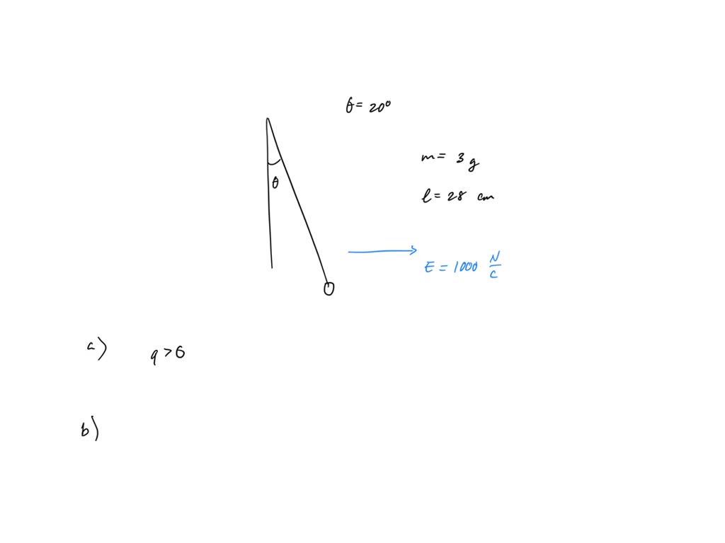
A Small Plastic Ball Of Mass M Coated With Zinc . A small plastic ball of mass m = 1.00 g is suspended by a string of length l = 21.0 cm in a uniform electric field, as shown in the figure. A small plastic ball of mass $m=2.00 \mathrm{g}$ is suspended by a string of length $l=20.0 \mathrm{cm}$ in a uniform. A small plastic ball of mass m = 2.00 g is suspended by a string of length l = 20.0 cm in a. We can do this by analyzing the forces acting on the ball in the vertical. A small plastic ball of mass m = 1.50 g is suspended by a string of length l = 19.0 cm in a uniform electric field, as shown in the figure. A small plastic ball of mass m covered with a thin zinc coating, is suspended by means of an insulating thread from a fixed point. First, we need to find the tension in the string.
from www.chegg.com
A small plastic ball of mass m covered with a thin zinc coating, is suspended by means of an insulating thread from a fixed point. A small plastic ball of mass m = 1.50 g is suspended by a string of length l = 19.0 cm in a uniform electric field, as shown in the figure. A small plastic ball of mass $m=2.00 \mathrm{g}$ is suspended by a string of length $l=20.0 \mathrm{cm}$ in a uniform. A small plastic ball of mass m = 2.00 g is suspended by a string of length l = 20.0 cm in a. A small plastic ball of mass m = 1.00 g is suspended by a string of length l = 21.0 cm in a uniform electric field, as shown in the figure. We can do this by analyzing the forces acting on the ball in the vertical. First, we need to find the tension in the string.
Solved A small plastic ball of mass m=1.50g is suspended by
A Small Plastic Ball Of Mass M Coated With Zinc A small plastic ball of mass m = 1.50 g is suspended by a string of length l = 19.0 cm in a uniform electric field, as shown in the figure. First, we need to find the tension in the string. A small plastic ball of mass m = 2.00 g is suspended by a string of length l = 20.0 cm in a. A small plastic ball of mass m = 1.50 g is suspended by a string of length l = 19.0 cm in a uniform electric field, as shown in the figure. A small plastic ball of mass m = 1.00 g is suspended by a string of length l = 21.0 cm in a uniform electric field, as shown in the figure. A small plastic ball of mass $m=2.00 \mathrm{g}$ is suspended by a string of length $l=20.0 \mathrm{cm}$ in a uniform. We can do this by analyzing the forces acting on the ball in the vertical. A small plastic ball of mass m covered with a thin zinc coating, is suspended by means of an insulating thread from a fixed point.
From www.chegg.com
Solved 3. A small plastic ball of mass m = 3.00 grams is A Small Plastic Ball Of Mass M Coated With Zinc A small plastic ball of mass m = 2.00 g is suspended by a string of length l = 20.0 cm in a. A small plastic ball of mass $m=2.00 \mathrm{g}$ is suspended by a string of length $l=20.0 \mathrm{cm}$ in a uniform. A small plastic ball of mass m covered with a thin zinc coating, is suspended by means. A Small Plastic Ball Of Mass M Coated With Zinc.
From www.chegg.com
Solved Question 11 [20 pts]A small plastic ball of mass m A Small Plastic Ball Of Mass M Coated With Zinc A small plastic ball of mass $m=2.00 \mathrm{g}$ is suspended by a string of length $l=20.0 \mathrm{cm}$ in a uniform. First, we need to find the tension in the string. We can do this by analyzing the forces acting on the ball in the vertical. A small plastic ball of mass m covered with a thin zinc coating, is suspended. A Small Plastic Ball Of Mass M Coated With Zinc.
From www.chegg.com
Solved A small plastic ball of mass m = 2.00 g is suspended A Small Plastic Ball Of Mass M Coated With Zinc A small plastic ball of mass $m=2.00 \mathrm{g}$ is suspended by a string of length $l=20.0 \mathrm{cm}$ in a uniform. First, we need to find the tension in the string. A small plastic ball of mass m = 1.50 g is suspended by a string of length l = 19.0 cm in a uniform electric field, as shown in the. A Small Plastic Ball Of Mass M Coated With Zinc.
From www.chegg.com
Solved A small plastic ball of mass m=1.50g is suspended by A Small Plastic Ball Of Mass M Coated With Zinc A small plastic ball of mass m covered with a thin zinc coating, is suspended by means of an insulating thread from a fixed point. A small plastic ball of mass m = 1.50 g is suspended by a string of length l = 19.0 cm in a uniform electric field, as shown in the figure. A small plastic ball. A Small Plastic Ball Of Mass M Coated With Zinc.
From www.chegg.com
Solved 1. A small plastic ball of mass m=45.0 g is suspended A Small Plastic Ball Of Mass M Coated With Zinc A small plastic ball of mass m = 1.50 g is suspended by a string of length l = 19.0 cm in a uniform electric field, as shown in the figure. A small plastic ball of mass $m=2.00 \mathrm{g}$ is suspended by a string of length $l=20.0 \mathrm{cm}$ in a uniform. A small plastic ball of mass m = 1.00. A Small Plastic Ball Of Mass M Coated With Zinc.
From www.chegg.com
Solved A small plastic ball of mass 1.80×102kg and charge A Small Plastic Ball Of Mass M Coated With Zinc A small plastic ball of mass $m=2.00 \mathrm{g}$ is suspended by a string of length $l=20.0 \mathrm{cm}$ in a uniform. A small plastic ball of mass m = 1.50 g is suspended by a string of length l = 19.0 cm in a uniform electric field, as shown in the figure. First, we need to find the tension in the. A Small Plastic Ball Of Mass M Coated With Zinc.
From www.chegg.com
Solved A small plastic ball of mass m=1.00×10−3 kg and A Small Plastic Ball Of Mass M Coated With Zinc First, we need to find the tension in the string. A small plastic ball of mass m = 1.00 g is suspended by a string of length l = 21.0 cm in a uniform electric field, as shown in the figure. A small plastic ball of mass $m=2.00 \mathrm{g}$ is suspended by a string of length $l=20.0 \mathrm{cm}$ in a. A Small Plastic Ball Of Mass M Coated With Zinc.
From www.chegg.com
Solved Question 413A small plastic ball of mass m=7.00g is A Small Plastic Ball Of Mass M Coated With Zinc A small plastic ball of mass m = 1.00 g is suspended by a string of length l = 21.0 cm in a uniform electric field, as shown in the figure. A small plastic ball of mass m covered with a thin zinc coating, is suspended by means of an insulating thread from a fixed point. A small plastic ball. A Small Plastic Ball Of Mass M Coated With Zinc.
From www.coursehero.com
[Solved] . Problem 3 A small plastic ball of mass m = 1.50 g is A Small Plastic Ball Of Mass M Coated With Zinc A small plastic ball of mass m covered with a thin zinc coating, is suspended by means of an insulating thread from a fixed point. We can do this by analyzing the forces acting on the ball in the vertical. A small plastic ball of mass $m=2.00 \mathrm{g}$ is suspended by a string of length $l=20.0 \mathrm{cm}$ in a uniform.. A Small Plastic Ball Of Mass M Coated With Zinc.
From www.chegg.com
Solved A small plastic ball of mass m = 2.50 g is suspended A Small Plastic Ball Of Mass M Coated With Zinc We can do this by analyzing the forces acting on the ball in the vertical. A small plastic ball of mass m = 1.50 g is suspended by a string of length l = 19.0 cm in a uniform electric field, as shown in the figure. A small plastic ball of mass m = 2.00 g is suspended by a. A Small Plastic Ball Of Mass M Coated With Zinc.
From www.chegg.com
Solved A small plastic ball of mass m=3.00g is suspended by A Small Plastic Ball Of Mass M Coated With Zinc A small plastic ball of mass $m=2.00 \mathrm{g}$ is suspended by a string of length $l=20.0 \mathrm{cm}$ in a uniform. A small plastic ball of mass m covered with a thin zinc coating, is suspended by means of an insulating thread from a fixed point. We can do this by analyzing the forces acting on the ball in the vertical.. A Small Plastic Ball Of Mass M Coated With Zinc.
From www.chegg.com
Solved A small plastic ball of mass 5.98 × 103 kg A Small Plastic Ball Of Mass M Coated With Zinc A small plastic ball of mass m = 1.50 g is suspended by a string of length l = 19.0 cm in a uniform electric field, as shown in the figure. We can do this by analyzing the forces acting on the ball in the vertical. A small plastic ball of mass $m=2.00 \mathrm{g}$ is suspended by a string of. A Small Plastic Ball Of Mass M Coated With Zinc.
From www.chegg.com
Solved 1. A small plastic ball of mass m=45.0 g is suspended A Small Plastic Ball Of Mass M Coated With Zinc We can do this by analyzing the forces acting on the ball in the vertical. A small plastic ball of mass m covered with a thin zinc coating, is suspended by means of an insulating thread from a fixed point. A small plastic ball of mass m = 1.50 g is suspended by a string of length l = 19.0. A Small Plastic Ball Of Mass M Coated With Zinc.
From www.chegg.com
Solved 3. A small plastic ball of mass 8.03 x 10 kg and A Small Plastic Ball Of Mass M Coated With Zinc A small plastic ball of mass m = 1.00 g is suspended by a string of length l = 21.0 cm in a uniform electric field, as shown in the figure. A small plastic ball of mass m covered with a thin zinc coating, is suspended by means of an insulating thread from a fixed point. A small plastic ball. A Small Plastic Ball Of Mass M Coated With Zinc.
From www.coursehero.com
[Solved] A small plastic ball of mass 6.50 x 10^3 kg and charge +0.150 A Small Plastic Ball Of Mass M Coated With Zinc We can do this by analyzing the forces acting on the ball in the vertical. A small plastic ball of mass m = 1.50 g is suspended by a string of length l = 19.0 cm in a uniform electric field, as shown in the figure. A small plastic ball of mass $m=2.00 \mathrm{g}$ is suspended by a string of. A Small Plastic Ball Of Mass M Coated With Zinc.
From www.coursehero.com
[Solved] . Problem 3 A small plastic ball of mass m = 1.50 g is A Small Plastic Ball Of Mass M Coated With Zinc A small plastic ball of mass m = 2.00 g is suspended by a string of length l = 20.0 cm in a. A small plastic ball of mass m = 1.50 g is suspended by a string of length l = 19.0 cm in a uniform electric field, as shown in the figure. A small plastic ball of mass. A Small Plastic Ball Of Mass M Coated With Zinc.
From www.chegg.com
Solved 2. A small plastic ball with mass m is tied to a very A Small Plastic Ball Of Mass M Coated With Zinc A small plastic ball of mass m = 2.00 g is suspended by a string of length l = 20.0 cm in a. A small plastic ball of mass m = 1.50 g is suspended by a string of length l = 19.0 cm in a uniform electric field, as shown in the figure. A small plastic ball of mass. A Small Plastic Ball Of Mass M Coated With Zinc.
From www.bartleby.com
Answered A small plastic ball of mass m = 2.50 g… bartleby A Small Plastic Ball Of Mass M Coated With Zinc A small plastic ball of mass m = 2.00 g is suspended by a string of length l = 20.0 cm in a. A small plastic ball of mass m covered with a thin zinc coating, is suspended by means of an insulating thread from a fixed point. First, we need to find the tension in the string. A small. A Small Plastic Ball Of Mass M Coated With Zinc.
From www.chegg.com
Solved = A small plastic ball of mass m = 1.50 g is A Small Plastic Ball Of Mass M Coated With Zinc First, we need to find the tension in the string. A small plastic ball of mass m covered with a thin zinc coating, is suspended by means of an insulating thread from a fixed point. A small plastic ball of mass m = 2.00 g is suspended by a string of length l = 20.0 cm in a. A small. A Small Plastic Ball Of Mass M Coated With Zinc.
From www.chegg.com
Solved A small plastic ball of mass 7.55×10−3 kg and charge A Small Plastic Ball Of Mass M Coated With Zinc A small plastic ball of mass $m=2.00 \mathrm{g}$ is suspended by a string of length $l=20.0 \mathrm{cm}$ in a uniform. A small plastic ball of mass m = 1.00 g is suspended by a string of length l = 21.0 cm in a uniform electric field, as shown in the figure. A small plastic ball of mass m = 2.00. A Small Plastic Ball Of Mass M Coated With Zinc.
From www.numerade.com
SOLVED A small plastic ball of mass m = 1.50 g is suspended by a A Small Plastic Ball Of Mass M Coated With Zinc A small plastic ball of mass m = 1.50 g is suspended by a string of length l = 19.0 cm in a uniform electric field, as shown in the figure. First, we need to find the tension in the string. A small plastic ball of mass m covered with a thin zinc coating, is suspended by means of an. A Small Plastic Ball Of Mass M Coated With Zinc.
From www.chegg.com
Solved A small plastic ball of mass 4.93×10−3 kg and charge A Small Plastic Ball Of Mass M Coated With Zinc A small plastic ball of mass m = 1.00 g is suspended by a string of length l = 21.0 cm in a uniform electric field, as shown in the figure. We can do this by analyzing the forces acting on the ball in the vertical. A small plastic ball of mass m covered with a thin zinc coating, is. A Small Plastic Ball Of Mass M Coated With Zinc.
From www.numerade.com
SOLVED A small plastic ball of mass m = 2 kg is suspended by a string A Small Plastic Ball Of Mass M Coated With Zinc A small plastic ball of mass m = 1.00 g is suspended by a string of length l = 21.0 cm in a uniform electric field, as shown in the figure. First, we need to find the tension in the string. A small plastic ball of mass m = 1.50 g is suspended by a string of length l =. A Small Plastic Ball Of Mass M Coated With Zinc.
From www.chegg.com
Solved A small plastic ball of mass 7.33×10−3 kg and charge A Small Plastic Ball Of Mass M Coated With Zinc A small plastic ball of mass $m=2.00 \mathrm{g}$ is suspended by a string of length $l=20.0 \mathrm{cm}$ in a uniform. First, we need to find the tension in the string. A small plastic ball of mass m = 2.00 g is suspended by a string of length l = 20.0 cm in a. A small plastic ball of mass m. A Small Plastic Ball Of Mass M Coated With Zinc.
From exowyprif.blob.core.windows.net
A Small Steel Ball Of Mass M Is Attached at Harvey Pugh blog A Small Plastic Ball Of Mass M Coated With Zinc A small plastic ball of mass m covered with a thin zinc coating, is suspended by means of an insulating thread from a fixed point. A small plastic ball of mass m = 2.00 g is suspended by a string of length l = 20.0 cm in a. We can do this by analyzing the forces acting on the ball. A Small Plastic Ball Of Mass M Coated With Zinc.
From www.numerade.com
SOLVED Wall has negative charge distribution producing uniform A Small Plastic Ball Of Mass M Coated With Zinc A small plastic ball of mass m = 2.00 g is suspended by a string of length l = 20.0 cm in a. A small plastic ball of mass $m=2.00 \mathrm{g}$ is suspended by a string of length $l=20.0 \mathrm{cm}$ in a uniform. A small plastic ball of mass m covered with a thin zinc coating, is suspended by means. A Small Plastic Ball Of Mass M Coated With Zinc.
From www.numerade.com
A small plastic ball of mass m = 3.00 grams is suspended by string of A Small Plastic Ball Of Mass M Coated With Zinc A small plastic ball of mass m = 2.00 g is suspended by a string of length l = 20.0 cm in a. A small plastic ball of mass m covered with a thin zinc coating, is suspended by means of an insulating thread from a fixed point. We can do this by analyzing the forces acting on the ball. A Small Plastic Ball Of Mass M Coated With Zinc.
From www.chegg.com
Solved A small plastic ball of mass m = 2.50 g is suspended A Small Plastic Ball Of Mass M Coated With Zinc A small plastic ball of mass m covered with a thin zinc coating, is suspended by means of an insulating thread from a fixed point. A small plastic ball of mass m = 1.00 g is suspended by a string of length l = 21.0 cm in a uniform electric field, as shown in the figure. A small plastic ball. A Small Plastic Ball Of Mass M Coated With Zinc.
From www.chegg.com
Solved 1. A small plastic ball of mass m45.0 g is suspended A Small Plastic Ball Of Mass M Coated With Zinc We can do this by analyzing the forces acting on the ball in the vertical. First, we need to find the tension in the string. A small plastic ball of mass m = 1.00 g is suspended by a string of length l = 21.0 cm in a uniform electric field, as shown in the figure. A small plastic ball. A Small Plastic Ball Of Mass M Coated With Zinc.
From www.chegg.com
Solved 1. A small plastic ball of mass m 1.50 g is suspended A Small Plastic Ball Of Mass M Coated With Zinc First, we need to find the tension in the string. A small plastic ball of mass $m=2.00 \mathrm{g}$ is suspended by a string of length $l=20.0 \mathrm{cm}$ in a uniform. A small plastic ball of mass m = 2.00 g is suspended by a string of length l = 20.0 cm in a. We can do this by analyzing the. A Small Plastic Ball Of Mass M Coated With Zinc.
From www.chegg.com
Solved A small plastic ball of mass m=3.00 g is suspended by A Small Plastic Ball Of Mass M Coated With Zinc First, we need to find the tension in the string. A small plastic ball of mass m = 1.00 g is suspended by a string of length l = 21.0 cm in a uniform electric field, as shown in the figure. A small plastic ball of mass m = 2.00 g is suspended by a string of length l =. A Small Plastic Ball Of Mass M Coated With Zinc.
From www.chegg.com
Solved 1. A small plastic ball of mass m=45.0 g is suspended A Small Plastic Ball Of Mass M Coated With Zinc We can do this by analyzing the forces acting on the ball in the vertical. A small plastic ball of mass m covered with a thin zinc coating, is suspended by means of an insulating thread from a fixed point. First, we need to find the tension in the string. A small plastic ball of mass $m=2.00 \mathrm{g}$ is suspended. A Small Plastic Ball Of Mass M Coated With Zinc.
From www.chegg.com
Solved *47. A small plastic ball of mass 6.50 103 kg and A Small Plastic Ball Of Mass M Coated With Zinc A small plastic ball of mass m = 2.00 g is suspended by a string of length l = 20.0 cm in a. A small plastic ball of mass m = 1.00 g is suspended by a string of length l = 21.0 cm in a uniform electric field, as shown in the figure. First, we need to find the. A Small Plastic Ball Of Mass M Coated With Zinc.
From www.chegg.com
Solved A small plastic ball of mass 5.74×10−3 kg and charge A Small Plastic Ball Of Mass M Coated With Zinc A small plastic ball of mass m = 2.00 g is suspended by a string of length l = 20.0 cm in a. A small plastic ball of mass $m=2.00 \mathrm{g}$ is suspended by a string of length $l=20.0 \mathrm{cm}$ in a uniform. A small plastic ball of mass m = 1.00 g is suspended by a string of length. A Small Plastic Ball Of Mass M Coated With Zinc.
From www.chegg.com
A small plastic ball of mass 7.16×103kg and charge A Small Plastic Ball Of Mass M Coated With Zinc A small plastic ball of mass $m=2.00 \mathrm{g}$ is suspended by a string of length $l=20.0 \mathrm{cm}$ in a uniform. A small plastic ball of mass m = 2.00 g is suspended by a string of length l = 20.0 cm in a. A small plastic ball of mass m = 1.00 g is suspended by a string of length. A Small Plastic Ball Of Mass M Coated With Zinc.