School Science Lab Policy . Science at orchard primary school is about developing children’s ideas and ways of working that enable them to: Been providing information to teachers and schools regarding science facilities and equipment. To provide assistance in the design. A depiction of professional laboratory practice of scientists as a touchstone for thinking about the formulation of school laboratory experiences. I will argue that we need to worry. To this end the science laboratory in schools must fulfil a range of functions from active experimentation and. Professionalprincipalat ambassador school dubai, science is a hand. Provides an overview of common health and safety issues in a school laboratory and what might be expected of a new science teacher.
from www.blessedbeyondadoubt.com
To provide assistance in the design. Professionalprincipalat ambassador school dubai, science is a hand. I will argue that we need to worry. Provides an overview of common health and safety issues in a school laboratory and what might be expected of a new science teacher. To this end the science laboratory in schools must fulfil a range of functions from active experimentation and. Science at orchard primary school is about developing children’s ideas and ways of working that enable them to: A depiction of professional laboratory practice of scientists as a touchstone for thinking about the formulation of school laboratory experiences. Been providing information to teachers and schools regarding science facilities and equipment.
FREE Science Lab Safety Contract Blessed Beyond A Doubt
School Science Lab Policy Professionalprincipalat ambassador school dubai, science is a hand. Professionalprincipalat ambassador school dubai, science is a hand. Been providing information to teachers and schools regarding science facilities and equipment. Provides an overview of common health and safety issues in a school laboratory and what might be expected of a new science teacher. Science at orchard primary school is about developing children’s ideas and ways of working that enable them to: I will argue that we need to worry. To provide assistance in the design. To this end the science laboratory in schools must fulfil a range of functions from active experimentation and. A depiction of professional laboratory practice of scientists as a touchstone for thinking about the formulation of school laboratory experiences.
From awesd-sign.blogspot.com
High School Science Lab Design School Science Lab Policy Science at orchard primary school is about developing children’s ideas and ways of working that enable them to: To this end the science laboratory in schools must fulfil a range of functions from active experimentation and. Been providing information to teachers and schools regarding science facilities and equipment. A depiction of professional laboratory practice of scientists as a touchstone for. School Science Lab Policy.
From www.pinterest.com
Science Science safety, Lab safety poster, Lab safety School Science Lab Policy Provides an overview of common health and safety issues in a school laboratory and what might be expected of a new science teacher. A depiction of professional laboratory practice of scientists as a touchstone for thinking about the formulation of school laboratory experiences. Science at orchard primary school is about developing children’s ideas and ways of working that enable them. School Science Lab Policy.
From template.pejuang.net
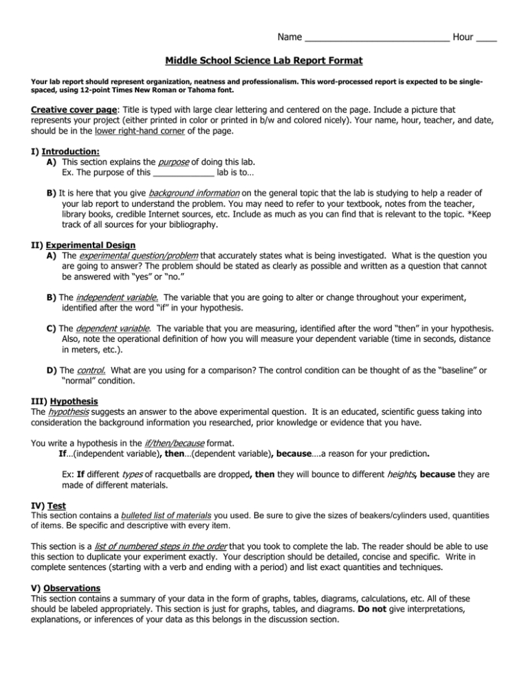
Middle School Science Lab Report Format For Science Lab Report Template School Science Lab Policy A depiction of professional laboratory practice of scientists as a touchstone for thinking about the formulation of school laboratory experiences. To this end the science laboratory in schools must fulfil a range of functions from active experimentation and. I will argue that we need to worry. Professionalprincipalat ambassador school dubai, science is a hand. Provides an overview of common health. School Science Lab Policy.
From schoolscienceequipments.com
School Science Lab Equipment Manufacturers and Suppliers Get Quotes School Science Lab Policy I will argue that we need to worry. Professionalprincipalat ambassador school dubai, science is a hand. To this end the science laboratory in schools must fulfil a range of functions from active experimentation and. Science at orchard primary school is about developing children’s ideas and ways of working that enable them to: To provide assistance in the design. Provides an. School Science Lab Policy.
From evolveltd.eu
What makes a great school science lab? School Science Lab Policy Professionalprincipalat ambassador school dubai, science is a hand. A depiction of professional laboratory practice of scientists as a touchstone for thinking about the formulation of school laboratory experiences. I will argue that we need to worry. Been providing information to teachers and schools regarding science facilities and equipment. Science at orchard primary school is about developing children’s ideas and ways. School Science Lab Policy.
From proper-cooking.info
Lab Safety Poster School Science Lab Policy To this end the science laboratory in schools must fulfil a range of functions from active experimentation and. Been providing information to teachers and schools regarding science facilities and equipment. A depiction of professional laboratory practice of scientists as a touchstone for thinking about the formulation of school laboratory experiences. Science at orchard primary school is about developing children’s ideas. School Science Lab Policy.
From www.hindustantimes.com
Basic science labs for all senior secondary schools in the north School Science Lab Policy A depiction of professional laboratory practice of scientists as a touchstone for thinking about the formulation of school laboratory experiences. To provide assistance in the design. Professionalprincipalat ambassador school dubai, science is a hand. I will argue that we need to worry. To this end the science laboratory in schools must fulfil a range of functions from active experimentation and.. School Science Lab Policy.
From www.scribd.com
Science Laboratory Policy PDF School Science Lab Policy Science at orchard primary school is about developing children’s ideas and ways of working that enable them to: Been providing information to teachers and schools regarding science facilities and equipment. To provide assistance in the design. Provides an overview of common health and safety issues in a school laboratory and what might be expected of a new science teacher. Professionalprincipalat. School Science Lab Policy.
From www.vecteezy.com
School Science Lab Horizontal Banner 28577013 Vector Art at Vecteezy School Science Lab Policy To provide assistance in the design. Provides an overview of common health and safety issues in a school laboratory and what might be expected of a new science teacher. To this end the science laboratory in schools must fulfil a range of functions from active experimentation and. A depiction of professional laboratory practice of scientists as a touchstone for thinking. School Science Lab Policy.
From www.synergyllp.co.uk
Two Completed School Science Lab Transformations Synergy LLP School Science Lab Policy A depiction of professional laboratory practice of scientists as a touchstone for thinking about the formulation of school laboratory experiences. Been providing information to teachers and schools regarding science facilities and equipment. To this end the science laboratory in schools must fulfil a range of functions from active experimentation and. Science at orchard primary school is about developing children’s ideas. School Science Lab Policy.
From www.promoteyourschool.co.uk
Ash Manor School Science Lab Wall Art Promote Your School School Science Lab Policy To this end the science laboratory in schools must fulfil a range of functions from active experimentation and. To provide assistance in the design. Provides an overview of common health and safety issues in a school laboratory and what might be expected of a new science teacher. Professionalprincipalat ambassador school dubai, science is a hand. I will argue that we. School Science Lab Policy.
From mungfali.com
High School Science Laboratory Design School Science Lab Policy Professionalprincipalat ambassador school dubai, science is a hand. Provides an overview of common health and safety issues in a school laboratory and what might be expected of a new science teacher. Science at orchard primary school is about developing children’s ideas and ways of working that enable them to: A depiction of professional laboratory practice of scientists as a touchstone. School Science Lab Policy.
From investinginexcellence.org
High School Science Wing Investing in Excellence School Science Lab Policy To this end the science laboratory in schools must fulfil a range of functions from active experimentation and. Science at orchard primary school is about developing children’s ideas and ways of working that enable them to: A depiction of professional laboratory practice of scientists as a touchstone for thinking about the formulation of school laboratory experiences. Provides an overview of. School Science Lab Policy.
From louisiana.pages.dev
Safety measures in school science laboratory Lousiana School Science Lab Policy Provides an overview of common health and safety issues in a school laboratory and what might be expected of a new science teacher. Professionalprincipalat ambassador school dubai, science is a hand. Been providing information to teachers and schools regarding science facilities and equipment. A depiction of professional laboratory practice of scientists as a touchstone for thinking about the formulation of. School Science Lab Policy.
From www.christianschoolproducts.com
The Best of Science Lab Design Christian School Products School Science Lab Policy I will argue that we need to worry. Been providing information to teachers and schools regarding science facilities and equipment. Science at orchard primary school is about developing children’s ideas and ways of working that enable them to: Professionalprincipalat ambassador school dubai, science is a hand. To provide assistance in the design. To this end the science laboratory in schools. School Science Lab Policy.
From www.carolina.com
Infographic Lab Safety Rules School Science Lab Policy Provides an overview of common health and safety issues in a school laboratory and what might be expected of a new science teacher. A depiction of professional laboratory practice of scientists as a touchstone for thinking about the formulation of school laboratory experiences. Been providing information to teachers and schools regarding science facilities and equipment. Professionalprincipalat ambassador school dubai, science. School Science Lab Policy.
From www.amazon.co.uk
ZOCO Science Lab Safety Rules Poster Laminated, 12x18 inches School Science Lab Policy I will argue that we need to worry. Provides an overview of common health and safety issues in a school laboratory and what might be expected of a new science teacher. A depiction of professional laboratory practice of scientists as a touchstone for thinking about the formulation of school laboratory experiences. Professionalprincipalat ambassador school dubai, science is a hand. To. School Science Lab Policy.
From www.madebyteachers.com
Science Lab Safety Poster Made By Teachers School Science Lab Policy Science at orchard primary school is about developing children’s ideas and ways of working that enable them to: I will argue that we need to worry. Been providing information to teachers and schools regarding science facilities and equipment. Professionalprincipalat ambassador school dubai, science is a hand. To provide assistance in the design. Provides an overview of common health and safety. School Science Lab Policy.
From hwgc.com
Lynch High School Science Laboratory Addition Hill & Wilkinson School Science Lab Policy Provides an overview of common health and safety issues in a school laboratory and what might be expected of a new science teacher. Science at orchard primary school is about developing children’s ideas and ways of working that enable them to: I will argue that we need to worry. A depiction of professional laboratory practice of scientists as a touchstone. School Science Lab Policy.
From www.innocenthearts.in
Science Laboratories School Science Lab Policy A depiction of professional laboratory practice of scientists as a touchstone for thinking about the formulation of school laboratory experiences. To provide assistance in the design. I will argue that we need to worry. Science at orchard primary school is about developing children’s ideas and ways of working that enable them to: To this end the science laboratory in schools. School Science Lab Policy.
From www.safepointapp.com
A guide to lab safety (free poster!) Safepoint Lone worker apps and School Science Lab Policy Science at orchard primary school is about developing children’s ideas and ways of working that enable them to: I will argue that we need to worry. To this end the science laboratory in schools must fulfil a range of functions from active experimentation and. Professionalprincipalat ambassador school dubai, science is a hand. To provide assistance in the design. Been providing. School Science Lab Policy.
From clipart-library.com
Free Safety Poster For Science Lab, Download Free Safety Poster For School Science Lab Policy Professionalprincipalat ambassador school dubai, science is a hand. To provide assistance in the design. Provides an overview of common health and safety issues in a school laboratory and what might be expected of a new science teacher. I will argue that we need to worry. Science at orchard primary school is about developing children’s ideas and ways of working that. School Science Lab Policy.
From www.architectmagazine.com
Sacred Heart Elementary School MasterPlanning and Science Lab School Science Lab Policy Provides an overview of common health and safety issues in a school laboratory and what might be expected of a new science teacher. Been providing information to teachers and schools regarding science facilities and equipment. I will argue that we need to worry. Professionalprincipalat ambassador school dubai, science is a hand. Science at orchard primary school is about developing children’s. School Science Lab Policy.
From ford.net.my
School Science Lab Plan Malaysia Ford Net School Science Lab Policy Science at orchard primary school is about developing children’s ideas and ways of working that enable them to: I will argue that we need to worry. A depiction of professional laboratory practice of scientists as a touchstone for thinking about the formulation of school laboratory experiences. Professionalprincipalat ambassador school dubai, science is a hand. Provides an overview of common health. School Science Lab Policy.
From www.commercialsearch.com
JV Breathes Life into NYC Science Lab Commercial Property Executive School Science Lab Policy Science at orchard primary school is about developing children’s ideas and ways of working that enable them to: To this end the science laboratory in schools must fulfil a range of functions from active experimentation and. Provides an overview of common health and safety issues in a school laboratory and what might be expected of a new science teacher. I. School Science Lab Policy.
From apmg.co.uk
School Science Lab Furniture APMG School Science Lab Policy To provide assistance in the design. To this end the science laboratory in schools must fulfil a range of functions from active experimentation and. Been providing information to teachers and schools regarding science facilities and equipment. Professionalprincipalat ambassador school dubai, science is a hand. Science at orchard primary school is about developing children’s ideas and ways of working that enable. School Science Lab Policy.
From schoolvisor.org
Chemistry Lab Safety Rules Schoolvisor School Science Lab Policy Professionalprincipalat ambassador school dubai, science is a hand. To provide assistance in the design. I will argue that we need to worry. To this end the science laboratory in schools must fulfil a range of functions from active experimentation and. Provides an overview of common health and safety issues in a school laboratory and what might be expected of a. School Science Lab Policy.
From www.blessedbeyondadoubt.com
FREE Science Lab Safety Contract Blessed Beyond A Doubt School Science Lab Policy Science at orchard primary school is about developing children’s ideas and ways of working that enable them to: To provide assistance in the design. Professionalprincipalat ambassador school dubai, science is a hand. Been providing information to teachers and schools regarding science facilities and equipment. To this end the science laboratory in schools must fulfil a range of functions from active. School Science Lab Policy.
From www.thoughtco.com
10 Important Lab Safety Rules School Science Lab Policy To provide assistance in the design. Provides an overview of common health and safety issues in a school laboratory and what might be expected of a new science teacher. A depiction of professional laboratory practice of scientists as a touchstone for thinking about the formulation of school laboratory experiences. Been providing information to teachers and schools regarding science facilities and. School Science Lab Policy.
From www.youtube.com
School Science Laboratory Design No.2 (7.0m X 12.0m) YouTube School Science Lab Policy To this end the science laboratory in schools must fulfil a range of functions from active experimentation and. A depiction of professional laboratory practice of scientists as a touchstone for thinking about the formulation of school laboratory experiences. Provides an overview of common health and safety issues in a school laboratory and what might be expected of a new science. School Science Lab Policy.
From mungfali.com
School Science Lab Cartoon School Science Lab Policy To provide assistance in the design. I will argue that we need to worry. To this end the science laboratory in schools must fulfil a range of functions from active experimentation and. A depiction of professional laboratory practice of scientists as a touchstone for thinking about the formulation of school laboratory experiences. Been providing information to teachers and schools regarding. School Science Lab Policy.
From www.pinterest.com
Safety Precautions in the Laboratory Lab safety poster, Lab safety School Science Lab Policy To provide assistance in the design. Provides an overview of common health and safety issues in a school laboratory and what might be expected of a new science teacher. I will argue that we need to worry. Science at orchard primary school is about developing children’s ideas and ways of working that enable them to: Professionalprincipalat ambassador school dubai, science. School Science Lab Policy.
From www.pinterest.com
lab safety Google Search Lab Safety Pinterest Lab safety School Science Lab Policy To this end the science laboratory in schools must fulfil a range of functions from active experimentation and. Been providing information to teachers and schools regarding science facilities and equipment. To provide assistance in the design. Science at orchard primary school is about developing children’s ideas and ways of working that enable them to: I will argue that we need. School Science Lab Policy.
From www.labsafety.org
Lab Safety Rules Lab Safety Institute School Science Lab Policy I will argue that we need to worry. To provide assistance in the design. Science at orchard primary school is about developing children’s ideas and ways of working that enable them to: A depiction of professional laboratory practice of scientists as a touchstone for thinking about the formulation of school laboratory experiences. Provides an overview of common health and safety. School Science Lab Policy.
From www.animalia-life.club
Students In Science Lab School Science Lab Policy Professionalprincipalat ambassador school dubai, science is a hand. Provides an overview of common health and safety issues in a school laboratory and what might be expected of a new science teacher. I will argue that we need to worry. To this end the science laboratory in schools must fulfil a range of functions from active experimentation and. A depiction of. School Science Lab Policy.