Magnesium In Water Solubility . Magnesium hydroxide appears to be insoluble in water. Water temperature can have a significant effect on the solubility of compounds. The hydroxides of alkaline earth metals, like magnesium (mg 2+), calcium (ca 2+), strontium (sr 2+), and barium (ba 2+), are mildly soluble. Refer to the chart below to find reference values per gram of. In this section we will apply chemical equilibria to the concept of solubility and introduce a type of equilibrium constant, the solubility constant, to. The hydroxides of transition metals and. However, if it is shaken in water and filtered, the solution is slightly basic. Enter a chemical formula of a substance to find its solubility using our solubility calculator.
from www.researchgate.net
Water temperature can have a significant effect on the solubility of compounds. Refer to the chart below to find reference values per gram of. Magnesium hydroxide appears to be insoluble in water. However, if it is shaken in water and filtered, the solution is slightly basic. Enter a chemical formula of a substance to find its solubility using our solubility calculator. In this section we will apply chemical equilibria to the concept of solubility and introduce a type of equilibrium constant, the solubility constant, to. The hydroxides of transition metals and. The hydroxides of alkaline earth metals, like magnesium (mg 2+), calcium (ca 2+), strontium (sr 2+), and barium (ba 2+), are mildly soluble.
2) gives the solubility of magnesium in water at 25°C as a function of
Magnesium In Water Solubility Enter a chemical formula of a substance to find its solubility using our solubility calculator. Refer to the chart below to find reference values per gram of. However, if it is shaken in water and filtered, the solution is slightly basic. The hydroxides of transition metals and. Magnesium hydroxide appears to be insoluble in water. The hydroxides of alkaline earth metals, like magnesium (mg 2+), calcium (ca 2+), strontium (sr 2+), and barium (ba 2+), are mildly soluble. Water temperature can have a significant effect on the solubility of compounds. In this section we will apply chemical equilibria to the concept of solubility and introduce a type of equilibrium constant, the solubility constant, to. Enter a chemical formula of a substance to find its solubility using our solubility calculator.
From www.researchgate.net
Magnesium sulfate solubility at various temperatures. Download Magnesium In Water Solubility In this section we will apply chemical equilibria to the concept of solubility and introduce a type of equilibrium constant, the solubility constant, to. The hydroxides of transition metals and. Refer to the chart below to find reference values per gram of. However, if it is shaken in water and filtered, the solution is slightly basic. Water temperature can have. Magnesium In Water Solubility.
From www.youtube.com
The molar solubility of magnesium carbonate is 1.87x10^4 mol/L Magnesium In Water Solubility Magnesium hydroxide appears to be insoluble in water. In this section we will apply chemical equilibria to the concept of solubility and introduce a type of equilibrium constant, the solubility constant, to. The hydroxides of transition metals and. Enter a chemical formula of a substance to find its solubility using our solubility calculator. However, if it is shaken in water. Magnesium In Water Solubility.
From www.slideserve.com
PPT Salts and Solubility PowerPoint Presentation, free download ID Magnesium In Water Solubility Magnesium hydroxide appears to be insoluble in water. The hydroxides of alkaline earth metals, like magnesium (mg 2+), calcium (ca 2+), strontium (sr 2+), and barium (ba 2+), are mildly soluble. However, if it is shaken in water and filtered, the solution is slightly basic. Enter a chemical formula of a substance to find its solubility using our solubility calculator.. Magnesium In Water Solubility.
From mungfali.com
Solubility Rules Flowchart Chart Chemistry Magnesium In Water Solubility The hydroxides of alkaline earth metals, like magnesium (mg 2+), calcium (ca 2+), strontium (sr 2+), and barium (ba 2+), are mildly soluble. In this section we will apply chemical equilibria to the concept of solubility and introduce a type of equilibrium constant, the solubility constant, to. The hydroxides of transition metals and. Water temperature can have a significant effect. Magnesium In Water Solubility.
From www.numerade.com
SOLVED Estimate the molar solubility of magnesium phosphate Mg3(PO4)2 Magnesium In Water Solubility Magnesium hydroxide appears to be insoluble in water. However, if it is shaken in water and filtered, the solution is slightly basic. The hydroxides of transition metals and. Water temperature can have a significant effect on the solubility of compounds. The hydroxides of alkaline earth metals, like magnesium (mg 2+), calcium (ca 2+), strontium (sr 2+), and barium (ba 2+),. Magnesium In Water Solubility.
From www.chegg.com
Solved Compare the solubility of magnesium carbonate in each Magnesium In Water Solubility Refer to the chart below to find reference values per gram of. The hydroxides of transition metals and. Enter a chemical formula of a substance to find its solubility using our solubility calculator. Magnesium hydroxide appears to be insoluble in water. Water temperature can have a significant effect on the solubility of compounds. The hydroxides of alkaline earth metals, like. Magnesium In Water Solubility.
From www.youtube.com
Reaction between Magnesium and Water (Mg + H2O) YouTube Magnesium In Water Solubility Refer to the chart below to find reference values per gram of. Magnesium hydroxide appears to be insoluble in water. Enter a chemical formula of a substance to find its solubility using our solubility calculator. The hydroxides of transition metals and. In this section we will apply chemical equilibria to the concept of solubility and introduce a type of equilibrium. Magnesium In Water Solubility.
From www.researchgate.net
Magnesium sulfate solubility at various temperatures. Download Magnesium In Water Solubility The hydroxides of transition metals and. Refer to the chart below to find reference values per gram of. Water temperature can have a significant effect on the solubility of compounds. Enter a chemical formula of a substance to find its solubility using our solubility calculator. However, if it is shaken in water and filtered, the solution is slightly basic. In. Magnesium In Water Solubility.
From www.researchgate.net
Comparison of reported solubility data [32,36] for magnesium sulfate as Magnesium In Water Solubility However, if it is shaken in water and filtered, the solution is slightly basic. The hydroxides of transition metals and. Magnesium hydroxide appears to be insoluble in water. In this section we will apply chemical equilibria to the concept of solubility and introduce a type of equilibrium constant, the solubility constant, to. Water temperature can have a significant effect on. Magnesium In Water Solubility.
From www.bartleby.com
Answered The solubility of magnesium hydroxide,… bartleby Magnesium In Water Solubility Enter a chemical formula of a substance to find its solubility using our solubility calculator. In this section we will apply chemical equilibria to the concept of solubility and introduce a type of equilibrium constant, the solubility constant, to. Water temperature can have a significant effect on the solubility of compounds. The hydroxides of transition metals and. Refer to the. Magnesium In Water Solubility.
From www.numerade.com
SOLVED Calculate the solubility in g/L of magnesium phosphate (Ksp = 1 Magnesium In Water Solubility Enter a chemical formula of a substance to find its solubility using our solubility calculator. Water temperature can have a significant effect on the solubility of compounds. The hydroxides of transition metals and. In this section we will apply chemical equilibria to the concept of solubility and introduce a type of equilibrium constant, the solubility constant, to. Refer to the. Magnesium In Water Solubility.
From www.slideserve.com
PPT CHEMISTRY 59320 ANALYTICAL CHEMISTRY Fall 2010 PowerPoint Magnesium In Water Solubility The hydroxides of alkaline earth metals, like magnesium (mg 2+), calcium (ca 2+), strontium (sr 2+), and barium (ba 2+), are mildly soluble. However, if it is shaken in water and filtered, the solution is slightly basic. The hydroxides of transition metals and. Magnesium hydroxide appears to be insoluble in water. Enter a chemical formula of a substance to find. Magnesium In Water Solubility.
From pixels.com
Reactivity Of Magnesium In Water Photograph by Andrew Lambert Magnesium In Water Solubility Enter a chemical formula of a substance to find its solubility using our solubility calculator. In this section we will apply chemical equilibria to the concept of solubility and introduce a type of equilibrium constant, the solubility constant, to. The hydroxides of transition metals and. However, if it is shaken in water and filtered, the solution is slightly basic. Magnesium. Magnesium In Water Solubility.
From www.numerade.com
SOLVED The solubility in water of magnesium fluoride; MgF2 is 7.3 mg Magnesium In Water Solubility Enter a chemical formula of a substance to find its solubility using our solubility calculator. Water temperature can have a significant effect on the solubility of compounds. The hydroxides of transition metals and. The hydroxides of alkaline earth metals, like magnesium (mg 2+), calcium (ca 2+), strontium (sr 2+), and barium (ba 2+), are mildly soluble. However, if it is. Magnesium In Water Solubility.
From www.researchgate.net
The solubility of magnesium chloride hexahydrate under the different Magnesium In Water Solubility The hydroxides of transition metals and. Enter a chemical formula of a substance to find its solubility using our solubility calculator. Refer to the chart below to find reference values per gram of. Magnesium hydroxide appears to be insoluble in water. However, if it is shaken in water and filtered, the solution is slightly basic. In this section we will. Magnesium In Water Solubility.
From www.chegg.com
C) The solubility of magnesium nitrate in water is Magnesium In Water Solubility The hydroxides of alkaline earth metals, like magnesium (mg 2+), calcium (ca 2+), strontium (sr 2+), and barium (ba 2+), are mildly soluble. Magnesium hydroxide appears to be insoluble in water. Refer to the chart below to find reference values per gram of. In this section we will apply chemical equilibria to the concept of solubility and introduce a type. Magnesium In Water Solubility.
From www.researchgate.net
Magnesium sulfate solubility at various temperatures. Download Magnesium In Water Solubility The hydroxides of transition metals and. Water temperature can have a significant effect on the solubility of compounds. In this section we will apply chemical equilibria to the concept of solubility and introduce a type of equilibrium constant, the solubility constant, to. Enter a chemical formula of a substance to find its solubility using our solubility calculator. However, if it. Magnesium In Water Solubility.
From www.researchgate.net
2) gives the solubility of magnesium in water at 25°C as a function of Magnesium In Water Solubility The hydroxides of alkaline earth metals, like magnesium (mg 2+), calcium (ca 2+), strontium (sr 2+), and barium (ba 2+), are mildly soluble. The hydroxides of transition metals and. However, if it is shaken in water and filtered, the solution is slightly basic. Magnesium hydroxide appears to be insoluble in water. Water temperature can have a significant effect on the. Magnesium In Water Solubility.
From www.researchgate.net
2) gives the solubility of magnesium in water at 25°C as a function of Magnesium In Water Solubility The hydroxides of alkaline earth metals, like magnesium (mg 2+), calcium (ca 2+), strontium (sr 2+), and barium (ba 2+), are mildly soluble. In this section we will apply chemical equilibria to the concept of solubility and introduce a type of equilibrium constant, the solubility constant, to. Magnesium hydroxide appears to be insoluble in water. Water temperature can have a. Magnesium In Water Solubility.
From www.researchgate.net
SOLUBILITY OF Mg(HU) 2 ·8H 2 O PHASE II IN WATER, MAGNESIUM CHLORIDE Magnesium In Water Solubility Magnesium hydroxide appears to be insoluble in water. The hydroxides of alkaline earth metals, like magnesium (mg 2+), calcium (ca 2+), strontium (sr 2+), and barium (ba 2+), are mildly soluble. However, if it is shaken in water and filtered, the solution is slightly basic. In this section we will apply chemical equilibria to the concept of solubility and introduce. Magnesium In Water Solubility.
From www.researchgate.net
Magnesium sulfate solubility at various temperatures. Download Magnesium In Water Solubility Water temperature can have a significant effect on the solubility of compounds. In this section we will apply chemical equilibria to the concept of solubility and introduce a type of equilibrium constant, the solubility constant, to. The hydroxides of alkaline earth metals, like magnesium (mg 2+), calcium (ca 2+), strontium (sr 2+), and barium (ba 2+), are mildly soluble. Enter. Magnesium In Water Solubility.
From www.numerade.com
SOLVED 'The solubility of magnesium fluoride MgF2, in water is 1.5 X Magnesium In Water Solubility The hydroxides of transition metals and. However, if it is shaken in water and filtered, the solution is slightly basic. Magnesium hydroxide appears to be insoluble in water. Water temperature can have a significant effect on the solubility of compounds. Refer to the chart below to find reference values per gram of. Enter a chemical formula of a substance to. Magnesium In Water Solubility.
From media.ed.science.psu.edu
Solubility of ionic solids as a function of temperature Magnesium In Water Solubility Enter a chemical formula of a substance to find its solubility using our solubility calculator. Refer to the chart below to find reference values per gram of. Magnesium hydroxide appears to be insoluble in water. In this section we will apply chemical equilibria to the concept of solubility and introduce a type of equilibrium constant, the solubility constant, to. However,. Magnesium In Water Solubility.
From www.numerade.com
SOLVEDThe solubility of magnesium fluoride. MgF2. in water is 1.5 x 10 Magnesium In Water Solubility The hydroxides of transition metals and. Refer to the chart below to find reference values per gram of. Enter a chemical formula of a substance to find its solubility using our solubility calculator. Magnesium hydroxide appears to be insoluble in water. However, if it is shaken in water and filtered, the solution is slightly basic. In this section we will. Magnesium In Water Solubility.
From www.youtube.com
Reaction of Magnesium and Water (Mg + H2O) YouTube Magnesium In Water Solubility The hydroxides of alkaline earth metals, like magnesium (mg 2+), calcium (ca 2+), strontium (sr 2+), and barium (ba 2+), are mildly soluble. In this section we will apply chemical equilibria to the concept of solubility and introduce a type of equilibrium constant, the solubility constant, to. Magnesium hydroxide appears to be insoluble in water. Water temperature can have a. Magnesium In Water Solubility.
From www.researchgate.net
Solubility curve of αand γglycine in magnesium sulfate solution Magnesium In Water Solubility Enter a chemical formula of a substance to find its solubility using our solubility calculator. Magnesium hydroxide appears to be insoluble in water. In this section we will apply chemical equilibria to the concept of solubility and introduce a type of equilibrium constant, the solubility constant, to. The hydroxides of alkaline earth metals, like magnesium (mg 2+), calcium (ca 2+),. Magnesium In Water Solubility.
From www.chegg.com
Solved Calculate the molar solubility of magnesium hydroxide Magnesium In Water Solubility The hydroxides of transition metals and. In this section we will apply chemical equilibria to the concept of solubility and introduce a type of equilibrium constant, the solubility constant, to. The hydroxides of alkaline earth metals, like magnesium (mg 2+), calcium (ca 2+), strontium (sr 2+), and barium (ba 2+), are mildly soluble. Enter a chemical formula of a substance. Magnesium In Water Solubility.
From www.numerade.com
SOLVED 24, Finish the chemical equation showing the solubility Magnesium In Water Solubility Magnesium hydroxide appears to be insoluble in water. The hydroxides of transition metals and. However, if it is shaken in water and filtered, the solution is slightly basic. Water temperature can have a significant effect on the solubility of compounds. The hydroxides of alkaline earth metals, like magnesium (mg 2+), calcium (ca 2+), strontium (sr 2+), and barium (ba 2+),. Magnesium In Water Solubility.
From www.chegg.com
Solved Determine the solubility of magnesium hydroxide? See Magnesium In Water Solubility Water temperature can have a significant effect on the solubility of compounds. The hydroxides of transition metals and. However, if it is shaken in water and filtered, the solution is slightly basic. In this section we will apply chemical equilibria to the concept of solubility and introduce a type of equilibrium constant, the solubility constant, to. Refer to the chart. Magnesium In Water Solubility.
From calebcroomphysci4dummies.weebly.com
Solubility Physical Science For Dummies Magnesium In Water Solubility Water temperature can have a significant effect on the solubility of compounds. Enter a chemical formula of a substance to find its solubility using our solubility calculator. The hydroxides of transition metals and. In this section we will apply chemical equilibria to the concept of solubility and introduce a type of equilibrium constant, the solubility constant, to. The hydroxides of. Magnesium In Water Solubility.
From www.numerade.com
SOLVEDCalculate the solubility (in grams per liter) of magnesium Magnesium In Water Solubility Magnesium hydroxide appears to be insoluble in water. Enter a chemical formula of a substance to find its solubility using our solubility calculator. However, if it is shaken in water and filtered, the solution is slightly basic. The hydroxides of alkaline earth metals, like magnesium (mg 2+), calcium (ca 2+), strontium (sr 2+), and barium (ba 2+), are mildly soluble.. Magnesium In Water Solubility.
From www.youtube.com
Equation for Magnesium Hydroxide Dissolving in Water Mg(OH)2 + H2O Magnesium In Water Solubility Magnesium hydroxide appears to be insoluble in water. Water temperature can have a significant effect on the solubility of compounds. However, if it is shaken in water and filtered, the solution is slightly basic. Refer to the chart below to find reference values per gram of. The hydroxides of transition metals and. In this section we will apply chemical equilibria. Magnesium In Water Solubility.
From www.youtube.com
Solubility of magnesium sulfate in magnesium chloride YouTube Magnesium In Water Solubility Magnesium hydroxide appears to be insoluble in water. Water temperature can have a significant effect on the solubility of compounds. Enter a chemical formula of a substance to find its solubility using our solubility calculator. The hydroxides of transition metals and. However, if it is shaken in water and filtered, the solution is slightly basic. Refer to the chart below. Magnesium In Water Solubility.
From www.numerade.com
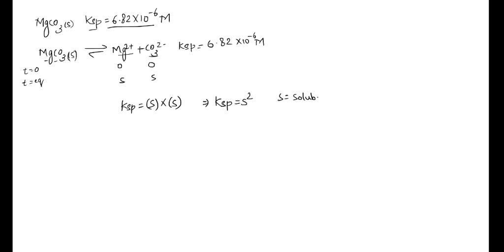
SOLVED Magnesium carbonate, MgCO3, is a salt of low solubility. When Magnesium In Water Solubility In this section we will apply chemical equilibria to the concept of solubility and introduce a type of equilibrium constant, the solubility constant, to. However, if it is shaken in water and filtered, the solution is slightly basic. The hydroxides of alkaline earth metals, like magnesium (mg 2+), calcium (ca 2+), strontium (sr 2+), and barium (ba 2+), are mildly. Magnesium In Water Solubility.
From byjus.com
Solubility product of magnesium Hydroxide is 4 10 12 . The number of Magnesium In Water Solubility Refer to the chart below to find reference values per gram of. Enter a chemical formula of a substance to find its solubility using our solubility calculator. The hydroxides of transition metals and. Magnesium hydroxide appears to be insoluble in water. In this section we will apply chemical equilibria to the concept of solubility and introduce a type of equilibrium. Magnesium In Water Solubility.