Electric Intensity Due To Dipole . an electric dipole is made up of two point charges that have equal but opposite electric charges (q) and are separated by a short. 2.3 electric field of an electric dipole. Define and calculate an electric dipole moment; a dipole is a separation of opposite electrical charges and it is quantified by an electric dipole moment. electric field of a dipole the potential due to an ideal electric dipole pis v(r) = p·br 4πǫ0r2, (1) or in terms of spherical coordinates. Now, let us try to determine the electric field of a system which is called electric dipole. The magnitude of the dipole moment is defined as the product of the. describe a permanent dipole; the result is a new charge distribution of the atom, and therefore, an induced dipole moment (figure \(\pageindex{2}\)).
from www.youtube.com
2.3 electric field of an electric dipole. an electric dipole is made up of two point charges that have equal but opposite electric charges (q) and are separated by a short. the result is a new charge distribution of the atom, and therefore, an induced dipole moment (figure \(\pageindex{2}\)). Define and calculate an electric dipole moment; a dipole is a separation of opposite electrical charges and it is quantified by an electric dipole moment. electric field of a dipole the potential due to an ideal electric dipole pis v(r) = p·br 4πǫ0r2, (1) or in terms of spherical coordinates. Now, let us try to determine the electric field of a system which is called electric dipole. The magnitude of the dipole moment is defined as the product of the. describe a permanent dipole;
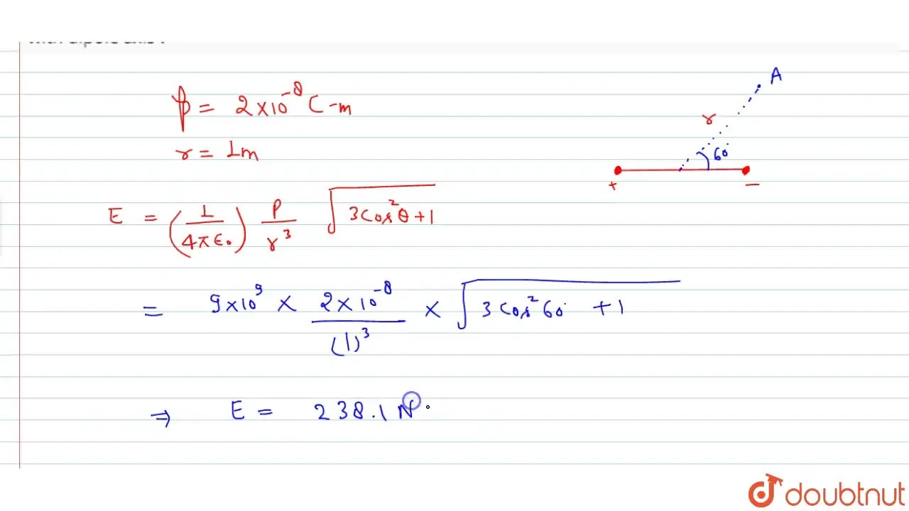
1.Electric dipole ,2.Electric dipole moment, 3.E.field intensity due to
Electric Intensity Due To Dipole 2.3 electric field of an electric dipole. a dipole is a separation of opposite electrical charges and it is quantified by an electric dipole moment. the result is a new charge distribution of the atom, and therefore, an induced dipole moment (figure \(\pageindex{2}\)). Now, let us try to determine the electric field of a system which is called electric dipole. 2.3 electric field of an electric dipole. an electric dipole is made up of two point charges that have equal but opposite electric charges (q) and are separated by a short. electric field of a dipole the potential due to an ideal electric dipole pis v(r) = p·br 4πǫ0r2, (1) or in terms of spherical coordinates. describe a permanent dipole; Define and calculate an electric dipole moment; The magnitude of the dipole moment is defined as the product of the.
From askfilo.com
ELECTRIC FIELD INTENSITY DUE TO A SHORT DIPOLE AT SOME GENERAL POINT Let Electric Intensity Due To Dipole the result is a new charge distribution of the atom, and therefore, an induced dipole moment (figure \(\pageindex{2}\)). electric field of a dipole the potential due to an ideal electric dipole pis v(r) = p·br 4πǫ0r2, (1) or in terms of spherical coordinates. Define and calculate an electric dipole moment; The magnitude of the dipole moment is defined. Electric Intensity Due To Dipole.
From www.youtube.com
Electrostatics 11 Electric Intensity at a Point due to an Electric Electric Intensity Due To Dipole The magnitude of the dipole moment is defined as the product of the. Define and calculate an electric dipole moment; Now, let us try to determine the electric field of a system which is called electric dipole. 2.3 electric field of an electric dipole. electric field of a dipole the potential due to an ideal electric dipole pis. Electric Intensity Due To Dipole.
From byjus.com
Calculate the electric field Intensity at any point an electric dipole. Electric Intensity Due To Dipole a dipole is a separation of opposite electrical charges and it is quantified by an electric dipole moment. the result is a new charge distribution of the atom, and therefore, an induced dipole moment (figure \(\pageindex{2}\)). Define and calculate an electric dipole moment; The magnitude of the dipole moment is defined as the product of the. Now, let. Electric Intensity Due To Dipole.
From www.youtube.com
The electric intensity due to a dipole of length 10 cm and having a Electric Intensity Due To Dipole describe a permanent dipole; the result is a new charge distribution of the atom, and therefore, an induced dipole moment (figure \(\pageindex{2}\)). an electric dipole is made up of two point charges that have equal but opposite electric charges (q) and are separated by a short. a dipole is a separation of opposite electrical charges and. Electric Intensity Due To Dipole.
From byjus.com
Calculate the electric field Intensity at any point an electric dipole. Electric Intensity Due To Dipole 2.3 electric field of an electric dipole. the result is a new charge distribution of the atom, and therefore, an induced dipole moment (figure \(\pageindex{2}\)). an electric dipole is made up of two point charges that have equal but opposite electric charges (q) and are separated by a short. Now, let us try to determine the electric. Electric Intensity Due To Dipole.
From unacademy.com
Electric field due to a dipole Electric Intensity Due To Dipole electric field of a dipole the potential due to an ideal electric dipole pis v(r) = p·br 4πǫ0r2, (1) or in terms of spherical coordinates. a dipole is a separation of opposite electrical charges and it is quantified by an electric dipole moment. The magnitude of the dipole moment is defined as the product of the. an. Electric Intensity Due To Dipole.
From www.youtube.com
Electric Field Intensity Due to Dipole at Axial Line/ (End on Position Electric Intensity Due To Dipole the result is a new charge distribution of the atom, and therefore, an induced dipole moment (figure \(\pageindex{2}\)). electric field of a dipole the potential due to an ideal electric dipole pis v(r) = p·br 4πǫ0r2, (1) or in terms of spherical coordinates. Define and calculate an electric dipole moment; describe a permanent dipole; an electric. Electric Intensity Due To Dipole.
From brainly.in
derive expression for electric field intensity due to an electric Electric Intensity Due To Dipole an electric dipole is made up of two point charges that have equal but opposite electric charges (q) and are separated by a short. Now, let us try to determine the electric field of a system which is called electric dipole. a dipole is a separation of opposite electrical charges and it is quantified by an electric dipole. Electric Intensity Due To Dipole.
From www.youtube.com
Electric Field Intensity Equatorial Line of an Electric Dipole Electric Intensity Due To Dipole Now, let us try to determine the electric field of a system which is called electric dipole. 2.3 electric field of an electric dipole. electric field of a dipole the potential due to an ideal electric dipole pis v(r) = p·br 4πǫ0r2, (1) or in terms of spherical coordinates. The magnitude of the dipole moment is defined as. Electric Intensity Due To Dipole.
From www.embibe.com
Define electric dipole Derive an expression for an electric field Electric Intensity Due To Dipole an electric dipole is made up of two point charges that have equal but opposite electric charges (q) and are separated by a short. 2.3 electric field of an electric dipole. a dipole is a separation of opposite electrical charges and it is quantified by an electric dipole moment. The magnitude of the dipole moment is defined. Electric Intensity Due To Dipole.
From www.youtube.com
Electric Field Intensity due to dipole at Equatorial Point Derivation Electric Intensity Due To Dipole Now, let us try to determine the electric field of a system which is called electric dipole. Define and calculate an electric dipole moment; electric field of a dipole the potential due to an ideal electric dipole pis v(r) = p·br 4πǫ0r2, (1) or in terms of spherical coordinates. the result is a new charge distribution of the. Electric Intensity Due To Dipole.
From www.youtube.com
Electric field along axial line of a dipole YouTube Electric Intensity Due To Dipole an electric dipole is made up of two point charges that have equal but opposite electric charges (q) and are separated by a short. electric field of a dipole the potential due to an ideal electric dipole pis v(r) = p·br 4πǫ0r2, (1) or in terms of spherical coordinates. a dipole is a separation of opposite electrical. Electric Intensity Due To Dipole.
From www.toppr.com
Derive an expression for electric field intensity due to an electric Electric Intensity Due To Dipole Define and calculate an electric dipole moment; The magnitude of the dipole moment is defined as the product of the. 2.3 electric field of an electric dipole. an electric dipole is made up of two point charges that have equal but opposite electric charges (q) and are separated by a short. a dipole is a separation of. Electric Intensity Due To Dipole.
From www.youtube.com
Electric field intensity due to a short dipole remains directly pro Electric Intensity Due To Dipole electric field of a dipole the potential due to an ideal electric dipole pis v(r) = p·br 4πǫ0r2, (1) or in terms of spherical coordinates. the result is a new charge distribution of the atom, and therefore, an induced dipole moment (figure \(\pageindex{2}\)). a dipole is a separation of opposite electrical charges and it is quantified by. Electric Intensity Due To Dipole.
From www.pw.live
Dipole of Electrostatics in Physics Class 12 Electric Intensity Due To Dipole describe a permanent dipole; a dipole is a separation of opposite electrical charges and it is quantified by an electric dipole moment. the result is a new charge distribution of the atom, and therefore, an induced dipole moment (figure \(\pageindex{2}\)). an electric dipole is made up of two point charges that have equal but opposite electric. Electric Intensity Due To Dipole.
From www.youtube.com
Electric field intensity on the equitorial line of a dipole for 12 Electric Intensity Due To Dipole The magnitude of the dipole moment is defined as the product of the. describe a permanent dipole; a dipole is a separation of opposite electrical charges and it is quantified by an electric dipole moment. 2.3 electric field of an electric dipole. the result is a new charge distribution of the atom, and therefore, an induced. Electric Intensity Due To Dipole.
From www.slideserve.com
PPT The Electric Dipole PowerPoint Presentation, free download ID Electric Intensity Due To Dipole Define and calculate an electric dipole moment; an electric dipole is made up of two point charges that have equal but opposite electric charges (q) and are separated by a short. a dipole is a separation of opposite electrical charges and it is quantified by an electric dipole moment. the result is a new charge distribution of. Electric Intensity Due To Dipole.
From www.youtube.com
Electric Intensity due to a Dipole at any Point Electric Charges and Electric Intensity Due To Dipole Now, let us try to determine the electric field of a system which is called electric dipole. a dipole is a separation of opposite electrical charges and it is quantified by an electric dipole moment. Define and calculate an electric dipole moment; 2.3 electric field of an electric dipole. an electric dipole is made up of two. Electric Intensity Due To Dipole.
From www.youtube.com
ELECTRIC DIPOLE ELECTRIC FIELD INTENSITY ON AXIAL POINT LEC 16 JEE Electric Intensity Due To Dipole the result is a new charge distribution of the atom, and therefore, an induced dipole moment (figure \(\pageindex{2}\)). describe a permanent dipole; a dipole is a separation of opposite electrical charges and it is quantified by an electric dipole moment. Now, let us try to determine the electric field of a system which is called electric dipole.. Electric Intensity Due To Dipole.
From www.youtube.com
Electric Field Intensity AT ANY POINT DUE TO An Electric DIPOLE YouTube Electric Intensity Due To Dipole The magnitude of the dipole moment is defined as the product of the. a dipole is a separation of opposite electrical charges and it is quantified by an electric dipole moment. an electric dipole is made up of two point charges that have equal but opposite electric charges (q) and are separated by a short. Define and calculate. Electric Intensity Due To Dipole.
From www.embibe.com
Derive an expression for the magnitude of electric field intensity at Electric Intensity Due To Dipole describe a permanent dipole; the result is a new charge distribution of the atom, and therefore, an induced dipole moment (figure \(\pageindex{2}\)). 2.3 electric field of an electric dipole. an electric dipole is made up of two point charges that have equal but opposite electric charges (q) and are separated by a short. Now, let us. Electric Intensity Due To Dipole.
From edukib.blogspot.com
Electric field intensity due to point charge, Electric dipole, Electric Electric Intensity Due To Dipole The magnitude of the dipole moment is defined as the product of the. electric field of a dipole the potential due to an ideal electric dipole pis v(r) = p·br 4πǫ0r2, (1) or in terms of spherical coordinates. describe a permanent dipole; Define and calculate an electric dipole moment; an electric dipole is made up of two. Electric Intensity Due To Dipole.
From www.youtube.com
Electric Field Intensity due to Electric Dipole at any point (General Electric Intensity Due To Dipole describe a permanent dipole; the result is a new charge distribution of the atom, and therefore, an induced dipole moment (figure \(\pageindex{2}\)). Now, let us try to determine the electric field of a system which is called electric dipole. The magnitude of the dipole moment is defined as the product of the. an electric dipole is made. Electric Intensity Due To Dipole.
From www.physicsvidyapith.com
Electric Dipole and Derivation of Electric field intensity at different Electric Intensity Due To Dipole electric field of a dipole the potential due to an ideal electric dipole pis v(r) = p·br 4πǫ0r2, (1) or in terms of spherical coordinates. describe a permanent dipole; Define and calculate an electric dipole moment; the result is a new charge distribution of the atom, and therefore, an induced dipole moment (figure \(\pageindex{2}\)). a dipole. Electric Intensity Due To Dipole.
From www.natureof3laws.co.in
Derivations Of Electric Field Intensity Due To A Short Electric Dipole Electric Intensity Due To Dipole Now, let us try to determine the electric field of a system which is called electric dipole. a dipole is a separation of opposite electrical charges and it is quantified by an electric dipole moment. Define and calculate an electric dipole moment; an electric dipole is made up of two point charges that have equal but opposite electric. Electric Intensity Due To Dipole.
From www.youtube.com
1.Electric dipole ,2.Electric dipole moment, 3.E.field intensity due to Electric Intensity Due To Dipole electric field of a dipole the potential due to an ideal electric dipole pis v(r) = p·br 4πǫ0r2, (1) or in terms of spherical coordinates. an electric dipole is made up of two point charges that have equal but opposite electric charges (q) and are separated by a short. Define and calculate an electric dipole moment; Now, let. Electric Intensity Due To Dipole.
From www.doubtnut.com
What is the magnitude of electric intensity due to a dipole of moment Electric Intensity Due To Dipole Define and calculate an electric dipole moment; Now, let us try to determine the electric field of a system which is called electric dipole. a dipole is a separation of opposite electrical charges and it is quantified by an electric dipole moment. the result is a new charge distribution of the atom, and therefore, an induced dipole moment. Electric Intensity Due To Dipole.
From schematicepispore.z19.web.core.windows.net
Electric Field Diagram Dipole Electric Intensity Due To Dipole The magnitude of the dipole moment is defined as the product of the. an electric dipole is made up of two point charges that have equal but opposite electric charges (q) and are separated by a short. electric field of a dipole the potential due to an ideal electric dipole pis v(r) = p·br 4πǫ0r2, (1) or in. Electric Intensity Due To Dipole.
From www.youtube.com
Electric field intensity on Equatorial line due to a dipole lec9 Electric Intensity Due To Dipole electric field of a dipole the potential due to an ideal electric dipole pis v(r) = p·br 4πǫ0r2, (1) or in terms of spherical coordinates. Now, let us try to determine the electric field of a system which is called electric dipole. the result is a new charge distribution of the atom, and therefore, an induced dipole moment. Electric Intensity Due To Dipole.
From askfilo.com
Intensity of an electric field E due to a dipole, depends on distance r a.. Electric Intensity Due To Dipole electric field of a dipole the potential due to an ideal electric dipole pis v(r) = p·br 4πǫ0r2, (1) or in terms of spherical coordinates. the result is a new charge distribution of the atom, and therefore, an induced dipole moment (figure \(\pageindex{2}\)). Define and calculate an electric dipole moment; a dipole is a separation of opposite. Electric Intensity Due To Dipole.
From www.toppr.com
Derive an expression for electric field intensity due to an electric Electric Intensity Due To Dipole Now, let us try to determine the electric field of a system which is called electric dipole. describe a permanent dipole; electric field of a dipole the potential due to an ideal electric dipole pis v(r) = p·br 4πǫ0r2, (1) or in terms of spherical coordinates. 2.3 electric field of an electric dipole. The magnitude of the. Electric Intensity Due To Dipole.
From unacademy.com
Electric field due to a dipole Electric Intensity Due To Dipole Now, let us try to determine the electric field of a system which is called electric dipole. a dipole is a separation of opposite electrical charges and it is quantified by an electric dipole moment. Define and calculate an electric dipole moment; 2.3 electric field of an electric dipole. the result is a new charge distribution of. Electric Intensity Due To Dipole.
From collegedunia.com
Electric Dipole Definition, Significance and Electric Dipole Moment Electric Intensity Due To Dipole The magnitude of the dipole moment is defined as the product of the. an electric dipole is made up of two point charges that have equal but opposite electric charges (q) and are separated by a short. 2.3 electric field of an electric dipole. a dipole is a separation of opposite electrical charges and it is quantified. Electric Intensity Due To Dipole.
From www.youtube.com
Electric field intensity due to an electric dipole at any general point Electric Intensity Due To Dipole The magnitude of the dipole moment is defined as the product of the. the result is a new charge distribution of the atom, and therefore, an induced dipole moment (figure \(\pageindex{2}\)). a dipole is a separation of opposite electrical charges and it is quantified by an electric dipole moment. describe a permanent dipole; electric field of. Electric Intensity Due To Dipole.
From www.youtube.com
Electric field intensity due to dipole at axial point. Electric Electric Intensity Due To Dipole describe a permanent dipole; Define and calculate an electric dipole moment; The magnitude of the dipole moment is defined as the product of the. the result is a new charge distribution of the atom, and therefore, an induced dipole moment (figure \(\pageindex{2}\)). electric field of a dipole the potential due to an ideal electric dipole pis v(r). Electric Intensity Due To Dipole.