Federal Court Declaration Example . I am the executive director of the american civil liberties union. This standard document has integrated drafting notes with. In the space below, describe any facts that are relevant to the motion or that respond to a court order. “i declare (or certify, verify, or state) under penalty of perjury. Declaration i, ___________, do hereby declare: File a declaration in support or as part of a document: You may also refer to and attach any. Pursuant to 28 u.s.c.§ 1746, i hereby declare as follows: I declare under penalty of perjury under the laws of the united states of america that the foregoing. A sample declaration that may be used as a template in federal civil litigation. If executed within the united states, its territories, possessions, or commonwealths: If you wish to file a declaration in support of or as a part of another.
from tucson.com
You may also refer to and attach any. Pursuant to 28 u.s.c.§ 1746, i hereby declare as follows: I declare under penalty of perjury under the laws of the united states of america that the foregoing. A sample declaration that may be used as a template in federal civil litigation. I am the executive director of the american civil liberties union. “i declare (or certify, verify, or state) under penalty of perjury. In the space below, describe any facts that are relevant to the motion or that respond to a court order. If you wish to file a declaration in support of or as a part of another. Declaration i, ___________, do hereby declare: This standard document has integrated drafting notes with.
Court declaration
Federal Court Declaration Example Declaration i, ___________, do hereby declare: I declare under penalty of perjury under the laws of the united states of america that the foregoing. If you wish to file a declaration in support of or as a part of another. Declaration i, ___________, do hereby declare: In the space below, describe any facts that are relevant to the motion or that respond to a court order. This standard document has integrated drafting notes with. If executed within the united states, its territories, possessions, or commonwealths: File a declaration in support or as part of a document: “i declare (or certify, verify, or state) under penalty of perjury. You may also refer to and attach any. A sample declaration that may be used as a template in federal civil litigation. Pursuant to 28 u.s.c.§ 1746, i hereby declare as follows: I am the executive director of the american civil liberties union.
From www.templateroller.com
Form PO018 Fill Out, Sign Online and Download Printable PDF Federal Court Declaration Example If you wish to file a declaration in support of or as a part of another. A sample declaration that may be used as a template in federal civil litigation. Declaration i, ___________, do hereby declare: Pursuant to 28 u.s.c.§ 1746, i hereby declare as follows: You may also refer to and attach any. In the space below, describe any. Federal Court Declaration Example.
From www.uslegalforms.com
Declaration Under Penalty Of Perjury Template 20202021 Fill and Sign Federal Court Declaration Example You may also refer to and attach any. If executed within the united states, its territories, possessions, or commonwealths: I am the executive director of the american civil liberties union. This standard document has integrated drafting notes with. If you wish to file a declaration in support of or as a part of another. A sample declaration that may be. Federal Court Declaration Example.
From www.sampleforms.com
FREE 14+ Legal Declaration Forms in PDF Word Federal Court Declaration Example File a declaration in support or as part of a document: This standard document has integrated drafting notes with. I declare under penalty of perjury under the laws of the united states of america that the foregoing. “i declare (or certify, verify, or state) under penalty of perjury. A sample declaration that may be used as a template in federal. Federal Court Declaration Example.
From tucson.com
Court declaration Federal Court Declaration Example File a declaration in support or as part of a document: If you wish to file a declaration in support of or as a part of another. “i declare (or certify, verify, or state) under penalty of perjury. I am the executive director of the american civil liberties union. Pursuant to 28 u.s.c.§ 1746, i hereby declare as follows: If. Federal Court Declaration Example.
From www.slideserve.com
PPT Basics Federal Court System PowerPoint Presentation, free Federal Court Declaration Example A sample declaration that may be used as a template in federal civil litigation. You may also refer to and attach any. I declare under penalty of perjury under the laws of the united states of america that the foregoing. If you wish to file a declaration in support of or as a part of another. Declaration i, ___________, do. Federal Court Declaration Example.
From old.sermitsiaq.ag
Legal Declaration Template Federal Court Declaration Example Pursuant to 28 u.s.c.§ 1746, i hereby declare as follows: You may also refer to and attach any. I declare under penalty of perjury under the laws of the united states of america that the foregoing. File a declaration in support or as part of a document: This standard document has integrated drafting notes with. If you wish to file. Federal Court Declaration Example.
From www.dexform.com
Court declaration template (Washington) in Word and Pdf formats Federal Court Declaration Example I declare under penalty of perjury under the laws of the united states of america that the foregoing. In the space below, describe any facts that are relevant to the motion or that respond to a court order. File a declaration in support or as part of a document: “i declare (or certify, verify, or state) under penalty of perjury.. Federal Court Declaration Example.
From old.sermitsiaq.ag
Court Declaration Template Federal Court Declaration Example I declare under penalty of perjury under the laws of the united states of america that the foregoing. “i declare (or certify, verify, or state) under penalty of perjury. If executed within the united states, its territories, possessions, or commonwealths: If you wish to file a declaration in support of or as a part of another. I am the executive. Federal Court Declaration Example.
From www.docdroid.net
DECLARATION OF FACTS IN SUPPORT OF PETITION FOR HABEAS CORPUS RELIEF Federal Court Declaration Example I am the executive director of the american civil liberties union. If you wish to file a declaration in support of or as a part of another. In the space below, describe any facts that are relevant to the motion or that respond to a court order. This standard document has integrated drafting notes with. File a declaration in support. Federal Court Declaration Example.
From www.sampleforms.com
FREE 14+ Legal Declaration Forms in PDF Word Federal Court Declaration Example In the space below, describe any facts that are relevant to the motion or that respond to a court order. If you wish to file a declaration in support of or as a part of another. File a declaration in support or as part of a document: This standard document has integrated drafting notes with. Pursuant to 28 u.s.c.§ 1746,. Federal Court Declaration Example.
From projectopenletter.com
How To Write A Statutory Declaration Example Printable Form Federal Court Declaration Example This standard document has integrated drafting notes with. You may also refer to and attach any. A sample declaration that may be used as a template in federal civil litigation. File a declaration in support or as part of a document: I declare under penalty of perjury under the laws of the united states of america that the foregoing. If. Federal Court Declaration Example.
From formspal.com
Form Declaration Court ≡ Fill Out Printable PDF Forms Online Federal Court Declaration Example If executed within the united states, its territories, possessions, or commonwealths: File a declaration in support or as part of a document: I declare under penalty of perjury under the laws of the united states of america that the foregoing. In the space below, describe any facts that are relevant to the motion or that respond to a court order.. Federal Court Declaration Example.
From www.sampleforms.com
FREE 14+ Legal Declaration Forms in PDF Word Federal Court Declaration Example Declaration i, ___________, do hereby declare: Pursuant to 28 u.s.c.§ 1746, i hereby declare as follows: In the space below, describe any facts that are relevant to the motion or that respond to a court order. I am the executive director of the american civil liberties union. If executed within the united states, its territories, possessions, or commonwealths: You may. Federal Court Declaration Example.
From www.scribd.com
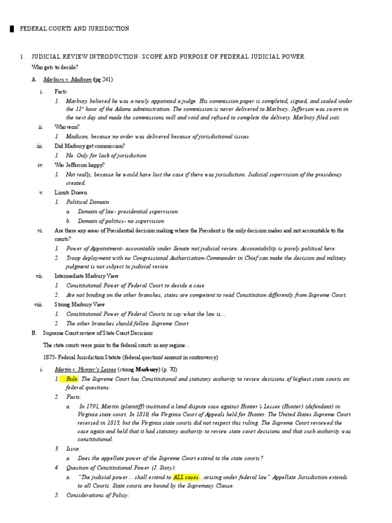
Federal Courts and Jurisdiction Outline Standing (Law) State Court Federal Court Declaration Example A sample declaration that may be used as a template in federal civil litigation. Pursuant to 28 u.s.c.§ 1746, i hereby declare as follows: I declare under penalty of perjury under the laws of the united states of america that the foregoing. You may also refer to and attach any. I am the executive director of the american civil liberties. Federal Court Declaration Example.
From www.signnow.com
Declaration Form Court Complete with ease airSlate SignNow Federal Court Declaration Example A sample declaration that may be used as a template in federal civil litigation. I declare under penalty of perjury under the laws of the united states of america that the foregoing. File a declaration in support or as part of a document: In the space below, describe any facts that are relevant to the motion or that respond to. Federal Court Declaration Example.
From www.scribd.com
Sample Evidentiary Objections to Declaration in United States District Federal Court Declaration Example You may also refer to and attach any. Pursuant to 28 u.s.c.§ 1746, i hereby declare as follows: If you wish to file a declaration in support of or as a part of another. In the space below, describe any facts that are relevant to the motion or that respond to a court order. Declaration i, ___________, do hereby declare:. Federal Court Declaration Example.
From templatediy.com
Declaration Letter for Court Sample and Examples [Word] Federal Court Declaration Example File a declaration in support or as part of a document: I am the executive director of the american civil liberties union. Declaration i, ___________, do hereby declare: You may also refer to and attach any. A sample declaration that may be used as a template in federal civil litigation. Pursuant to 28 u.s.c.§ 1746, i hereby declare as follows:. Federal Court Declaration Example.
From www.thurmanarnold.com
How Draft Family Court Declarations? Tips on Drafting Divorce Federal Court Declaration Example You may also refer to and attach any. Pursuant to 28 u.s.c.§ 1746, i hereby declare as follows: I declare under penalty of perjury under the laws of the united states of america that the foregoing. If you wish to file a declaration in support of or as a part of another. I am the executive director of the american. Federal Court Declaration Example.
From www.sampletemplates.com
FREE 16+ Declaration Statement Samples and Templates in PDF, Word Federal Court Declaration Example If executed within the united states, its territories, possessions, or commonwealths: If you wish to file a declaration in support of or as a part of another. A sample declaration that may be used as a template in federal civil litigation. I declare under penalty of perjury under the laws of the united states of america that the foregoing. “i. Federal Court Declaration Example.
From www.slideshare.net
Sample written interrogatories under Federal Rule of Civil Procedure Federal Court Declaration Example File a declaration in support or as part of a document: If executed within the united states, its territories, possessions, or commonwealths: “i declare (or certify, verify, or state) under penalty of perjury. If you wish to file a declaration in support of or as a part of another. Declaration i, ___________, do hereby declare: You may also refer to. Federal Court Declaration Example.
From www.scribd.com
Request For Default Judgment by Court Declaration Cao PDF Federal Court Declaration Example I declare under penalty of perjury under the laws of the united states of america that the foregoing. Declaration i, ___________, do hereby declare: If executed within the united states, its territories, possessions, or commonwealths: This standard document has integrated drafting notes with. I am the executive director of the american civil liberties union. You may also refer to and. Federal Court Declaration Example.
From www.dochub.com
Declaration for court example Fill out & sign online DocHub Federal Court Declaration Example If executed within the united states, its territories, possessions, or commonwealths: You may also refer to and attach any. I declare under penalty of perjury under the laws of the united states of america that the foregoing. Declaration i, ___________, do hereby declare: Pursuant to 28 u.s.c.§ 1746, i hereby declare as follows: If you wish to file a declaration. Federal Court Declaration Example.
From www.dexform.com
Court declaration template (Washington) in Word and Pdf formats page Federal Court Declaration Example In the space below, describe any facts that are relevant to the motion or that respond to a court order. Pursuant to 28 u.s.c.§ 1746, i hereby declare as follows: File a declaration in support or as part of a document: “i declare (or certify, verify, or state) under penalty of perjury. If you wish to file a declaration in. Federal Court Declaration Example.
From www.uslegalforms.com
Mc 030 Declaration Example Fill and Sign Printable Template Online Federal Court Declaration Example If executed within the united states, its territories, possessions, or commonwealths: I am the executive director of the american civil liberties union. In the space below, describe any facts that are relevant to the motion or that respond to a court order. File a declaration in support or as part of a document: Declaration i, ___________, do hereby declare: “i. Federal Court Declaration Example.
From www.signnow.com
SAMPLE EXPERT REPORT for USE in FEDERAL COURT EXCERPTED Form Fill Out Federal Court Declaration Example I declare under penalty of perjury under the laws of the united states of america that the foregoing. If you wish to file a declaration in support of or as a part of another. Declaration i, ___________, do hereby declare: You may also refer to and attach any. File a declaration in support or as part of a document: I. Federal Court Declaration Example.
From www.scribd.com
Declaration To Court PDF Oath Of Office Lawsuit Federal Court Declaration Example If executed within the united states, its territories, possessions, or commonwealths: In the space below, describe any facts that are relevant to the motion or that respond to a court order. “i declare (or certify, verify, or state) under penalty of perjury. I declare under penalty of perjury under the laws of the united states of america that the foregoing.. Federal Court Declaration Example.
From www.pdffiller.com
Sample Trial By Written Declaration California Fill Online, Printable Federal Court Declaration Example “i declare (or certify, verify, or state) under penalty of perjury. If you wish to file a declaration in support of or as a part of another. This standard document has integrated drafting notes with. You may also refer to and attach any. A sample declaration that may be used as a template in federal civil litigation. If executed within. Federal Court Declaration Example.
From templatediy.com
Declaration Letter for Court Template in Pdf & Word Federal Court Declaration Example A sample declaration that may be used as a template in federal civil litigation. This standard document has integrated drafting notes with. File a declaration in support or as part of a document: Pursuant to 28 u.s.c.§ 1746, i hereby declare as follows: Declaration i, ___________, do hereby declare: I am the executive director of the american civil liberties union.. Federal Court Declaration Example.
From www.signnow.com
EXPERT WITNESS DECLARATION of Attorney Form Fill Out and Sign Federal Court Declaration Example File a declaration in support or as part of a document: Pursuant to 28 u.s.c.§ 1746, i hereby declare as follows: In the space below, describe any facts that are relevant to the motion or that respond to a court order. If executed within the united states, its territories, possessions, or commonwealths: You may also refer to and attach any.. Federal Court Declaration Example.
From www.civilform.net
Federal Court Form Declaration Under Penalty Of Perjury Civil Civil Federal Court Declaration Example In the space below, describe any facts that are relevant to the motion or that respond to a court order. If you wish to file a declaration in support of or as a part of another. Declaration i, ___________, do hereby declare: If executed within the united states, its territories, possessions, or commonwealths: I am the executive director of the. Federal Court Declaration Example.
From www.scribd.com
Statutory Declaration to Court Common Law Statute Federal Court Declaration Example In the space below, describe any facts that are relevant to the motion or that respond to a court order. A sample declaration that may be used as a template in federal civil litigation. If you wish to file a declaration in support of or as a part of another. I am the executive director of the american civil liberties. Federal Court Declaration Example.
From templates.hilarious.edu.np
Court Declaration Template Federal Court Declaration Example “i declare (or certify, verify, or state) under penalty of perjury. I am the executive director of the american civil liberties union. A sample declaration that may be used as a template in federal civil litigation. I declare under penalty of perjury under the laws of the united states of america that the foregoing. You may also refer to and. Federal Court Declaration Example.
From tucson.com
Court declaration Federal Court Declaration Example If you wish to file a declaration in support of or as a part of another. File a declaration in support or as part of a document: You may also refer to and attach any. In the space below, describe any facts that are relevant to the motion or that respond to a court order. Pursuant to 28 u.s.c.§ 1746,. Federal Court Declaration Example.
From bestlettertemplate.com
4+ Free Declaration Letter Template Format, Sample & Example Federal Court Declaration Example File a declaration in support or as part of a document: This standard document has integrated drafting notes with. If you wish to file a declaration in support of or as a part of another. You may also refer to and attach any. A sample declaration that may be used as a template in federal civil litigation. “i declare (or. Federal Court Declaration Example.
From old.sermitsiaq.ag
Legal Declaration Template Federal Court Declaration Example This standard document has integrated drafting notes with. I am the executive director of the american civil liberties union. A sample declaration that may be used as a template in federal civil litigation. You may also refer to and attach any. File a declaration in support or as part of a document: I declare under penalty of perjury under the. Federal Court Declaration Example.