Difference Between Lutein And Lutein Esters . Foods such as dark, leafy greens and egg yolks are great sources of lutein. What is the difference between lutein and lutein esters? Lutein and lutein esters may only differ by one word, but they are actually fundamentally different. Lutein (lut) and zeaxanthin (zeax) are found in the blood and are deposited in the retina (macular pigment). While you can find lutein in supplement form, it is possible to consume enough lutein through diet alone. Lutein esters are more stable and are often used in supplements. Free and esterified lutein are both bioavailable, but supplements containing free. Lutein is a 40 carbon linked oxygenated carotenoid, known as an xanthophyll. Both are found in the.
from eduinput.com
Lutein (lut) and zeaxanthin (zeax) are found in the blood and are deposited in the retina (macular pigment). Lutein esters are more stable and are often used in supplements. While you can find lutein in supplement form, it is possible to consume enough lutein through diet alone. Foods such as dark, leafy greens and egg yolks are great sources of lutein. Lutein and lutein esters may only differ by one word, but they are actually fundamentally different. Lutein is a 40 carbon linked oxygenated carotenoid, known as an xanthophyll. Free and esterified lutein are both bioavailable, but supplements containing free. What is the difference between lutein and lutein esters? Both are found in the.
Difference Between Lutein and Luteolin
Difference Between Lutein And Lutein Esters Foods such as dark, leafy greens and egg yolks are great sources of lutein. Lutein is a 40 carbon linked oxygenated carotenoid, known as an xanthophyll. Both are found in the. Lutein (lut) and zeaxanthin (zeax) are found in the blood and are deposited in the retina (macular pigment). What is the difference between lutein and lutein esters? Foods such as dark, leafy greens and egg yolks are great sources of lutein. Free and esterified lutein are both bioavailable, but supplements containing free. Lutein esters are more stable and are often used in supplements. Lutein and lutein esters may only differ by one word, but they are actually fundamentally different. While you can find lutein in supplement form, it is possible to consume enough lutein through diet alone.
From www.wellgreenxa.com
What Is The Difference Between Lutein And Lutein Esters? News Difference Between Lutein And Lutein Esters Free and esterified lutein are both bioavailable, but supplements containing free. Lutein is a 40 carbon linked oxygenated carotenoid, known as an xanthophyll. While you can find lutein in supplement form, it is possible to consume enough lutein through diet alone. Lutein and lutein esters may only differ by one word, but they are actually fundamentally different. Lutein esters are. Difference Between Lutein And Lutein Esters.
From www.walmart.com
Swanson Lutein Esters 20 mg 60 Sgels 2 Pack Difference Between Lutein And Lutein Esters Lutein esters are more stable and are often used in supplements. Lutein (lut) and zeaxanthin (zeax) are found in the blood and are deposited in the retina (macular pigment). Lutein is a 40 carbon linked oxygenated carotenoid, known as an xanthophyll. What is the difference between lutein and lutein esters? Free and esterified lutein are both bioavailable, but supplements containing. Difference Between Lutein And Lutein Esters.
From www.brenntag.com
Lutein Esters for Eye Health Brenntag Difference Between Lutein And Lutein Esters Lutein is a 40 carbon linked oxygenated carotenoid, known as an xanthophyll. Both are found in the. While you can find lutein in supplement form, it is possible to consume enough lutein through diet alone. Lutein esters are more stable and are often used in supplements. Lutein (lut) and zeaxanthin (zeax) are found in the blood and are deposited in. Difference Between Lutein And Lutein Esters.
From ml.iherb.com
Swanson, Lutein Esters, 20 mg, 60 Softgels Difference Between Lutein And Lutein Esters Lutein is a 40 carbon linked oxygenated carotenoid, known as an xanthophyll. Free and esterified lutein are both bioavailable, but supplements containing free. Lutein and lutein esters may only differ by one word, but they are actually fundamentally different. What is the difference between lutein and lutein esters? Lutein esters are more stable and are often used in supplements. Both. Difference Between Lutein And Lutein Esters.
From nutriscienceusa.com
What is the Difference Between Lutein Esters and Free Lutein Difference Between Lutein And Lutein Esters Both are found in the. Free and esterified lutein are both bioavailable, but supplements containing free. Lutein (lut) and zeaxanthin (zeax) are found in the blood and are deposited in the retina (macular pigment). Foods such as dark, leafy greens and egg yolks are great sources of lutein. Lutein is a 40 carbon linked oxygenated carotenoid, known as an xanthophyll.. Difference Between Lutein And Lutein Esters.
From www.mdpi.com
Foods Free FullText Stabilisation of Lutein and Lutein Esters with Difference Between Lutein And Lutein Esters Lutein is a 40 carbon linked oxygenated carotenoid, known as an xanthophyll. Foods such as dark, leafy greens and egg yolks are great sources of lutein. Both are found in the. Lutein esters are more stable and are often used in supplements. Free and esterified lutein are both bioavailable, but supplements containing free. Lutein (lut) and zeaxanthin (zeax) are found. Difference Between Lutein And Lutein Esters.
From www.researchgate.net
The chemical structure of lutein and betacarotene. Download Difference Between Lutein And Lutein Esters Foods such as dark, leafy greens and egg yolks are great sources of lutein. Lutein (lut) and zeaxanthin (zeax) are found in the blood and are deposited in the retina (macular pigment). Lutein and lutein esters may only differ by one word, but they are actually fundamentally different. What is the difference between lutein and lutein esters? Free and esterified. Difference Between Lutein And Lutein Esters.
From mothersnutrition.com
LUTEIN (FROM ESTERS) , 10mg, 120ct Mother's Cupboard Nutrition Difference Between Lutein And Lutein Esters Lutein esters are more stable and are often used in supplements. Lutein (lut) and zeaxanthin (zeax) are found in the blood and are deposited in the retina (macular pigment). While you can find lutein in supplement form, it is possible to consume enough lutein through diet alone. Lutein is a 40 carbon linked oxygenated carotenoid, known as an xanthophyll. What. Difference Between Lutein And Lutein Esters.
From www.mellonpharm.com
what is the difference between lutein and lutein esters? Knowledge Difference Between Lutein And Lutein Esters What is the difference between lutein and lutein esters? Lutein and lutein esters may only differ by one word, but they are actually fundamentally different. Lutein is a 40 carbon linked oxygenated carotenoid, known as an xanthophyll. Lutein esters are more stable and are often used in supplements. Lutein (lut) and zeaxanthin (zeax) are found in the blood and are. Difference Between Lutein And Lutein Esters.
From www.walmart.com
Swanson Lutein Esters Featuring Lutemax 6 mg 100 Sgels 3 Pack Difference Between Lutein And Lutein Esters Lutein (lut) and zeaxanthin (zeax) are found in the blood and are deposited in the retina (macular pigment). Lutein esters are more stable and are often used in supplements. What is the difference between lutein and lutein esters? Both are found in the. Foods such as dark, leafy greens and egg yolks are great sources of lutein. Lutein and lutein. Difference Between Lutein And Lutein Esters.
From eduinput.com
Difference Between Lutein and Luteolin Difference Between Lutein And Lutein Esters While you can find lutein in supplement form, it is possible to consume enough lutein through diet alone. Both are found in the. Lutein is a 40 carbon linked oxygenated carotenoid, known as an xanthophyll. What is the difference between lutein and lutein esters? Foods such as dark, leafy greens and egg yolks are great sources of lutein. Lutein esters. Difference Between Lutein And Lutein Esters.
From www.verifiedmarketresearch.com
Lutein And Lutein Esters Market Size, Share, Opportunities & Forecast Difference Between Lutein And Lutein Esters While you can find lutein in supplement form, it is possible to consume enough lutein through diet alone. Lutein and lutein esters may only differ by one word, but they are actually fundamentally different. Lutein (lut) and zeaxanthin (zeax) are found in the blood and are deposited in the retina (macular pigment). Both are found in the. Lutein esters are. Difference Between Lutein And Lutein Esters.
From hrbopenresearch.org
Lutein and zeaxanthin The possible... HRB Open Research Difference Between Lutein And Lutein Esters While you can find lutein in supplement form, it is possible to consume enough lutein through diet alone. Lutein esters are more stable and are often used in supplements. Both are found in the. Lutein is a 40 carbon linked oxygenated carotenoid, known as an xanthophyll. Foods such as dark, leafy greens and egg yolks are great sources of lutein.. Difference Between Lutein And Lutein Esters.
From www.bulkapothecary.com
Lutein 10 mg (From Lutein Esters) 120 Softgels Bulk Apothecary Difference Between Lutein And Lutein Esters What is the difference between lutein and lutein esters? Foods such as dark, leafy greens and egg yolks are great sources of lutein. Lutein esters are more stable and are often used in supplements. Both are found in the. While you can find lutein in supplement form, it is possible to consume enough lutein through diet alone. Lutein and lutein. Difference Between Lutein And Lutein Esters.
From www.mdpi.com
Foods Free FullText Stabilisation of Lutein and Lutein Esters with Difference Between Lutein And Lutein Esters Both are found in the. Lutein is a 40 carbon linked oxygenated carotenoid, known as an xanthophyll. Lutein (lut) and zeaxanthin (zeax) are found in the blood and are deposited in the retina (macular pigment). Foods such as dark, leafy greens and egg yolks are great sources of lutein. Lutein esters are more stable and are often used in supplements.. Difference Between Lutein And Lutein Esters.
From pediaa.com
What is the Difference Between Lutein and Luteolin Difference Between Lutein And Lutein Esters While you can find lutein in supplement form, it is possible to consume enough lutein through diet alone. Lutein (lut) and zeaxanthin (zeax) are found in the blood and are deposited in the retina (macular pigment). Lutein and lutein esters may only differ by one word, but they are actually fundamentally different. Foods such as dark, leafy greens and egg. Difference Between Lutein And Lutein Esters.
From journals.sagepub.com
Toxicity Profile of Lutein and Lutein Ester Isolated From Marigold Difference Between Lutein And Lutein Esters Both are found in the. Free and esterified lutein are both bioavailable, but supplements containing free. Lutein and lutein esters may only differ by one word, but they are actually fundamentally different. While you can find lutein in supplement form, it is possible to consume enough lutein through diet alone. Lutein esters are more stable and are often used in. Difference Between Lutein And Lutein Esters.
From www.ubuy.za.com
Buy NOW Supplements, Lutein 20 mg with 20 mg of Free Lutein from Lutein Difference Between Lutein And Lutein Esters Both are found in the. While you can find lutein in supplement form, it is possible to consume enough lutein through diet alone. Free and esterified lutein are both bioavailable, but supplements containing free. What is the difference between lutein and lutein esters? Lutein esters are more stable and are often used in supplements. Foods such as dark, leafy greens. Difference Between Lutein And Lutein Esters.
From www.researchgate.net
(PDF) Stabilisation of Lutein and Lutein Esters with Polyoxyethylene Difference Between Lutein And Lutein Esters Lutein esters are more stable and are often used in supplements. Both are found in the. Foods such as dark, leafy greens and egg yolks are great sources of lutein. While you can find lutein in supplement form, it is possible to consume enough lutein through diet alone. Free and esterified lutein are both bioavailable, but supplements containing free. What. Difference Between Lutein And Lutein Esters.
From nutriscienceusa.com
What is the Difference Between Lutein Esters and Free Lutein Difference Between Lutein And Lutein Esters Lutein is a 40 carbon linked oxygenated carotenoid, known as an xanthophyll. Foods such as dark, leafy greens and egg yolks are great sources of lutein. Lutein esters are more stable and are often used in supplements. While you can find lutein in supplement form, it is possible to consume enough lutein through diet alone. Lutein (lut) and zeaxanthin (zeax). Difference Between Lutein And Lutein Esters.
From onlinelibrary.wiley.com
Comparison of macular pigment and serum lutein concentration changes Difference Between Lutein And Lutein Esters Lutein esters are more stable and are often used in supplements. While you can find lutein in supplement form, it is possible to consume enough lutein through diet alone. Free and esterified lutein are both bioavailable, but supplements containing free. Both are found in the. Lutein (lut) and zeaxanthin (zeax) are found in the blood and are deposited in the. Difference Between Lutein And Lutein Esters.
From mothersnutrition.com
LUTEIN (FROM ESTERS) , 20mg, 90ct Mother's Cupboard Nutrition Difference Between Lutein And Lutein Esters What is the difference between lutein and lutein esters? While you can find lutein in supplement form, it is possible to consume enough lutein through diet alone. Lutein esters are more stable and are often used in supplements. Lutein and lutein esters may only differ by one word, but they are actually fundamentally different. Lutein (lut) and zeaxanthin (zeax) are. Difference Between Lutein And Lutein Esters.
From www.semanticscholar.org
Figure 1 from Toxicity Profile of Lutein and Lutein Ester Isolated From Difference Between Lutein And Lutein Esters What is the difference between lutein and lutein esters? Lutein esters are more stable and are often used in supplements. Lutein (lut) and zeaxanthin (zeax) are found in the blood and are deposited in the retina (macular pigment). Free and esterified lutein are both bioavailable, but supplements containing free. While you can find lutein in supplement form, it is possible. Difference Between Lutein And Lutein Esters.
From vitateka.ee
LUTEIN ESTERS CAPSULES N60 20MG SWANSON (Lutein Esters) buy 15,49 Difference Between Lutein And Lutein Esters Lutein and lutein esters may only differ by one word, but they are actually fundamentally different. Foods such as dark, leafy greens and egg yolks are great sources of lutein. Lutein (lut) and zeaxanthin (zeax) are found in the blood and are deposited in the retina (macular pigment). Free and esterified lutein are both bioavailable, but supplements containing free. Lutein. Difference Between Lutein And Lutein Esters.
From www.priceplow.com
Swanson Lutein Esters News, Reviews, & Prices at PricePlow Difference Between Lutein And Lutein Esters While you can find lutein in supplement form, it is possible to consume enough lutein through diet alone. Lutein is a 40 carbon linked oxygenated carotenoid, known as an xanthophyll. What is the difference between lutein and lutein esters? Both are found in the. Lutein (lut) and zeaxanthin (zeax) are found in the blood and are deposited in the retina. Difference Between Lutein And Lutein Esters.
From www.researchgate.net
Lutein and lutein ester concentrations in (a) white salted noodle (WSN Difference Between Lutein And Lutein Esters While you can find lutein in supplement form, it is possible to consume enough lutein through diet alone. Lutein is a 40 carbon linked oxygenated carotenoid, known as an xanthophyll. What is the difference between lutein and lutein esters? Lutein (lut) and zeaxanthin (zeax) are found in the blood and are deposited in the retina (macular pigment). Lutein and lutein. Difference Between Lutein And Lutein Esters.
From www.walmart.com
Swanson Lutein Esters & Bilberry 120 Softgels Difference Between Lutein And Lutein Esters Lutein is a 40 carbon linked oxygenated carotenoid, known as an xanthophyll. What is the difference between lutein and lutein esters? Lutein and lutein esters may only differ by one word, but they are actually fundamentally different. Lutein esters are more stable and are often used in supplements. Free and esterified lutein are both bioavailable, but supplements containing free. Lutein. Difference Between Lutein And Lutein Esters.
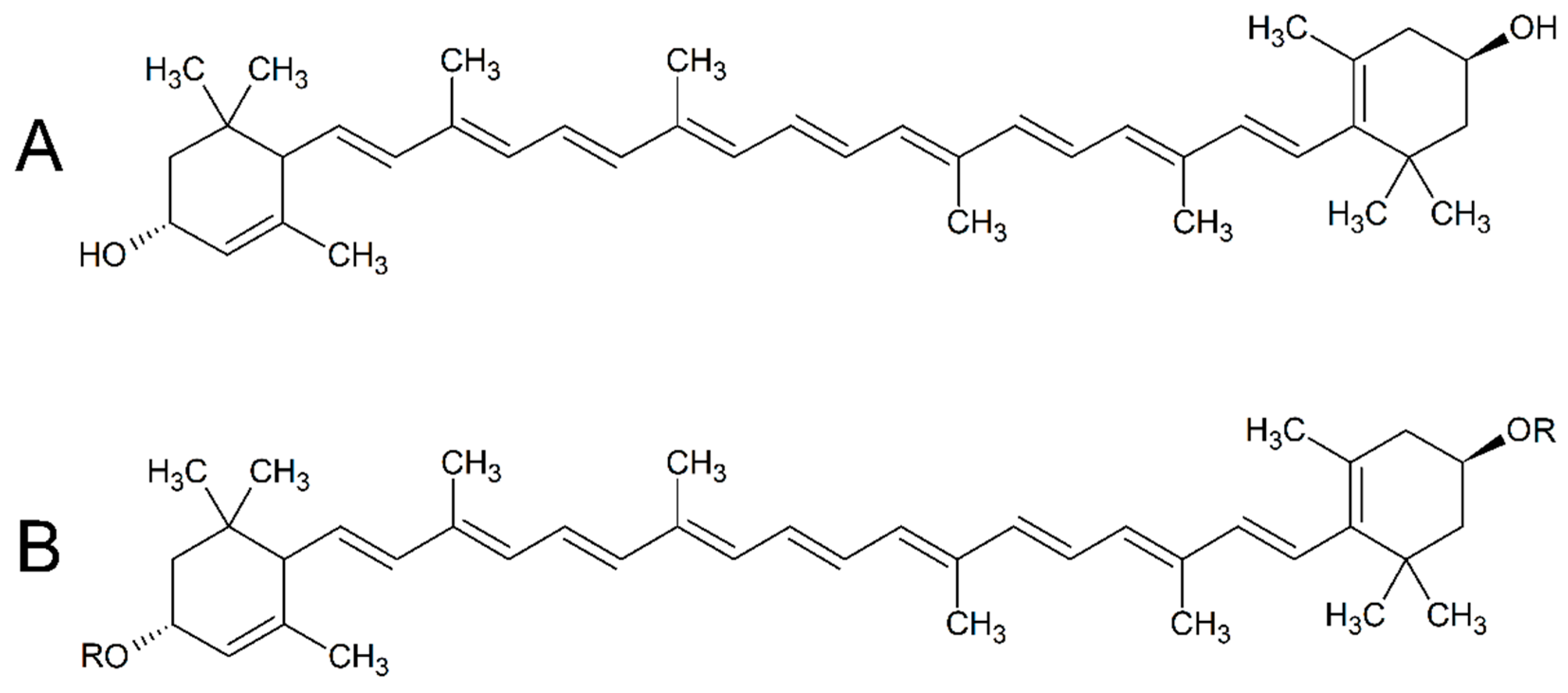
From www.researchgate.net
Structural formulae of lutein (A) and lutein esters (B) Difference Between Lutein And Lutein Esters Lutein esters are more stable and are often used in supplements. What is the difference between lutein and lutein esters? Foods such as dark, leafy greens and egg yolks are great sources of lutein. Lutein and lutein esters may only differ by one word, but they are actually fundamentally different. Lutein (lut) and zeaxanthin (zeax) are found in the blood. Difference Between Lutein And Lutein Esters.
From www.greenspringshop.com
Take you to understand the difference between lutein and lutein esters Difference Between Lutein And Lutein Esters Both are found in the. Lutein esters are more stable and are often used in supplements. While you can find lutein in supplement form, it is possible to consume enough lutein through diet alone. Lutein is a 40 carbon linked oxygenated carotenoid, known as an xanthophyll. Lutein (lut) and zeaxanthin (zeax) are found in the blood and are deposited in. Difference Between Lutein And Lutein Esters.
From www.lazada.com.my
CoolkinLUTEIN ESTER CAPSULES High efficiency lutein and zeaxanthin Difference Between Lutein And Lutein Esters Lutein (lut) and zeaxanthin (zeax) are found in the blood and are deposited in the retina (macular pigment). Lutein esters are more stable and are often used in supplements. Lutein is a 40 carbon linked oxygenated carotenoid, known as an xanthophyll. While you can find lutein in supplement form, it is possible to consume enough lutein through diet alone. Free. Difference Between Lutein And Lutein Esters.
From www.pinterest.com
Swanson Premium Lutein Esters 6 mg 100 Sgels Swanson® Lutein Difference Between Lutein And Lutein Esters What is the difference between lutein and lutein esters? Lutein (lut) and zeaxanthin (zeax) are found in the blood and are deposited in the retina (macular pigment). Lutein esters are more stable and are often used in supplements. Lutein is a 40 carbon linked oxygenated carotenoid, known as an xanthophyll. Lutein and lutein esters may only differ by one word,. Difference Between Lutein And Lutein Esters.
From www.essentialoil.in
Lutein ester Lutein sources Difference Between Lutein And Lutein Esters Both are found in the. Foods such as dark, leafy greens and egg yolks are great sources of lutein. What is the difference between lutein and lutein esters? While you can find lutein in supplement form, it is possible to consume enough lutein through diet alone. Lutein (lut) and zeaxanthin (zeax) are found in the blood and are deposited in. Difference Between Lutein And Lutein Esters.
From ksnutripharma.com
What's the difference between lutein and lutein esters? Difference Between Lutein And Lutein Esters Free and esterified lutein are both bioavailable, but supplements containing free. Lutein (lut) and zeaxanthin (zeax) are found in the blood and are deposited in the retina (macular pigment). Both are found in the. Lutein esters are more stable and are often used in supplements. While you can find lutein in supplement form, it is possible to consume enough lutein. Difference Between Lutein And Lutein Esters.
From onlinelibrary.wiley.com
Comparison of macular pigment and serum lutein concentration changes Difference Between Lutein And Lutein Esters While you can find lutein in supplement form, it is possible to consume enough lutein through diet alone. Free and esterified lutein are both bioavailable, but supplements containing free. Foods such as dark, leafy greens and egg yolks are great sources of lutein. Lutein (lut) and zeaxanthin (zeax) are found in the blood and are deposited in the retina (macular. Difference Between Lutein And Lutein Esters.
From onlinelibrary.wiley.com
Comparison of macular pigment and serum lutein concentration changes Difference Between Lutein And Lutein Esters Lutein esters are more stable and are often used in supplements. Both are found in the. Lutein and lutein esters may only differ by one word, but they are actually fundamentally different. Free and esterified lutein are both bioavailable, but supplements containing free. While you can find lutein in supplement form, it is possible to consume enough lutein through diet. Difference Between Lutein And Lutein Esters.