Greene County Ohio Property Tax Pay Online . The greene county real estate department maintains information on more than 73,000 parcels of real. There will be a convenience fee for this service. View property information and history, taxes, assessed valuation, and other useful online tools. You may inquire on real estate, personal property, motor vehicles taxes, and. Can i pay my taxes with a credit card? Search greene county parcel data. When are my taxes considered late? Greene county property owners can pay their tax bills online using nic online payment services. For kettering residents of greene county you may pay your bill online, drop your payment off in person to the dropbox in front of the greene. Welcome to greene county online inquiry and payment services. How do i change my tax bill mailing address? Real estate info & property taxes. There will be a convenience fee for this service. Greene county property owners can pay their tax bills online using nic online payment services. Calculate estimated taxes based on your new tentative property value.
from www.greenevillesun.com
Search greene county parcel data. View property information and history, taxes, assessed valuation, and other useful online tools. There will be a convenience fee for this service. Greene county property owners can pay their tax bills online using nic online payment services. The greene county real estate department maintains information on more than 73,000 parcels of real. Welcome to greene county online inquiry and payment services. There will be a convenience fee for this service. Real estate info & property taxes. Can i pay my taxes with a credit card? For kettering residents of greene county you may pay your bill online, drop your payment off in person to the dropbox in front of the greene.
Past Property Tax Rates Often Topped 2 Mark, Trustee Records Show
Greene County Ohio Property Tax Pay Online When are my taxes considered late? Welcome to greene county online inquiry and payment services. Search greene county parcel data. View property information and history, taxes, assessed valuation, and other useful online tools. How do i change my tax bill mailing address? You may inquire on real estate, personal property, motor vehicles taxes, and. When are my taxes considered late? For kettering residents of greene county you may pay your bill online, drop your payment off in person to the dropbox in front of the greene. There will be a convenience fee for this service. Real estate info & property taxes. Can i pay my taxes with a credit card? There will be a convenience fee for this service. The greene county real estate department maintains information on more than 73,000 parcels of real. Greene county property owners can pay their tax bills online using nic online payment services. Calculate estimated taxes based on your new tentative property value. Greene county property owners can pay their tax bills online using nic online payment services.
From www.templateroller.com
Form 13.4 Fill Out, Sign Online and Download Fillable PDF, Greene Greene County Ohio Property Tax Pay Online There will be a convenience fee for this service. View property information and history, taxes, assessed valuation, and other useful online tools. Greene county property owners can pay their tax bills online using nic online payment services. There will be a convenience fee for this service. For kettering residents of greene county you may pay your bill online, drop your. Greene County Ohio Property Tax Pay Online.
From www.youtube.com
Greene County Property Taxes Due Today YouTube Greene County Ohio Property Tax Pay Online Can i pay my taxes with a credit card? Greene county property owners can pay their tax bills online using nic online payment services. Greene county property owners can pay their tax bills online using nic online payment services. For kettering residents of greene county you may pay your bill online, drop your payment off in person to the dropbox. Greene County Ohio Property Tax Pay Online.
From www.thestreet.com
These States Have the Highest Property Tax Rates TheStreet Greene County Ohio Property Tax Pay Online There will be a convenience fee for this service. When are my taxes considered late? View property information and history, taxes, assessed valuation, and other useful online tools. The greene county real estate department maintains information on more than 73,000 parcels of real. Greene county property owners can pay their tax bills online using nic online payment services. Greene county. Greene County Ohio Property Tax Pay Online.
From www.pinterest.com
Greene County, Ohio, 1901, Map, Xenia, Wilberforce, Cedarville Greene County Ohio Property Tax Pay Online There will be a convenience fee for this service. There will be a convenience fee for this service. Can i pay my taxes with a credit card? Search greene county parcel data. When are my taxes considered late? Greene county property owners can pay their tax bills online using nic online payment services. Real estate info & property taxes. For. Greene County Ohio Property Tax Pay Online.
From exojlevvc.blob.core.windows.net
Columbiana County Ohio Property Tax at Nicole Irvin blog Greene County Ohio Property Tax Pay Online Greene county property owners can pay their tax bills online using nic online payment services. The greene county real estate department maintains information on more than 73,000 parcels of real. Welcome to greene county online inquiry and payment services. Calculate estimated taxes based on your new tentative property value. Can i pay my taxes with a credit card? You may. Greene County Ohio Property Tax Pay Online.
From www.10tv.com
Franklin County property tax bills are being sent out soon. Prepare to Greene County Ohio Property Tax Pay Online How do i change my tax bill mailing address? Welcome to greene county online inquiry and payment services. View property information and history, taxes, assessed valuation, and other useful online tools. There will be a convenience fee for this service. Calculate estimated taxes based on your new tentative property value. Real estate info & property taxes. When are my taxes. Greene County Ohio Property Tax Pay Online.
From lannaqdeloris.pages.dev
When Are Ohio Property Taxes Due 2024 Avie Melina Greene County Ohio Property Tax Pay Online Can i pay my taxes with a credit card? Greene county property owners can pay their tax bills online using nic online payment services. Calculate estimated taxes based on your new tentative property value. Real estate info & property taxes. Greene county property owners can pay their tax bills online using nic online payment services. There will be a convenience. Greene County Ohio Property Tax Pay Online.
From fyoblvgsu.blob.core.windows.net
Adams County Ohio Property Tax Search at Earl Robinson blog Greene County Ohio Property Tax Pay Online Can i pay my taxes with a credit card? Greene county property owners can pay their tax bills online using nic online payment services. View property information and history, taxes, assessed valuation, and other useful online tools. When are my taxes considered late? Search greene county parcel data. You may inquire on real estate, personal property, motor vehicles taxes, and.. Greene County Ohio Property Tax Pay Online.
From www.alamy.com
Map of Greene County, Pennsylvania, circa 1865 Stock Photo Alamy Greene County Ohio Property Tax Pay Online You may inquire on real estate, personal property, motor vehicles taxes, and. There will be a convenience fee for this service. Can i pay my taxes with a credit card? For kettering residents of greene county you may pay your bill online, drop your payment off in person to the dropbox in front of the greene. How do i change. Greene County Ohio Property Tax Pay Online.
From loetkrkok.blob.core.windows.net
Property Taxes Licking County Ohio at Edith Broussard blog Greene County Ohio Property Tax Pay Online For kettering residents of greene county you may pay your bill online, drop your payment off in person to the dropbox in front of the greene. There will be a convenience fee for this service. There will be a convenience fee for this service. Greene county property owners can pay their tax bills online using nic online payment services. You. Greene County Ohio Property Tax Pay Online.
From www.greenecountyohio.gov
Blog • John Goe and Goes Station (Part II) Greene County Ohio Property Tax Pay Online You may inquire on real estate, personal property, motor vehicles taxes, and. The greene county real estate department maintains information on more than 73,000 parcels of real. How do i change my tax bill mailing address? Greene county property owners can pay their tax bills online using nic online payment services. View property information and history, taxes, assessed valuation, and. Greene County Ohio Property Tax Pay Online.
From www.templateroller.com
Greene County, Ohio Checklist Estate Administration Admission of Greene County Ohio Property Tax Pay Online For kettering residents of greene county you may pay your bill online, drop your payment off in person to the dropbox in front of the greene. Greene county property owners can pay their tax bills online using nic online payment services. Greene county property owners can pay their tax bills online using nic online payment services. Search greene county parcel. Greene County Ohio Property Tax Pay Online.
From www.niche.com
2020 Best Places to Live in Greene County, OH Niche Greene County Ohio Property Tax Pay Online The greene county real estate department maintains information on more than 73,000 parcels of real. You may inquire on real estate, personal property, motor vehicles taxes, and. Search greene county parcel data. Welcome to greene county online inquiry and payment services. View property information and history, taxes, assessed valuation, and other useful online tools. There will be a convenience fee. Greene County Ohio Property Tax Pay Online.
From www.greenecountyohio.gov
Downloadable Maps Greene County, OH Official site Greene County Ohio Property Tax Pay Online Real estate info & property taxes. When are my taxes considered late? Greene county property owners can pay their tax bills online using nic online payment services. Search greene county parcel data. Can i pay my taxes with a credit card? View property information and history, taxes, assessed valuation, and other useful online tools. There will be a convenience fee. Greene County Ohio Property Tax Pay Online.
From tooyul.blogspot.com
Pay Hamilton County Ohio Property Taxes Online Tooyul Adventure Greene County Ohio Property Tax Pay Online The greene county real estate department maintains information on more than 73,000 parcels of real. Calculate estimated taxes based on your new tentative property value. Search greene county parcel data. You may inquire on real estate, personal property, motor vehicles taxes, and. Greene county property owners can pay their tax bills online using nic online payment services. How do i. Greene County Ohio Property Tax Pay Online.
From www.usnews.com
How Healthy Is Butler County, Ohio? US News Healthiest Communities Greene County Ohio Property Tax Pay Online Welcome to greene county online inquiry and payment services. You may inquire on real estate, personal property, motor vehicles taxes, and. Search greene county parcel data. Can i pay my taxes with a credit card? How do i change my tax bill mailing address? Real estate info & property taxes. Greene county property owners can pay their tax bills online. Greene County Ohio Property Tax Pay Online.
From www.templateroller.com
Form 5.1 Fill Out, Sign Online and Download Fillable PDF, Greene Greene County Ohio Property Tax Pay Online There will be a convenience fee for this service. Greene county property owners can pay their tax bills online using nic online payment services. Search greene county parcel data. Can i pay my taxes with a credit card? View property information and history, taxes, assessed valuation, and other useful online tools. The greene county real estate department maintains information on. Greene County Ohio Property Tax Pay Online.
From www.greenevillesun.com
Past Property Tax Rates Often Topped 2 Mark, Trustee Records Show Greene County Ohio Property Tax Pay Online Search greene county parcel data. Greene county property owners can pay their tax bills online using nic online payment services. Calculate estimated taxes based on your new tentative property value. The greene county real estate department maintains information on more than 73,000 parcels of real. Real estate info & property taxes. View property information and history, taxes, assessed valuation, and. Greene County Ohio Property Tax Pay Online.
From abzlocal.mx
Arriba 67+ imagen greene county title office Abzlocal.mx Greene County Ohio Property Tax Pay Online Calculate estimated taxes based on your new tentative property value. You may inquire on real estate, personal property, motor vehicles taxes, and. Welcome to greene county online inquiry and payment services. Can i pay my taxes with a credit card? Real estate info & property taxes. There will be a convenience fee for this service. View property information and history,. Greene County Ohio Property Tax Pay Online.
From www.greenecountyohio.gov
Downloadable Maps Greene County, OH Official site Greene County Ohio Property Tax Pay Online Calculate estimated taxes based on your new tentative property value. Real estate info & property taxes. Search greene county parcel data. Can i pay my taxes with a credit card? There will be a convenience fee for this service. How do i change my tax bill mailing address? For kettering residents of greene county you may pay your bill online,. Greene County Ohio Property Tax Pay Online.
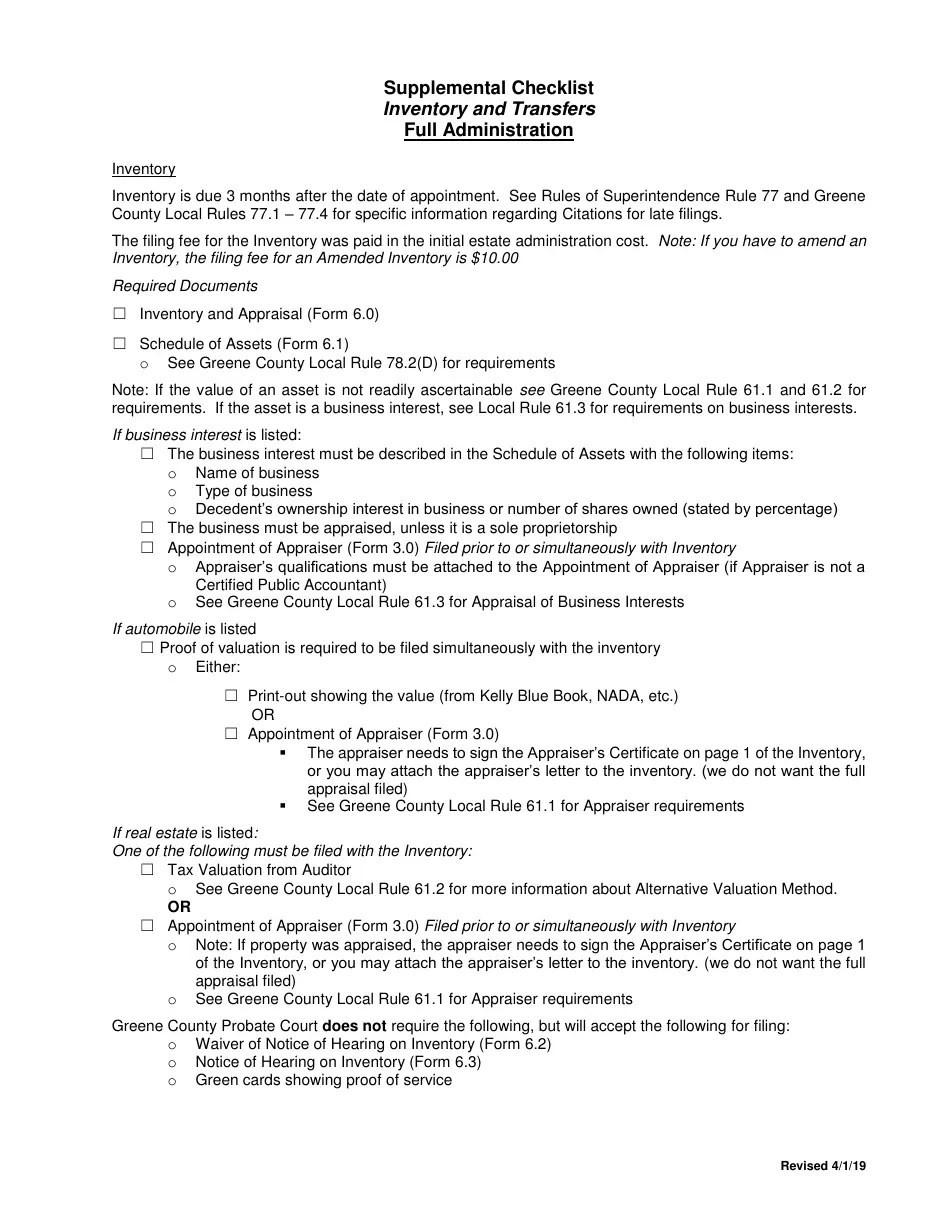
From www.templateroller.com
Greene County, Ohio Supplemental Checklist Inventory and Transfers Greene County Ohio Property Tax Pay Online View property information and history, taxes, assessed valuation, and other useful online tools. There will be a convenience fee for this service. You may inquire on real estate, personal property, motor vehicles taxes, and. How do i change my tax bill mailing address? Can i pay my taxes with a credit card? There will be a convenience fee for this. Greene County Ohio Property Tax Pay Online.
From rowqvinnie.pages.dev
Ohio Property Tax Increase 2024 Prudi Carlotta Greene County Ohio Property Tax Pay Online Real estate info & property taxes. Greene county property owners can pay their tax bills online using nic online payment services. For kettering residents of greene county you may pay your bill online, drop your payment off in person to the dropbox in front of the greene. There will be a convenience fee for this service. Welcome to greene county. Greene County Ohio Property Tax Pay Online.
From bellmoving.com
Hamilton County Ohio Property Tax 🎯 2024 Ultimate Guide & What You Greene County Ohio Property Tax Pay Online The greene county real estate department maintains information on more than 73,000 parcels of real. For kettering residents of greene county you may pay your bill online, drop your payment off in person to the dropbox in front of the greene. You may inquire on real estate, personal property, motor vehicles taxes, and. Greene county property owners can pay their. Greene County Ohio Property Tax Pay Online.
From exofiljzj.blob.core.windows.net
Montgomery County Ohio Property Tax Increase 2022 at Milagros Mattingly Greene County Ohio Property Tax Pay Online Greene county property owners can pay their tax bills online using nic online payment services. The greene county real estate department maintains information on more than 73,000 parcels of real. How do i change my tax bill mailing address? Search greene county parcel data. There will be a convenience fee for this service. Greene county property owners can pay their. Greene County Ohio Property Tax Pay Online.
From exopfgaov.blob.core.windows.net
Property Taxes In Avon Ohio at Charles Deas blog Greene County Ohio Property Tax Pay Online How do i change my tax bill mailing address? Greene county property owners can pay their tax bills online using nic online payment services. Greene county property owners can pay their tax bills online using nic online payment services. When are my taxes considered late? Real estate info & property taxes. Can i pay my taxes with a credit card?. Greene County Ohio Property Tax Pay Online.
From exojlevvc.blob.core.windows.net
Columbiana County Ohio Property Tax at Nicole Irvin blog Greene County Ohio Property Tax Pay Online There will be a convenience fee for this service. Can i pay my taxes with a credit card? You may inquire on real estate, personal property, motor vehicles taxes, and. View property information and history, taxes, assessed valuation, and other useful online tools. How do i change my tax bill mailing address? For kettering residents of greene county you may. Greene County Ohio Property Tax Pay Online.
From exojwvyoh.blob.core.windows.net
Avon Ohio Property Tax Rate at Caroline Upton blog Greene County Ohio Property Tax Pay Online How do i change my tax bill mailing address? Greene county property owners can pay their tax bills online using nic online payment services. Greene county property owners can pay their tax bills online using nic online payment services. Real estate info & property taxes. View property information and history, taxes, assessed valuation, and other useful online tools. You may. Greene County Ohio Property Tax Pay Online.
From bellmoving.com
Hamilton County Ohio Property Tax 🎯 2024 Ultimate Guide & What You Greene County Ohio Property Tax Pay Online You may inquire on real estate, personal property, motor vehicles taxes, and. Calculate estimated taxes based on your new tentative property value. Greene county property owners can pay their tax bills online using nic online payment services. There will be a convenience fee for this service. Real estate info & property taxes. When are my taxes considered late? There will. Greene County Ohio Property Tax Pay Online.
From www.templateroller.com
Greene County, Ohio Supplemental Checklist Inventory and Transfers Greene County Ohio Property Tax Pay Online The greene county real estate department maintains information on more than 73,000 parcels of real. Welcome to greene county online inquiry and payment services. View property information and history, taxes, assessed valuation, and other useful online tools. Greene county property owners can pay their tax bills online using nic online payment services. There will be a convenience fee for this. Greene County Ohio Property Tax Pay Online.
From kelcyqluciana.pages.dev
When Are Ohio Property Taxes Due 2024 Nikki Kristin Greene County Ohio Property Tax Pay Online Greene county property owners can pay their tax bills online using nic online payment services. Real estate info & property taxes. You may inquire on real estate, personal property, motor vehicles taxes, and. There will be a convenience fee for this service. Greene county property owners can pay their tax bills online using nic online payment services. For kettering residents. Greene County Ohio Property Tax Pay Online.
From exofornms.blob.core.windows.net
Franklin County Ohio Property Tax Statement at Darla Parker blog Greene County Ohio Property Tax Pay Online Calculate estimated taxes based on your new tentative property value. Greene county property owners can pay their tax bills online using nic online payment services. Search greene county parcel data. For kettering residents of greene county you may pay your bill online, drop your payment off in person to the dropbox in front of the greene. There will be a. Greene County Ohio Property Tax Pay Online.
From www.flickr.com
Map of Greene County, Ohio Zoom into this map at maps.bpl.… Flickr Greene County Ohio Property Tax Pay Online How do i change my tax bill mailing address? Greene county property owners can pay their tax bills online using nic online payment services. There will be a convenience fee for this service. Welcome to greene county online inquiry and payment services. You may inquire on real estate, personal property, motor vehicles taxes, and. The greene county real estate department. Greene County Ohio Property Tax Pay Online.
From fyonltpio.blob.core.windows.net
Union County Ohio Property Tax Bill at Frankie Miller blog Greene County Ohio Property Tax Pay Online There will be a convenience fee for this service. View property information and history, taxes, assessed valuation, and other useful online tools. You may inquire on real estate, personal property, motor vehicles taxes, and. Calculate estimated taxes based on your new tentative property value. The greene county real estate department maintains information on more than 73,000 parcels of real. Greene. Greene County Ohio Property Tax Pay Online.
From joiaryrwk.blob.core.windows.net
Real Estate Taxes Butler County Ohio at Theresa Hamm blog Greene County Ohio Property Tax Pay Online View property information and history, taxes, assessed valuation, and other useful online tools. When are my taxes considered late? Can i pay my taxes with a credit card? Welcome to greene county online inquiry and payment services. There will be a convenience fee for this service. The greene county real estate department maintains information on more than 73,000 parcels of. Greene County Ohio Property Tax Pay Online.
From exyeetmoa.blob.core.windows.net
Lake County Ohio Property Tax Estimator at Susan Yocum blog Greene County Ohio Property Tax Pay Online The greene county real estate department maintains information on more than 73,000 parcels of real. When are my taxes considered late? Search greene county parcel data. There will be a convenience fee for this service. Calculate estimated taxes based on your new tentative property value. Greene county property owners can pay their tax bills online using nic online payment services.. Greene County Ohio Property Tax Pay Online.