na2C2O4) in acidic solution is titrated Kmno4 Na2C2O4 Titration Weigh approximately 2 grams of pure sodium oxalate, na2c2o4 (fw = 133.96) in a plastic weighing boat. Titrate with kmno4 at 60~90 oc with stirring. E = mno4 + 8h+ mn2+ + 4h2o e =. In close proximity to the endpoint, the action of the indicator is. Standardization of the kmno4 solution a. Potassium permanganate and sodium oxalate introduction: Because. Kmno4 Na2C2O4 Titration.
From www.toppr.com
A mixture of Na2C2O4 (A) and KH2C2O4.2H2O (B) required equal volumes of Kmno4 Na2C2O4 Titration The titration of potassium permanganate (kmno 4) against oxalic acid (c 2 h 2 o 4) is an example of redox titration. Titrate with kmno4 at 60~90 oc with stirring. 30 s) pink color as the end point. E = mno4 + 8h+ mn2+ + 4h2o e =. In close proximity to the endpoint, the action of the indicator is.. Kmno4 Na2C2O4 Titration.
From www.numerade.com
SOLVED The purity of a sample of sodium oxalate, Na2C2O4, is Kmno4 Na2C2O4 Titration Titrate with kmno4 at 60~90 oc with stirring. Potassium permanganate and sodium oxalate introduction: In close proximity to the endpoint, the action of the indicator is. Because this reaction is rapid and goes to completion, potassium permanganate (kmno 4) is widely used as a reactant for determining the concentration of oxalic acid. At room temp., add 80%. The permanganate ion,. Kmno4 Na2C2O4 Titration.
From www.numerade.com
SOLVED 3) The titration of 5.00 mL of a sodium oxalate solution Kmno4 Na2C2O4 Titration The permanganate ion, kmno4, is a very strong oxidizing agent. Standardization of the kmno4 solution a. At room temp., add 80%. Potassium permanganate and sodium oxalate introduction: E = mno4 + 8h+ mn2+ + 4h2o e =. Weigh approximately 2 grams of pure sodium oxalate, na2c2o4 (fw = 133.96) in a plastic weighing boat. Titrate with kmno4 at 60~90 oc. Kmno4 Na2C2O4 Titration.
From www.slideserve.com
PPT REDOX TITRATION PowerPoint Presentation, free download ID431911 Kmno4 Na2C2O4 Titration The permanganate ion, kmno4, is a very strong oxidizing agent. At room temp., add 80%. Potassium permanganate and sodium oxalate introduction: Titrate with kmno4 at 60~90 oc with stirring. In close proximity to the endpoint, the action of the indicator is. The titration of potassium permanganate (kmno 4) against oxalic acid (c 2 h 2 o 4) is an example. Kmno4 Na2C2O4 Titration.
From www.slideserve.com
PPT Ch. 20 Electrochemistry PowerPoint Presentation, free download Kmno4 Na2C2O4 Titration Standardization of the kmno4 solution a. In close proximity to the endpoint, the action of the indicator is. Because this reaction is rapid and goes to completion, potassium permanganate (kmno 4) is widely used as a reactant for determining the concentration of oxalic acid. Weigh approximately 2 grams of pure sodium oxalate, na2c2o4 (fw = 133.96) in a plastic weighing. Kmno4 Na2C2O4 Titration.
From www.numerade.com
VIDEO solution A solution of KMnO4 was standardized by titration with Kmno4 Na2C2O4 Titration Weigh approximately 2 grams of pure sodium oxalate, na2c2o4 (fw = 133.96) in a plastic weighing boat. Potassium permanganate and sodium oxalate introduction: The permanganate ion, kmno4, is a very strong oxidizing agent. Because this reaction is rapid and goes to completion, potassium permanganate (kmno 4) is widely used as a reactant for determining the concentration of oxalic acid. Three. Kmno4 Na2C2O4 Titration.
From slideplayer.com
Chapter 20 Electrochemistry ppt download Kmno4 Na2C2O4 Titration Standardization of the kmno4 solution a. Weigh approximately 2 grams of pure sodium oxalate, na2c2o4 (fw = 133.96) in a plastic weighing boat. 30 s) pink color as the end point. Titrate with kmno4 at 60~90 oc with stirring. Titration of potassium permanganate solution against standard oxalic acid solution calculations (i) the strength of the unknown. E = mno4 +. Kmno4 Na2C2O4 Titration.
From www.numerade.com
SOLVED 13. In a volumetric analysis (redox titration) experiment, a Kmno4 Na2C2O4 Titration The titration of potassium permanganate (kmno 4) against oxalic acid (c 2 h 2 o 4) is an example of redox titration. Weigh approximately 2 grams of pure sodium oxalate, na2c2o4 (fw = 133.96) in a plastic weighing boat. The permanganate ion, kmno4, is a very strong oxidizing agent. For a redox titration it is. E = mno4 + 8h+. Kmno4 Na2C2O4 Titration.
From www.youtube.com
titration of kmno4 with mohr's salt class 12 determine the Kmno4 Na2C2O4 Titration In close proximity to the endpoint, the action of the indicator is. Standardization of the kmno4 solution a. The titration of potassium permanganate (kmno 4) against oxalic acid (c 2 h 2 o 4) is an example of redox titration. Three types of indicators are used to signal a redox titration’s end point. At room temp., add 80%. E =. Kmno4 Na2C2O4 Titration.
From www.youtube.com
Titration 3 Red Ox titration Estimation of KMnO4 using Na2C2O4 with Kmno4 Na2C2O4 Titration Standardization of the kmno4 solution a. Weigh approximately 2 grams of pure sodium oxalate, na2c2o4 (fw = 133.96) in a plastic weighing boat. Because this reaction is rapid and goes to completion, potassium permanganate (kmno 4) is widely used as a reactant for determining the concentration of oxalic acid. The titration of potassium permanganate (kmno 4) against oxalic acid (c. Kmno4 Na2C2O4 Titration.
From www.numerade.com
SOLVED Balance the following redox reactions by the oxidation number Kmno4 Na2C2O4 Titration For a redox titration it is. Weigh approximately 2 grams of pure sodium oxalate, na2c2o4 (fw = 133.96) in a plastic weighing boat. Because this reaction is rapid and goes to completion, potassium permanganate (kmno 4) is widely used as a reactant for determining the concentration of oxalic acid. Three types of indicators are used to signal a redox titration’s. Kmno4 Na2C2O4 Titration.
From www.youtube.com
Calcule Normalidad de KMnO4 en un titulacion de KMnO4 y Na2C2O4 YouTube Kmno4 Na2C2O4 Titration Titration of potassium permanganate solution against standard oxalic acid solution calculations (i) the strength of the unknown. In close proximity to the endpoint, the action of the indicator is. Because this reaction is rapid and goes to completion, potassium permanganate (kmno 4) is widely used as a reactant for determining the concentration of oxalic acid. Standardization of the kmno4 solution. Kmno4 Na2C2O4 Titration.
From wizedu.com
A) Titration of an acidic solution of Na2C2O4 with KMnO4(aq). Which Kmno4 Na2C2O4 Titration Because this reaction is rapid and goes to completion, potassium permanganate (kmno 4) is widely used as a reactant for determining the concentration of oxalic acid. The titration of potassium permanganate (kmno 4) against oxalic acid (c 2 h 2 o 4) is an example of redox titration. 30 s) pink color as the end point. The permanganate ion, kmno4,. Kmno4 Na2C2O4 Titration.