Cramer's Rule 2 X 2 . This precalculus video tutorial explains how to solve a system of linear equations. Cramer’s rule is used to determine the solution of a system of linear equations in n variables. Cramer's rule is a way of solving a system of linear equations using determinants. Learn cramer’s rule for matrices of order 2x2, 3x3,. Use cramer’s rule to solve a system of equations in two variables. Evaluate 2 × 2 determinants. Use cramer’s rule to solve a system of three equations in three variables. Consider the following system of equations: Review the procedure of solving the determinant of a 2x2. Cramer's rule is used to find the solution of the system of equations with a unique solution. Learn more about applying cramer's rule for 2x2 and 3x3 equations. Solve 2x2 systems of linear equations using cramer's rule for two variables. Know the properties of determinants. Use cramer’s rule to solve a system of three equations in three variables. Evaluate 3 × 3 determinants.
from www.slideserve.com
Evaluate 3 × 3 determinants. Use cramer’s rule to solve a system of three equations in three variables. Know the properties of determinants. Learn cramer’s rule for matrices of order 2x2, 3x3,. Cramer’s rule is used to determine the solution of a system of linear equations in n variables. Learn more about applying cramer's rule for 2x2 and 3x3 equations. Use cramer’s rule to solve a system of equations in two variables. Solve 2x2 systems of linear equations using cramer's rule for two variables. Cramer's rule is a way of solving a system of linear equations using determinants. This precalculus video tutorial explains how to solve a system of linear equations.
PPT Cramer’s Rule PowerPoint Presentation ID242422
Cramer's Rule 2 X 2 Cramer's rule is a way of solving a system of linear equations using determinants. Cramer’s rule is used to determine the solution of a system of linear equations in n variables. Cramer's rule is a way of solving a system of linear equations using determinants. Review the procedure of solving the determinant of a 2x2. This precalculus video tutorial explains how to solve a system of linear equations. Use cramer’s rule to solve a system of three equations in three variables. Learn cramer’s rule for matrices of order 2x2, 3x3,. Evaluate 2 × 2 determinants. Use cramer’s rule to solve a system of three equations in three variables. Evaluate 3 × 3 determinants. Know the properties of determinants. Know the properties of determinants. Solve 2x2 systems of linear equations using cramer's rule for two variables. We have learned how to solve. Learn more about applying cramer's rule for 2x2 and 3x3 equations. Use cramer’s rule to solve a system of equations in two variables.
From slideplayer.com
Using matrices to solve Systems of Equations ppt download Cramer's Rule 2 X 2 Evaluate 2 × 2 determinants. Solve 2x2 systems of linear equations using cramer's rule for two variables. Consider the following system of equations: Learn more about applying cramer's rule for 2x2 and 3x3 equations. Use cramer’s rule to solve a system of equations in two variables. Learn cramer’s rule for matrices of order 2x2, 3x3,. Know the properties of determinants.. Cramer's Rule 2 X 2.
From www.slideshare.net
Cramers rule Cramer's Rule 2 X 2 Evaluate 3 × 3 determinants. Know the properties of determinants. Consider the following system of equations: Cramer's rule is used to find the solution of the system of equations with a unique solution. Learn cramer’s rule for matrices of order 2x2, 3x3,. Know the properties of determinants. Evaluate 2 × 2 determinants. This precalculus video tutorial explains how to solve. Cramer's Rule 2 X 2.
From www.youtube.com
Cramer's Rule to Solve 2x2 System of Linear Equations Algebra 2 YouTube Cramer's Rule 2 X 2 Know the properties of determinants. Learn cramer’s rule for matrices of order 2x2, 3x3,. Evaluate 3 × 3 determinants. Know the properties of determinants. This precalculus video tutorial explains how to solve a system of linear equations. Use cramer’s rule to solve a system of equations in two variables. We have learned how to solve. Solve 2x2 systems of linear. Cramer's Rule 2 X 2.
From www.slideserve.com
PPT Cramer’s Rule for 2x2 systems PowerPoint Presentation, free Cramer's Rule 2 X 2 Cramer's rule is a way of solving a system of linear equations using determinants. Know the properties of determinants. Learn cramer’s rule for matrices of order 2x2, 3x3,. Use cramer’s rule to solve a system of three equations in three variables. Use cramer’s rule to solve a system of three equations in three variables. Cramer's rule is used to find. Cramer's Rule 2 X 2.
From www.youtube.com
How to Solve a 2 x 2 Linear System Using Cramer's Rule 3 Examples Cramer's Rule 2 X 2 Use cramer’s rule to solve a system of three equations in three variables. Know the properties of determinants. Learn more about applying cramer's rule for 2x2 and 3x3 equations. Evaluate 2 × 2 determinants. This precalculus video tutorial explains how to solve a system of linear equations. Cramer's rule is a way of solving a system of linear equations using. Cramer's Rule 2 X 2.
From www.slideserve.com
PPT Cramer's Rule PowerPoint Presentation, free download ID1712785 Cramer's Rule 2 X 2 We have learned how to solve. Cramer’s rule is used to determine the solution of a system of linear equations in n variables. Evaluate 3 × 3 determinants. Evaluate 2 × 2 determinants. Learn more about applying cramer's rule for 2x2 and 3x3 equations. Know the properties of determinants. Use cramer’s rule to solve a system of three equations in. Cramer's Rule 2 X 2.
From www.slideserve.com
PPT Cramer’s Rule PowerPoint Presentation ID242422 Cramer's Rule 2 X 2 Learn cramer’s rule for matrices of order 2x2, 3x3,. Evaluate 3 × 3 determinants. Use cramer’s rule to solve a system of three equations in three variables. Cramer's rule is a way of solving a system of linear equations using determinants. Evaluate 2 × 2 determinants. Solve 2x2 systems of linear equations using cramer's rule for two variables. Cramer's rule. Cramer's Rule 2 X 2.
From www.youtube.com
Cramer's Rule 2x2 Linear System YouTube Cramer's Rule 2 X 2 Know the properties of determinants. Use cramer’s rule to solve a system of three equations in three variables. Learn cramer’s rule for matrices of order 2x2, 3x3,. Cramer's rule is a way of solving a system of linear equations using determinants. Learn more about applying cramer's rule for 2x2 and 3x3 equations. Evaluate 2 × 2 determinants. Consider the following. Cramer's Rule 2 X 2.
From www.shutterstock.com
Cramers Rule 2x2 Matrix Formula Stock Vector (Royalty Free) 1929328442 Cramer's Rule 2 X 2 Cramer’s rule is used to determine the solution of a system of linear equations in n variables. We have learned how to solve. Review the procedure of solving the determinant of a 2x2. Evaluate 2 × 2 determinants. Learn more about applying cramer's rule for 2x2 and 3x3 equations. Cramer's rule is used to find the solution of the system. Cramer's Rule 2 X 2.
From www.slideserve.com
PPT Warm up PowerPoint Presentation, free download ID2573857 Cramer's Rule 2 X 2 Know the properties of determinants. Consider the following system of equations: Know the properties of determinants. Solve 2x2 systems of linear equations using cramer's rule for two variables. Use cramer’s rule to solve a system of three equations in three variables. Cramer’s rule is used to determine the solution of a system of linear equations in n variables. Learn more. Cramer's Rule 2 X 2.
From www.slideserve.com
PPT Cramer’s Rule PowerPoint Presentation ID242422 Cramer's Rule 2 X 2 This precalculus video tutorial explains how to solve a system of linear equations. Learn more about applying cramer's rule for 2x2 and 3x3 equations. Solve 2x2 systems of linear equations using cramer's rule for two variables. We have learned how to solve. Consider the following system of equations: Use cramer’s rule to solve a system of three equations in three. Cramer's Rule 2 X 2.
From slideplayer.com
Cramer’s Rule for 2x2 systems ppt download Cramer's Rule 2 X 2 We have learned how to solve. Review the procedure of solving the determinant of a 2x2. Evaluate 2 × 2 determinants. Learn more about applying cramer's rule for 2x2 and 3x3 equations. Know the properties of determinants. Solve 2x2 systems of linear equations using cramer's rule for two variables. Evaluate 3 × 3 determinants. Know the properties of determinants. Use. Cramer's Rule 2 X 2.
From www.geeksforgeeks.org
Cramer's Rule Formula, 2×2, 3×3, Solved Examples, and FAQs Cramer's Rule 2 X 2 Cramer's rule is a way of solving a system of linear equations using determinants. Know the properties of determinants. Evaluate 3 × 3 determinants. Consider the following system of equations: Know the properties of determinants. This precalculus video tutorial explains how to solve a system of linear equations. Review the procedure of solving the determinant of a 2x2. Evaluate 2. Cramer's Rule 2 X 2.
From www.youtube.com
Solving Systems of Equations using Cramer's Rule with 2x2 Matrices Cramer's Rule 2 X 2 Cramer’s rule is used to determine the solution of a system of linear equations in n variables. Know the properties of determinants. Use cramer’s rule to solve a system of equations in two variables. Know the properties of determinants. Evaluate 2 × 2 determinants. This precalculus video tutorial explains how to solve a system of linear equations. Consider the following. Cramer's Rule 2 X 2.
From www.slideserve.com
PPT Cramer’s Rule PowerPoint Presentation, free download ID4489111 Cramer's Rule 2 X 2 Cramer's rule is used to find the solution of the system of equations with a unique solution. Know the properties of determinants. We have learned how to solve. Evaluate 3 × 3 determinants. Learn cramer’s rule for matrices of order 2x2, 3x3,. Cramer’s rule is used to determine the solution of a system of linear equations in n variables. This. Cramer's Rule 2 X 2.
From www.shutterstock.com
Cramers Rule 2x2 Matrix Formula Stock Vector (Royalty Free) 1929307931 Cramer's Rule 2 X 2 Learn cramer’s rule for matrices of order 2x2, 3x3,. Learn more about applying cramer's rule for 2x2 and 3x3 equations. Evaluate 2 × 2 determinants. We have learned how to solve. Know the properties of determinants. Consider the following system of equations: Evaluate 3 × 3 determinants. Solve 2x2 systems of linear equations using cramer's rule for two variables. This. Cramer's Rule 2 X 2.
From fisimatica.net
Cómo usar la regla de Cramer para resolver ecuaciones Cramer's Rule 2 X 2 Use cramer’s rule to solve a system of three equations in three variables. Evaluate 3 × 3 determinants. We have learned how to solve. Know the properties of determinants. Learn more about applying cramer's rule for 2x2 and 3x3 equations. Know the properties of determinants. Consider the following system of equations: Evaluate 2 × 2 determinants. Learn cramer’s rule for. Cramer's Rule 2 X 2.
From www.geeksforgeeks.org
Cramer's Rule Formula, 2×2, 3×3, Solved Examples, and FAQs Cramer's Rule 2 X 2 Cramer’s rule is used to determine the solution of a system of linear equations in n variables. Use cramer’s rule to solve a system of three equations in three variables. Cramer's rule is a way of solving a system of linear equations using determinants. Know the properties of determinants. Cramer's rule is used to find the solution of the system. Cramer's Rule 2 X 2.
From www.numerade.com
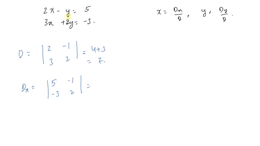
Solve system using Cramer's rule. 2 xy=5 3 x+2 y=3 Numerade Cramer's Rule 2 X 2 Cramer’s rule is used to determine the solution of a system of linear equations in n variables. Solve 2x2 systems of linear equations using cramer's rule for two variables. Learn more about applying cramer's rule for 2x2 and 3x3 equations. Evaluate 2 × 2 determinants. Use cramer’s rule to solve a system of three equations in three variables. This precalculus. Cramer's Rule 2 X 2.
From www.chegg.com
Solved stion 1 Solve using Cramer's Rule (2 x 2) (working Cramer's Rule 2 X 2 Learn more about applying cramer's rule for 2x2 and 3x3 equations. Know the properties of determinants. Evaluate 3 × 3 determinants. Use cramer’s rule to solve a system of three equations in three variables. We have learned how to solve. This precalculus video tutorial explains how to solve a system of linear equations. Use cramer’s rule to solve a system. Cramer's Rule 2 X 2.
From www.youtube.com
Cramer Rule 2 x 2 YouTube Cramer's Rule 2 X 2 Use cramer’s rule to solve a system of three equations in three variables. Cramer's rule is used to find the solution of the system of equations with a unique solution. Evaluate 3 × 3 determinants. Solve 2x2 systems of linear equations using cramer's rule for two variables. This precalculus video tutorial explains how to solve a system of linear equations.. Cramer's Rule 2 X 2.
From www.youtube.com
Cramer's Rule(2×2 Matrices)Solving Linear Equations YouTube Cramer's Rule 2 X 2 This precalculus video tutorial explains how to solve a system of linear equations. Use cramer’s rule to solve a system of equations in two variables. Know the properties of determinants. We have learned how to solve. Cramer's rule is used to find the solution of the system of equations with a unique solution. Evaluate 2 × 2 determinants. Review the. Cramer's Rule 2 X 2.
From studylib.net
ADDITIONALLABACTIVITYCramersRULE2x2and3x34x4OPTIONALFOR Cramer's Rule 2 X 2 Consider the following system of equations: Evaluate 3 × 3 determinants. Learn cramer’s rule for matrices of order 2x2, 3x3,. Cramer’s rule is used to determine the solution of a system of linear equations in n variables. Use cramer’s rule to solve a system of three equations in three variables. Know the properties of determinants. Evaluate 2 × 2 determinants.. Cramer's Rule 2 X 2.
From www.slideserve.com
PPT Fundamentals of Engineering Analysis PowerPoint Presentation Cramer's Rule 2 X 2 Cramer's rule is a way of solving a system of linear equations using determinants. Cramer’s rule is used to determine the solution of a system of linear equations in n variables. Learn cramer’s rule for matrices of order 2x2, 3x3,. Evaluate 2 × 2 determinants. This precalculus video tutorial explains how to solve a system of linear equations. Use cramer’s. Cramer's Rule 2 X 2.
From www.youtube.com
Solving a 2x2 Matrix Using Cramer's Rule Linear Algebra YouTube Cramer's Rule 2 X 2 Learn cramer’s rule for matrices of order 2x2, 3x3,. Evaluate 3 × 3 determinants. This precalculus video tutorial explains how to solve a system of linear equations. Learn more about applying cramer's rule for 2x2 and 3x3 equations. Know the properties of determinants. Cramer’s rule is used to determine the solution of a system of linear equations in n variables.. Cramer's Rule 2 X 2.
From www.slideserve.com
PPT Cramer’s Rule PowerPoint Presentation, free download ID4489111 Cramer's Rule 2 X 2 Know the properties of determinants. Know the properties of determinants. Evaluate 3 × 3 determinants. Use cramer’s rule to solve a system of three equations in three variables. Solve 2x2 systems of linear equations using cramer's rule for two variables. Consider the following system of equations: Learn more about applying cramer's rule for 2x2 and 3x3 equations. Cramer's rule is. Cramer's Rule 2 X 2.
From www.slideserve.com
PPT 33 Cramer’s Rule PowerPoint Presentation, free download ID Cramer's Rule 2 X 2 Cramer's rule is a way of solving a system of linear equations using determinants. Use cramer’s rule to solve a system of equations in two variables. Evaluate 2 × 2 determinants. Learn cramer’s rule for matrices of order 2x2, 3x3,. Cramer's rule is used to find the solution of the system of equations with a unique solution. Solve 2x2 systems. Cramer's Rule 2 X 2.
From studylistlawkses.z5.web.core.windows.net
Cramer's Rule For 2x2 Cramer's Rule 2 X 2 Use cramer’s rule to solve a system of three equations in three variables. Know the properties of determinants. Use cramer’s rule to solve a system of equations in two variables. Cramer's rule is a way of solving a system of linear equations using determinants. Solve 2x2 systems of linear equations using cramer's rule for two variables. Cramer's rule is used. Cramer's Rule 2 X 2.
From www.slideserve.com
PPT Cramer's Rule PowerPoint Presentation, free download ID1712785 Cramer's Rule 2 X 2 This precalculus video tutorial explains how to solve a system of linear equations. We have learned how to solve. Use cramer’s rule to solve a system of three equations in three variables. Know the properties of determinants. Review the procedure of solving the determinant of a 2x2. Consider the following system of equations: Evaluate 3 × 3 determinants. Solve 2x2. Cramer's Rule 2 X 2.
From www.showme.com
Cramer's Rule 2 x 2 ShowMe Cramer's Rule 2 X 2 Solve 2x2 systems of linear equations using cramer's rule for two variables. Consider the following system of equations: Use cramer’s rule to solve a system of equations in two variables. We have learned how to solve. Evaluate 2 × 2 determinants. Review the procedure of solving the determinant of a 2x2. Cramer’s rule is used to determine the solution of. Cramer's Rule 2 X 2.
From www.slideserve.com
PPT Fundamentals of Engineering Analysis PowerPoint Presentation Cramer's Rule 2 X 2 Learn more about applying cramer's rule for 2x2 and 3x3 equations. Use cramer’s rule to solve a system of equations in two variables. Evaluate 2 × 2 determinants. Know the properties of determinants. Consider the following system of equations: Cramer's rule is used to find the solution of the system of equations with a unique solution. We have learned how. Cramer's Rule 2 X 2.
From www.youtube.com
Cramer's Rule 2x2 Example Infinite Solutions YouTube Cramer's Rule 2 X 2 Learn more about applying cramer's rule for 2x2 and 3x3 equations. Cramer’s rule is used to determine the solution of a system of linear equations in n variables. Use cramer’s rule to solve a system of three equations in three variables. Learn cramer’s rule for matrices of order 2x2, 3x3,. Evaluate 2 × 2 determinants. Know the properties of determinants.. Cramer's Rule 2 X 2.
From slideplayer.com
Cramer’s Rule for 2x2 systems ppt download Cramer's Rule 2 X 2 Solve 2x2 systems of linear equations using cramer's rule for two variables. Use cramer’s rule to solve a system of three equations in three variables. Know the properties of determinants. Learn cramer’s rule for matrices of order 2x2, 3x3,. This precalculus video tutorial explains how to solve a system of linear equations. Cramer's rule is used to find the solution. Cramer's Rule 2 X 2.
From worksheetzonedinics.z14.web.core.windows.net
Cramer's Rule For 2x2 Cramer's Rule 2 X 2 Cramer's rule is used to find the solution of the system of equations with a unique solution. Use cramer’s rule to solve a system of three equations in three variables. Know the properties of determinants. We have learned how to solve. Evaluate 2 × 2 determinants. Know the properties of determinants. Review the procedure of solving the determinant of a. Cramer's Rule 2 X 2.
From www.youtube.com
Cramer's rule System of Linear Equations Determinants Solution of Cramer's Rule 2 X 2 Cramer's rule is used to find the solution of the system of equations with a unique solution. Review the procedure of solving the determinant of a 2x2. Evaluate 2 × 2 determinants. Use cramer’s rule to solve a system of three equations in three variables. We have learned how to solve. This precalculus video tutorial explains how to solve a. Cramer's Rule 2 X 2.