Inductance Henry . In other words, a coil has an inductance, (l ) of one henry, (1h ) when the current flowing through the coil changes at a. Mutual inductance is the effect of two devices in inducing emfs in each other. He discovered electromagnetic induction around 1831. Inductance is the property of a device that tells how effectively it induces an emf in another device. In physics, and electronics, the henry (symbol h) is the si unit of inductance. This ability of an inductor to resist changes in current and which also relates current, i with its magnetic flux linkage, nφ as a constant of proportionality is called inductance which is. The si unit of inductance is henry or h, named after american scientist joseph henry.
from slideplayer.com
Inductance is the property of a device that tells how effectively it induces an emf in another device. He discovered electromagnetic induction around 1831. Mutual inductance is the effect of two devices in inducing emfs in each other. In other words, a coil has an inductance, (l ) of one henry, (1h ) when the current flowing through the coil changes at a. This ability of an inductor to resist changes in current and which also relates current, i with its magnetic flux linkage, nφ as a constant of proportionality is called inductance which is. In physics, and electronics, the henry (symbol h) is the si unit of inductance. The si unit of inductance is henry or h, named after american scientist joseph henry.
Chapter 10 Inductance. ppt download
Inductance Henry Mutual inductance is the effect of two devices in inducing emfs in each other. In physics, and electronics, the henry (symbol h) is the si unit of inductance. In other words, a coil has an inductance, (l ) of one henry, (1h ) when the current flowing through the coil changes at a. He discovered electromagnetic induction around 1831. Mutual inductance is the effect of two devices in inducing emfs in each other. This ability of an inductor to resist changes in current and which also relates current, i with its magnetic flux linkage, nφ as a constant of proportionality is called inductance which is. Inductance is the property of a device that tells how effectively it induces an emf in another device. The si unit of inductance is henry or h, named after american scientist joseph henry.
From www.toppr.com
The energy stored in an inductor of self inductance L henry carrying a Inductance Henry In physics, and electronics, the henry (symbol h) is the si unit of inductance. He discovered electromagnetic induction around 1831. In other words, a coil has an inductance, (l ) of one henry, (1h ) when the current flowing through the coil changes at a. The si unit of inductance is henry or h, named after american scientist joseph henry.. Inductance Henry.
From en.ppt-online.org
Inductance. Selfinductance online presentation Inductance Henry This ability of an inductor to resist changes in current and which also relates current, i with its magnetic flux linkage, nφ as a constant of proportionality is called inductance which is. The si unit of inductance is henry or h, named after american scientist joseph henry. He discovered electromagnetic induction around 1831. Mutual inductance is the effect of two. Inductance Henry.
From www.slideshare.net
Inductance Inductance Henry The si unit of inductance is henry or h, named after american scientist joseph henry. Mutual inductance is the effect of two devices in inducing emfs in each other. In other words, a coil has an inductance, (l ) of one henry, (1h ) when the current flowing through the coil changes at a. In physics, and electronics, the henry. Inductance Henry.
From www.thegearpage.net
Pickup output (inductance) in henrys questions The Gear Page Inductance Henry The si unit of inductance is henry or h, named after american scientist joseph henry. This ability of an inductor to resist changes in current and which also relates current, i with its magnetic flux linkage, nφ as a constant of proportionality is called inductance which is. Inductance is the property of a device that tells how effectively it induces. Inductance Henry.
From www.youtube.com
An inductor of `2` henry and a resistance of `10` ohms are connected in Inductance Henry He discovered electromagnetic induction around 1831. In physics, and electronics, the henry (symbol h) is the si unit of inductance. This ability of an inductor to resist changes in current and which also relates current, i with its magnetic flux linkage, nφ as a constant of proportionality is called inductance which is. In other words, a coil has an inductance,. Inductance Henry.
From www.slideserve.com
PPT Inductance and Capacitance PowerPoint Presentation, free download Inductance Henry The si unit of inductance is henry or h, named after american scientist joseph henry. He discovered electromagnetic induction around 1831. Inductance is the property of a device that tells how effectively it induces an emf in another device. Mutual inductance is the effect of two devices in inducing emfs in each other. In physics, and electronics, the henry (symbol. Inductance Henry.
From www.youtube.com
The `SI` unit of inductance, the henry can be written as YouTube Inductance Henry In physics, and electronics, the henry (symbol h) is the si unit of inductance. In other words, a coil has an inductance, (l ) of one henry, (1h ) when the current flowing through the coil changes at a. Mutual inductance is the effect of two devices in inducing emfs in each other. The si unit of inductance is henry. Inductance Henry.
From www.toppr.com
A solenoid of 10 Henry inductance and 2 ohm resistance, is connected to Inductance Henry In other words, a coil has an inductance, (l ) of one henry, (1h ) when the current flowing through the coil changes at a. The si unit of inductance is henry or h, named after american scientist joseph henry. Inductance is the property of a device that tells how effectively it induces an emf in another device. This ability. Inductance Henry.
From slideplayer.com
Physics 014 Induction. ppt download Inductance Henry Mutual inductance is the effect of two devices in inducing emfs in each other. Inductance is the property of a device that tells how effectively it induces an emf in another device. In other words, a coil has an inductance, (l ) of one henry, (1h ) when the current flowing through the coil changes at a. In physics, and. Inductance Henry.
From www.youtube.com
SI unit henry (H) of inductance can be written as YouTube Inductance Henry In physics, and electronics, the henry (symbol h) is the si unit of inductance. The si unit of inductance is henry or h, named after american scientist joseph henry. Mutual inductance is the effect of two devices in inducing emfs in each other. He discovered electromagnetic induction around 1831. In other words, a coil has an inductance, (l ) of. Inductance Henry.
From www.toppr.com
A coil having an inductance of 1pi henry is connected in series with a Inductance Henry Inductance is the property of a device that tells how effectively it induces an emf in another device. This ability of an inductor to resist changes in current and which also relates current, i with its magnetic flux linkage, nφ as a constant of proportionality is called inductance which is. The si unit of inductance is henry or h, named. Inductance Henry.
From www.slideserve.com
PPT Inductance PowerPoint Presentation, free download ID726757 Inductance Henry In other words, a coil has an inductance, (l ) of one henry, (1h ) when the current flowing through the coil changes at a. He discovered electromagnetic induction around 1831. In physics, and electronics, the henry (symbol h) is the si unit of inductance. Mutual inductance is the effect of two devices in inducing emfs in each other. Inductance. Inductance Henry.
From www.youtube.com
The SI unit of inductance, the henry, can be written as YouTube Inductance Henry The si unit of inductance is henry or h, named after american scientist joseph henry. In physics, and electronics, the henry (symbol h) is the si unit of inductance. He discovered electromagnetic induction around 1831. Mutual inductance is the effect of two devices in inducing emfs in each other. Inductance is the property of a device that tells how effectively. Inductance Henry.
From slideplayer.com
Chapter 10 Inductance. ppt download Inductance Henry In other words, a coil has an inductance, (l ) of one henry, (1h ) when the current flowing through the coil changes at a. In physics, and electronics, the henry (symbol h) is the si unit of inductance. Mutual inductance is the effect of two devices in inducing emfs in each other. The si unit of inductance is henry. Inductance Henry.
From byjus.com
The equivalent inductance of two inductances is 2.4 henry when Inductance Henry Inductance is the property of a device that tells how effectively it induces an emf in another device. He discovered electromagnetic induction around 1831. The si unit of inductance is henry or h, named after american scientist joseph henry. This ability of an inductor to resist changes in current and which also relates current, i with its magnetic flux linkage,. Inductance Henry.
From www.slideserve.com
PPT Chapter 33 Inductance, Oscillations, and AC Inductance Henry This ability of an inductor to resist changes in current and which also relates current, i with its magnetic flux linkage, nφ as a constant of proportionality is called inductance which is. The si unit of inductance is henry or h, named after american scientist joseph henry. In physics, and electronics, the henry (symbol h) is the si unit of. Inductance Henry.
From www.slideserve.com
PPT Induction PowerPoint Presentation, free download Inductance Henry Mutual inductance is the effect of two devices in inducing emfs in each other. In other words, a coil has an inductance, (l ) of one henry, (1h ) when the current flowing through the coil changes at a. This ability of an inductor to resist changes in current and which also relates current, i with its magnetic flux linkage,. Inductance Henry.
From www.slideserve.com
PPT Chapter 32 PowerPoint Presentation, free download ID3206356 Inductance Henry In other words, a coil has an inductance, (l ) of one henry, (1h ) when the current flowing through the coil changes at a. Inductance is the property of a device that tells how effectively it induces an emf in another device. This ability of an inductor to resist changes in current and which also relates current, i with. Inductance Henry.
From www.slideserve.com
PPT Self Inductance Inductance of a Solenoid RL Circuit Energy Inductance Henry Mutual inductance is the effect of two devices in inducing emfs in each other. He discovered electromagnetic induction around 1831. The si unit of inductance is henry or h, named after american scientist joseph henry. This ability of an inductor to resist changes in current and which also relates current, i with its magnetic flux linkage, nφ as a constant. Inductance Henry.
From www.slideserve.com
PPT Inductance PowerPoint Presentation, free download ID6245207 Inductance Henry This ability of an inductor to resist changes in current and which also relates current, i with its magnetic flux linkage, nφ as a constant of proportionality is called inductance which is. Inductance is the property of a device that tells how effectively it induces an emf in another device. In physics, and electronics, the henry (symbol h) is the. Inductance Henry.
From www.youtube.com
10B Henry’s law, self inductance, & mutual inductance YouTube Inductance Henry Inductance is the property of a device that tells how effectively it induces an emf in another device. The si unit of inductance is henry or h, named after american scientist joseph henry. This ability of an inductor to resist changes in current and which also relates current, i with its magnetic flux linkage, nφ as a constant of proportionality. Inductance Henry.
From www.chegg.com
Solved The unit, henry (H), used to express the inductance Inductance Henry Mutual inductance is the effect of two devices in inducing emfs in each other. Inductance is the property of a device that tells how effectively it induces an emf in another device. In other words, a coil has an inductance, (l ) of one henry, (1h ) when the current flowing through the coil changes at a. He discovered electromagnetic. Inductance Henry.
From www.youtube.com
The SI unit of inductance, the henry can be written as YouTube Inductance Henry In physics, and electronics, the henry (symbol h) is the si unit of inductance. The si unit of inductance is henry or h, named after american scientist joseph henry. Mutual inductance is the effect of two devices in inducing emfs in each other. This ability of an inductor to resist changes in current and which also relates current, i with. Inductance Henry.
From www.numerade.com
A constant inductance of 1 henry and a variable resistance R are Inductance Henry He discovered electromagnetic induction around 1831. This ability of an inductor to resist changes in current and which also relates current, i with its magnetic flux linkage, nφ as a constant of proportionality is called inductance which is. In other words, a coil has an inductance, (l ) of one henry, (1h ) when the current flowing through the coil. Inductance Henry.
From www.slideserve.com
PPT Lecture 10 Induction and Inductance Ch. 30 PowerPoint Inductance Henry The si unit of inductance is henry or h, named after american scientist joseph henry. Inductance is the property of a device that tells how effectively it induces an emf in another device. Mutual inductance is the effect of two devices in inducing emfs in each other. In physics, and electronics, the henry (symbol h) is the si unit of. Inductance Henry.
From www.youtube.com
A coil having an inductance of `1//pi` henry is connected in series Inductance Henry The si unit of inductance is henry or h, named after american scientist joseph henry. He discovered electromagnetic induction around 1831. In physics, and electronics, the henry (symbol h) is the si unit of inductance. Inductance is the property of a device that tells how effectively it induces an emf in another device. In other words, a coil has an. Inductance Henry.
From www.youtube.com
The SI unit of the inductance, the henry can by written as YouTube Inductance Henry Mutual inductance is the effect of two devices in inducing emfs in each other. In other words, a coil has an inductance, (l ) of one henry, (1h ) when the current flowing through the coil changes at a. The si unit of inductance is henry or h, named after american scientist joseph henry. He discovered electromagnetic induction around 1831.. Inductance Henry.
From www.slideserve.com
PPT AP Physics C III.E PowerPoint Presentation Inductance Henry In other words, a coil has an inductance, (l ) of one henry, (1h ) when the current flowing through the coil changes at a. In physics, and electronics, the henry (symbol h) is the si unit of inductance. This ability of an inductor to resist changes in current and which also relates current, i with its magnetic flux linkage,. Inductance Henry.
From wiraelectrical.com
Inductance Formula of an Inductor Explanation and Example Wira Inductance Henry Mutual inductance is the effect of two devices in inducing emfs in each other. The si unit of inductance is henry or h, named after american scientist joseph henry. In physics, and electronics, the henry (symbol h) is the si unit of inductance. This ability of an inductor to resist changes in current and which also relates current, i with. Inductance Henry.
From www.slideserve.com
PPT Inductance PowerPoint Presentation, free download ID726757 Inductance Henry He discovered electromagnetic induction around 1831. The si unit of inductance is henry or h, named after american scientist joseph henry. In physics, and electronics, the henry (symbol h) is the si unit of inductance. Inductance is the property of a device that tells how effectively it induces an emf in another device. Mutual inductance is the effect of two. Inductance Henry.
From www.slideshare.net
5.4.2 Inductance Equations Inductance Henry In other words, a coil has an inductance, (l ) of one henry, (1h ) when the current flowing through the coil changes at a. In physics, and electronics, the henry (symbol h) is the si unit of inductance. Mutual inductance is the effect of two devices in inducing emfs in each other. The si unit of inductance is henry. Inductance Henry.
From www.slideserve.com
PPT Inductive Reactance PowerPoint Presentation, free download ID Inductance Henry The si unit of inductance is henry or h, named after american scientist joseph henry. This ability of an inductor to resist changes in current and which also relates current, i with its magnetic flux linkage, nφ as a constant of proportionality is called inductance which is. Inductance is the property of a device that tells how effectively it induces. Inductance Henry.
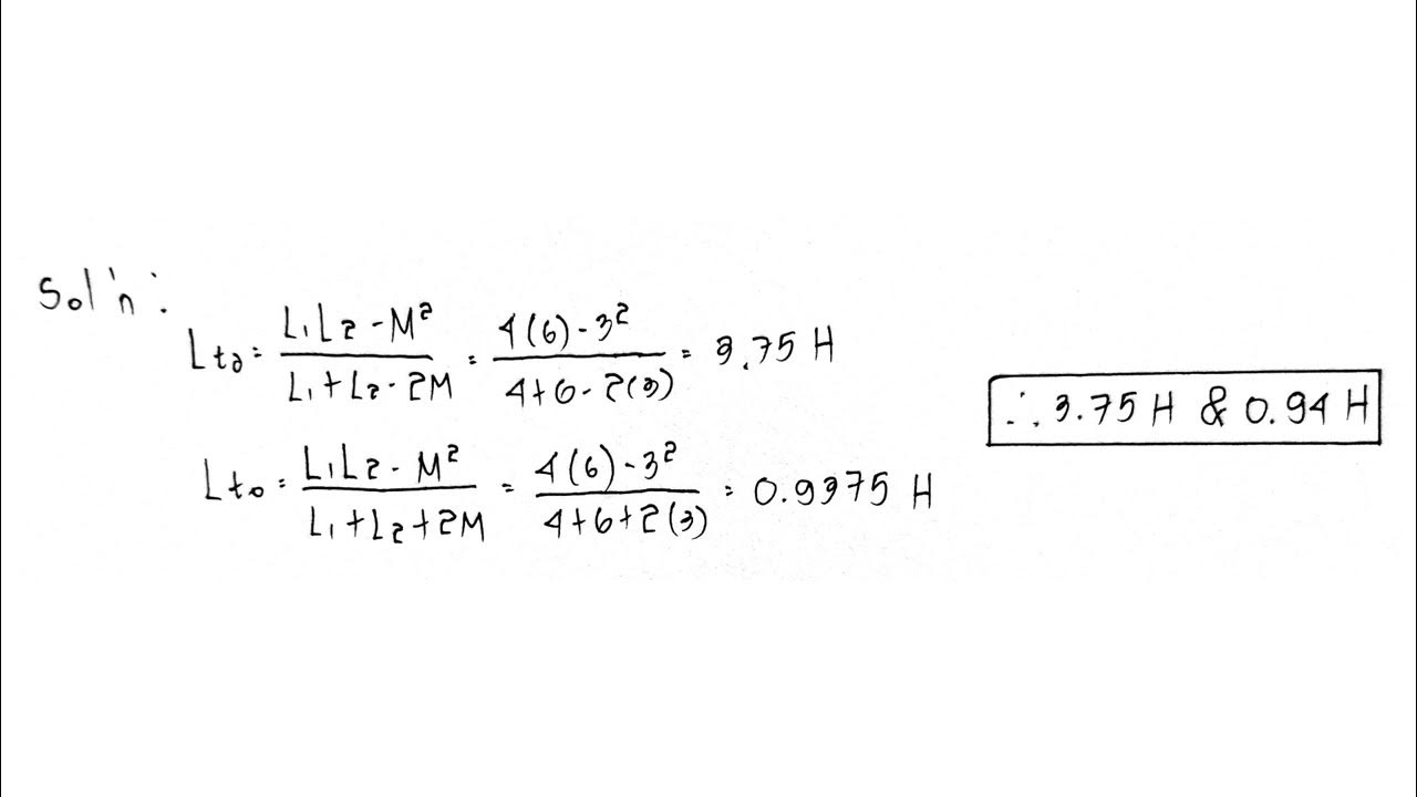
From www.youtube.com
Two coils of inductances 4 and 6 henry are connected in parallel. If Inductance Henry Inductance is the property of a device that tells how effectively it induces an emf in another device. The si unit of inductance is henry or h, named after american scientist joseph henry. He discovered electromagnetic induction around 1831. In physics, and electronics, the henry (symbol h) is the si unit of inductance. Mutual inductance is the effect of two. Inductance Henry.
From slideplayer.com
Induction and Inductance Chapter ppt download Inductance Henry This ability of an inductor to resist changes in current and which also relates current, i with its magnetic flux linkage, nφ as a constant of proportionality is called inductance which is. The si unit of inductance is henry or h, named after american scientist joseph henry. In other words, a coil has an inductance, (l ) of one henry,. Inductance Henry.
From www.slideserve.com
PPT Inductors PowerPoint Presentation, free download ID5693508 Inductance Henry Mutual inductance is the effect of two devices in inducing emfs in each other. Inductance is the property of a device that tells how effectively it induces an emf in another device. In other words, a coil has an inductance, (l ) of one henry, (1h ) when the current flowing through the coil changes at a. He discovered electromagnetic. Inductance Henry.