Ohmmeter Is Made By . It can be used to measure the resistance of heating element of heater,. The meter which measures the resistance and the continuity of the electrical circuit and their components such type of meter is known as the ohmmeter. This is a portable instrument, which indicates the value of a resistance (in ohm. In the simplest ohmmeters, the resistance to be. This meter is used to determine approximate (not too accurate) resistance of the circuit components. Ohmmeter, instrument for measuring electrical resistance, which is expressed in ohms. An ohmmeter is a fundamental electrical device used to. An ohmmeter is a device that measures the amount of electrical friction generated as electrons pass through an. It measures the resistance in ohms. In this topic, you study the definition, working & diagram of ohmmeter.
from www.electricaltechnology.org
The meter which measures the resistance and the continuity of the electrical circuit and their components such type of meter is known as the ohmmeter. This meter is used to determine approximate (not too accurate) resistance of the circuit components. An ohmmeter is a fundamental electrical device used to. It can be used to measure the resistance of heating element of heater,. Ohmmeter, instrument for measuring electrical resistance, which is expressed in ohms. This is a portable instrument, which indicates the value of a resistance (in ohm. In the simplest ohmmeters, the resistance to be. It measures the resistance in ohms. An ohmmeter is a device that measures the amount of electrical friction generated as electrons pass through an. In this topic, you study the definition, working & diagram of ohmmeter.
How To Perform a Continuity Test for Electric Components with Multimeter?
Ohmmeter Is Made By An ohmmeter is a device that measures the amount of electrical friction generated as electrons pass through an. An ohmmeter is a fundamental electrical device used to. In the simplest ohmmeters, the resistance to be. Ohmmeter, instrument for measuring electrical resistance, which is expressed in ohms. It can be used to measure the resistance of heating element of heater,. The meter which measures the resistance and the continuity of the electrical circuit and their components such type of meter is known as the ohmmeter. This is a portable instrument, which indicates the value of a resistance (in ohm. It measures the resistance in ohms. An ohmmeter is a device that measures the amount of electrical friction generated as electrons pass through an. This meter is used to determine approximate (not too accurate) resistance of the circuit components. In this topic, you study the definition, working & diagram of ohmmeter.
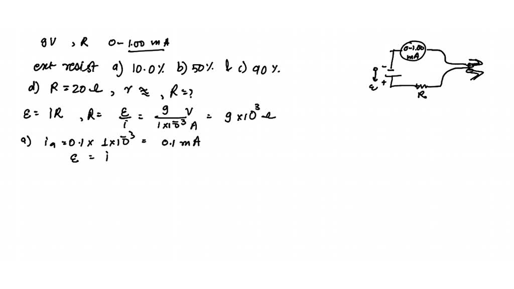
From www.chegg.com
Solved Q57 A A series type ohmmeter, designed to operate Ohmmeter Is Made By In this topic, you study the definition, working & diagram of ohmmeter. This is a portable instrument, which indicates the value of a resistance (in ohm. It measures the resistance in ohms. An ohmmeter is a fundamental electrical device used to. It can be used to measure the resistance of heating element of heater,. An ohmmeter is a device that. Ohmmeter Is Made By.
From electricalworkbook.com
What is Ohmmeter? Definition, Working, Diagram & Types Ohmmeter Is Made By It measures the resistance in ohms. In this topic, you study the definition, working & diagram of ohmmeter. The meter which measures the resistance and the continuity of the electrical circuit and their components such type of meter is known as the ohmmeter. In the simplest ohmmeters, the resistance to be. It can be used to measure the resistance of. Ohmmeter Is Made By.
From www.wikihow.com
How to Use an Ohmmeter 10 Steps (with Pictures) wikiHow Ohmmeter Is Made By The meter which measures the resistance and the continuity of the electrical circuit and their components such type of meter is known as the ohmmeter. An ohmmeter is a fundamental electrical device used to. This is a portable instrument, which indicates the value of a resistance (in ohm. In this topic, you study the definition, working & diagram of ohmmeter.. Ohmmeter Is Made By.
From teknikece.com
√ Ohmmeter Pengertian, Fungsi dan Cara Menggunakan Teknikece Ohmmeter Is Made By This is a portable instrument, which indicates the value of a resistance (in ohm. An ohmmeter is a device that measures the amount of electrical friction generated as electrons pass through an. An ohmmeter is a fundamental electrical device used to. Ohmmeter, instrument for measuring electrical resistance, which is expressed in ohms. This meter is used to determine approximate (not. Ohmmeter Is Made By.
From www.electricalvolt.com
What is Ohmmeter? Circuit Diagram, Types and Applications Ohmmeter Is Made By It measures the resistance in ohms. This is a portable instrument, which indicates the value of a resistance (in ohm. In this topic, you study the definition, working & diagram of ohmmeter. Ohmmeter, instrument for measuring electrical resistance, which is expressed in ohms. It can be used to measure the resistance of heating element of heater,. The meter which measures. Ohmmeter Is Made By.
From www.slideshare.net
type of ohmmeter Ohmmeter Is Made By It measures the resistance in ohms. In this topic, you study the definition, working & diagram of ohmmeter. Ohmmeter, instrument for measuring electrical resistance, which is expressed in ohms. In the simplest ohmmeters, the resistance to be. An ohmmeter is a fundamental electrical device used to. This is a portable instrument, which indicates the value of a resistance (in ohm.. Ohmmeter Is Made By.
From samtechlabs.com
Analog Ohmmeter Series Type Ohmmeter Is Made By In this topic, you study the definition, working & diagram of ohmmeter. The meter which measures the resistance and the continuity of the electrical circuit and their components such type of meter is known as the ohmmeter. This meter is used to determine approximate (not too accurate) resistance of the circuit components. This is a portable instrument, which indicates the. Ohmmeter Is Made By.
From www.numerade.com
A simple ohmmeter is made by connecting a 9.00 V flashlight battery in Ohmmeter Is Made By In this topic, you study the definition, working & diagram of ohmmeter. In the simplest ohmmeters, the resistance to be. It measures the resistance in ohms. It can be used to measure the resistance of heating element of heater,. An ohmmeter is a fundamental electrical device used to. An ohmmeter is a device that measures the amount of electrical friction. Ohmmeter Is Made By.
From ohmmeterikoroku.blogspot.com
Ohmmeter An Ohmmeter Is A Device Used To Measure Ohmmeter Is Made By This is a portable instrument, which indicates the value of a resistance (in ohm. An ohmmeter is a fundamental electrical device used to. The meter which measures the resistance and the continuity of the electrical circuit and their components such type of meter is known as the ohmmeter. It can be used to measure the resistance of heating element of. Ohmmeter Is Made By.
From www.aemc.com
MicroOhmmeter Model 6255 Ohmmeter Is Made By In the simplest ohmmeters, the resistance to be. This meter is used to determine approximate (not too accurate) resistance of the circuit components. In this topic, you study the definition, working & diagram of ohmmeter. It can be used to measure the resistance of heating element of heater,. It measures the resistance in ohms. An ohmmeter is a fundamental electrical. Ohmmeter Is Made By.
From ohmmeterikoroku.blogspot.com
Ohmmeter Ohmmeter Uses Ohmmeter Is Made By An ohmmeter is a fundamental electrical device used to. It can be used to measure the resistance of heating element of heater,. It measures the resistance in ohms. An ohmmeter is a device that measures the amount of electrical friction generated as electrons pass through an. In this topic, you study the definition, working & diagram of ohmmeter. This meter. Ohmmeter Is Made By.
From electricalworkbook.com
What is Ohmmeter? Definition, Working, Diagram & Types Ohmmeter Is Made By In the simplest ohmmeters, the resistance to be. In this topic, you study the definition, working & diagram of ohmmeter. An ohmmeter is a fundamental electrical device used to. Ohmmeter, instrument for measuring electrical resistance, which is expressed in ohms. It measures the resistance in ohms. This meter is used to determine approximate (not too accurate) resistance of the circuit. Ohmmeter Is Made By.
From www.warmlyyours.com
How to Use a Digital Ohmmeter for Radiant Heating Ohmmeter Is Made By It measures the resistance in ohms. The meter which measures the resistance and the continuity of the electrical circuit and their components such type of meter is known as the ohmmeter. An ohmmeter is a fundamental electrical device used to. In the simplest ohmmeters, the resistance to be. It can be used to measure the resistance of heating element of. Ohmmeter Is Made By.
From www.alamy.com
An old, analogue ohmmeter Stock Photo Alamy Ohmmeter Is Made By An ohmmeter is a device that measures the amount of electrical friction generated as electrons pass through an. It measures the resistance in ohms. This meter is used to determine approximate (not too accurate) resistance of the circuit components. The meter which measures the resistance and the continuity of the electrical circuit and their components such type of meter is. Ohmmeter Is Made By.
From www.chegg.com
Solved A simple ohmmeter is made by connecting a 2.00 V Ohmmeter Is Made By In the simplest ohmmeters, the resistance to be. Ohmmeter, instrument for measuring electrical resistance, which is expressed in ohms. The meter which measures the resistance and the continuity of the electrical circuit and their components such type of meter is known as the ohmmeter. An ohmmeter is a fundamental electrical device used to. This meter is used to determine approximate. Ohmmeter Is Made By.
From electricalgang.com
What is an Ohmmeter? The Definitive Guide Ohmmeter Is Made By An ohmmeter is a device that measures the amount of electrical friction generated as electrons pass through an. This is a portable instrument, which indicates the value of a resistance (in ohm. In the simplest ohmmeters, the resistance to be. The meter which measures the resistance and the continuity of the electrical circuit and their components such type of meter. Ohmmeter Is Made By.
From eduinput.com
Digital OhmmeterDefinition, Working, And Applications Ohmmeter Is Made By It measures the resistance in ohms. An ohmmeter is a fundamental electrical device used to. Ohmmeter, instrument for measuring electrical resistance, which is expressed in ohms. An ohmmeter is a device that measures the amount of electrical friction generated as electrons pass through an. This meter is used to determine approximate (not too accurate) resistance of the circuit components. The. Ohmmeter Is Made By.
From www.elprocus.com
What is an Ohmmeter? Circuit Working, Types, and Applications Ohmmeter Is Made By In the simplest ohmmeters, the resistance to be. This meter is used to determine approximate (not too accurate) resistance of the circuit components. An ohmmeter is a device that measures the amount of electrical friction generated as electrons pass through an. In this topic, you study the definition, working & diagram of ohmmeter. Ohmmeter, instrument for measuring electrical resistance, which. Ohmmeter Is Made By.
From www.elprocus.com
What is an Ohmmeter? Circuit Working, Types, and Applications Ohmmeter Is Made By This is a portable instrument, which indicates the value of a resistance (in ohm. The meter which measures the resistance and the continuity of the electrical circuit and their components such type of meter is known as the ohmmeter. It can be used to measure the resistance of heating element of heater,. An ohmmeter is a fundamental electrical device used. Ohmmeter Is Made By.
From www.youtube.com
How to use ohmmeter YouTube Ohmmeter Is Made By It can be used to measure the resistance of heating element of heater,. This is a portable instrument, which indicates the value of a resistance (in ohm. Ohmmeter, instrument for measuring electrical resistance, which is expressed in ohms. This meter is used to determine approximate (not too accurate) resistance of the circuit components. An ohmmeter is a device that measures. Ohmmeter Is Made By.
From www.electricity-magnetism.org
Digital ohmmeter How it works, Application & Advantages Ohmmeter Is Made By This meter is used to determine approximate (not too accurate) resistance of the circuit components. Ohmmeter, instrument for measuring electrical resistance, which is expressed in ohms. It measures the resistance in ohms. In the simplest ohmmeters, the resistance to be. An ohmmeter is a fundamental electrical device used to. The meter which measures the resistance and the continuity of the. Ohmmeter Is Made By.
From www.wikihow.com
How to Use an Ohmmeter 10 Steps (with Pictures) wikiHow Ohmmeter Is Made By In this topic, you study the definition, working & diagram of ohmmeter. The meter which measures the resistance and the continuity of the electrical circuit and their components such type of meter is known as the ohmmeter. This is a portable instrument, which indicates the value of a resistance (in ohm. An ohmmeter is a device that measures the amount. Ohmmeter Is Made By.
From www.numerade.com
SOLVEDA simple ohmmeter is made by connecting an ideal 1.50 V Ohmmeter Is Made By It can be used to measure the resistance of heating element of heater,. Ohmmeter, instrument for measuring electrical resistance, which is expressed in ohms. An ohmmeter is a fundamental electrical device used to. In this topic, you study the definition, working & diagram of ohmmeter. An ohmmeter is a device that measures the amount of electrical friction generated as electrons. Ohmmeter Is Made By.
From electricalgang.com
What is an Ohmmeter? The Definitive Guide Ohmmeter Is Made By This meter is used to determine approximate (not too accurate) resistance of the circuit components. It can be used to measure the resistance of heating element of heater,. In the simplest ohmmeters, the resistance to be. An ohmmeter is a device that measures the amount of electrical friction generated as electrons pass through an. The meter which measures the resistance. Ohmmeter Is Made By.
From eduinput.com
Analog OhmmeterDefinition, Working, And Advantages Ohmmeter Is Made By This meter is used to determine approximate (not too accurate) resistance of the circuit components. An ohmmeter is a device that measures the amount of electrical friction generated as electrons pass through an. It measures the resistance in ohms. Ohmmeter, instrument for measuring electrical resistance, which is expressed in ohms. In the simplest ohmmeters, the resistance to be. This is. Ohmmeter Is Made By.
From simpsonelectric.com
3723 Ohmmeter Simpson Electric Ohmmeter Is Made By In this topic, you study the definition, working & diagram of ohmmeter. An ohmmeter is a device that measures the amount of electrical friction generated as electrons pass through an. This is a portable instrument, which indicates the value of a resistance (in ohm. Ohmmeter, instrument for measuring electrical resistance, which is expressed in ohms. It can be used to. Ohmmeter Is Made By.
From nerdytechy.com
What is Ohmmeter Basics for Beginners NerdyTechy Ohmmeter Is Made By Ohmmeter, instrument for measuring electrical resistance, which is expressed in ohms. The meter which measures the resistance and the continuity of the electrical circuit and their components such type of meter is known as the ohmmeter. This meter is used to determine approximate (not too accurate) resistance of the circuit components. This is a portable instrument, which indicates the value. Ohmmeter Is Made By.
From studylib.net
The OHM meter An ohmmeter is an electrical instrument that Ohmmeter Is Made By An ohmmeter is a fundamental electrical device used to. Ohmmeter, instrument for measuring electrical resistance, which is expressed in ohms. In this topic, you study the definition, working & diagram of ohmmeter. This meter is used to determine approximate (not too accurate) resistance of the circuit components. It measures the resistance in ohms. The meter which measures the resistance and. Ohmmeter Is Made By.
From samtechlabs.com
Analog Ohmmeter Series Type Ohmmeter Is Made By Ohmmeter, instrument for measuring electrical resistance, which is expressed in ohms. An ohmmeter is a fundamental electrical device used to. It measures the resistance in ohms. The meter which measures the resistance and the continuity of the electrical circuit and their components such type of meter is known as the ohmmeter. It can be used to measure the resistance of. Ohmmeter Is Made By.
From friedricesimple.blogspot.com
How To Test A Transformer With An Ohmmeter How to Make Fried Rice Simple Ohmmeter Is Made By This meter is used to determine approximate (not too accurate) resistance of the circuit components. It measures the resistance in ohms. In this topic, you study the definition, working & diagram of ohmmeter. The meter which measures the resistance and the continuity of the electrical circuit and their components such type of meter is known as the ohmmeter. An ohmmeter. Ohmmeter Is Made By.
From microdigisoft.com
What is Ohmmeter Circuit Diagram, Working Principle and Application. Ohmmeter Is Made By In the simplest ohmmeters, the resistance to be. This is a portable instrument, which indicates the value of a resistance (in ohm. Ohmmeter, instrument for measuring electrical resistance, which is expressed in ohms. It can be used to measure the resistance of heating element of heater,. The meter which measures the resistance and the continuity of the electrical circuit and. Ohmmeter Is Made By.
From electricalgang.com
What is an Ohmmeter? The Definitive Guide Ohmmeter Is Made By An ohmmeter is a device that measures the amount of electrical friction generated as electrons pass through an. This meter is used to determine approximate (not too accurate) resistance of the circuit components. It can be used to measure the resistance of heating element of heater,. In this topic, you study the definition, working & diagram of ohmmeter. An ohmmeter. Ohmmeter Is Made By.
From www.electricalvolt.com
What is Ohmmeter? Circuit Diagram, Types and Applications Ohmmeter Is Made By It measures the resistance in ohms. The meter which measures the resistance and the continuity of the electrical circuit and their components such type of meter is known as the ohmmeter. This meter is used to determine approximate (not too accurate) resistance of the circuit components. An ohmmeter is a fundamental electrical device used to. Ohmmeter, instrument for measuring electrical. Ohmmeter Is Made By.
From www.wikihow.com
How to Use an Ohmmeter 10 Steps (with Pictures) wikiHow Ohmmeter Is Made By An ohmmeter is a fundamental electrical device used to. It measures the resistance in ohms. The meter which measures the resistance and the continuity of the electrical circuit and their components such type of meter is known as the ohmmeter. This is a portable instrument, which indicates the value of a resistance (in ohm. Ohmmeter, instrument for measuring electrical resistance,. Ohmmeter Is Made By.
From www.electricaltechnology.org
How To Perform a Continuity Test for Electric Components with Multimeter? Ohmmeter Is Made By It measures the resistance in ohms. This meter is used to determine approximate (not too accurate) resistance of the circuit components. In the simplest ohmmeters, the resistance to be. In this topic, you study the definition, working & diagram of ohmmeter. It can be used to measure the resistance of heating element of heater,. Ohmmeter, instrument for measuring electrical resistance,. Ohmmeter Is Made By.