Magnification Equation Calculator Height . Our thins lens equation calculator can obtain the image distance of any object after being refracted by a lens of known focal length. The magnification equation, m = i / o, gives the ratio of the image height to the object height. You can use this tool find position of the final image formed by the combination of the two lenses, and magnification of the final image. Plug your data into the formula and. Our mirror equation calculator makes it easy to determine the unknown variable among the distances of the object and image. Learn how to calculate the magnification of a lens with our tool, using the lens magnification formula for precise results. The magnification produced by a lens can be calculated using the equation: The focal length calculator allows you to compute magnification, angle of view as well as the focal length needed for a picture of a distant object. The lens equation, 1 / o + 1 / i = 1 / f,. Magnification = the height of the image ÷ by the height of the object. To calculate magnification, use the following formula:
from www.geeksforgeeks.org
Our mirror equation calculator makes it easy to determine the unknown variable among the distances of the object and image. The magnification produced by a lens can be calculated using the equation: To calculate magnification, use the following formula: The focal length calculator allows you to compute magnification, angle of view as well as the focal length needed for a picture of a distant object. Learn how to calculate the magnification of a lens with our tool, using the lens magnification formula for precise results. Magnification = the height of the image ÷ by the height of the object. The lens equation, 1 / o + 1 / i = 1 / f,. Plug your data into the formula and. You can use this tool find position of the final image formed by the combination of the two lenses, and magnification of the final image. Our thins lens equation calculator can obtain the image distance of any object after being refracted by a lens of known focal length.
What is Lens Formula and Magnification?
Magnification Equation Calculator Height Learn how to calculate the magnification of a lens with our tool, using the lens magnification formula for precise results. The lens equation, 1 / o + 1 / i = 1 / f,. The magnification equation, m = i / o, gives the ratio of the image height to the object height. The magnification produced by a lens can be calculated using the equation: Magnification = the height of the image ÷ by the height of the object. Our thins lens equation calculator can obtain the image distance of any object after being refracted by a lens of known focal length. The focal length calculator allows you to compute magnification, angle of view as well as the focal length needed for a picture of a distant object. Learn how to calculate the magnification of a lens with our tool, using the lens magnification formula for precise results. Plug your data into the formula and. To calculate magnification, use the following formula: Our mirror equation calculator makes it easy to determine the unknown variable among the distances of the object and image. You can use this tool find position of the final image formed by the combination of the two lenses, and magnification of the final image.
From calcverter.blogspot.com
CalcVerter Magnification Calculator Microscope Telescope Optical Image Magnification Equation Calculator Height The lens equation, 1 / o + 1 / i = 1 / f,. The magnification produced by a lens can be calculated using the equation: Our mirror equation calculator makes it easy to determine the unknown variable among the distances of the object and image. The magnification equation, m = i / o, gives the ratio of the image. Magnification Equation Calculator Height.
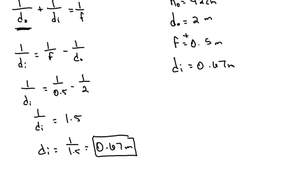
From www.teachoo.com
Mirror Formula with Solved Numericals Class 10 Teachoo Magnification Equation Calculator Height The lens equation, 1 / o + 1 / i = 1 / f,. Learn how to calculate the magnification of a lens with our tool, using the lens magnification formula for precise results. To calculate magnification, use the following formula: The magnification equation, m = i / o, gives the ratio of the image height to the object height.. Magnification Equation Calculator Height.
From www.youtube.com
How to calculate Magnification of Microscope using Magnification Magnification Equation Calculator Height Plug your data into the formula and. Learn how to calculate the magnification of a lens with our tool, using the lens magnification formula for precise results. You can use this tool find position of the final image formed by the combination of the two lenses, and magnification of the final image. Our thins lens equation calculator can obtain the. Magnification Equation Calculator Height.
From slidetodoc.com
Magnification Calculate true size image size and magnification Magnification Equation Calculator Height Plug your data into the formula and. The magnification equation, m = i / o, gives the ratio of the image height to the object height. To calculate magnification, use the following formula: You can use this tool find position of the final image formed by the combination of the two lenses, and magnification of the final image. Our mirror. Magnification Equation Calculator Height.
From slideplayer.com
Light and Geometric Optics ppt download Magnification Equation Calculator Height The magnification produced by a lens can be calculated using the equation: The lens equation, 1 / o + 1 / i = 1 / f,. The focal length calculator allows you to compute magnification, angle of view as well as the focal length needed for a picture of a distant object. Magnification = the height of the image ÷. Magnification Equation Calculator Height.
From slideplayer.com
Mirror and Magnification Equations ppt video online download Magnification Equation Calculator Height The lens equation, 1 / o + 1 / i = 1 / f,. The focal length calculator allows you to compute magnification, angle of view as well as the focal length needed for a picture of a distant object. You can use this tool find position of the final image formed by the combination of the two lenses, and. Magnification Equation Calculator Height.
From slideplayer.com
MIRROR EQUATIONS. ppt download Magnification Equation Calculator Height The magnification produced by a lens can be calculated using the equation: Our mirror equation calculator makes it easy to determine the unknown variable among the distances of the object and image. To calculate magnification, use the following formula: The focal length calculator allows you to compute magnification, angle of view as well as the focal length needed for a. Magnification Equation Calculator Height.
From www.youtube.com
Physics 7.3.6.3 Determining the magnification and height of a reflected Magnification Equation Calculator Height The lens equation, 1 / o + 1 / i = 1 / f,. To calculate magnification, use the following formula: The magnification produced by a lens can be calculated using the equation: Magnification = the height of the image ÷ by the height of the object. Learn how to calculate the magnification of a lens with our tool, using. Magnification Equation Calculator Height.
From www.geeksforgeeks.org
What is Lens Formula and Magnification? Magnification Equation Calculator Height Our mirror equation calculator makes it easy to determine the unknown variable among the distances of the object and image. Learn how to calculate the magnification of a lens with our tool, using the lens magnification formula for precise results. The focal length calculator allows you to compute magnification, angle of view as well as the focal length needed for. Magnification Equation Calculator Height.
From www.wikihow.com
How to Calculate Magnification 12 Steps (with Pictures) wikiHow Magnification Equation Calculator Height To calculate magnification, use the following formula: You can use this tool find position of the final image formed by the combination of the two lenses, and magnification of the final image. Learn how to calculate the magnification of a lens with our tool, using the lens magnification formula for precise results. The magnification produced by a lens can be. Magnification Equation Calculator Height.
From quizfert.blogg.se
quizfert.blogg.se Height formula physics calculator Magnification Equation Calculator Height Our mirror equation calculator makes it easy to determine the unknown variable among the distances of the object and image. The magnification produced by a lens can be calculated using the equation: You can use this tool find position of the final image formed by the combination of the two lenses, and magnification of the final image. The lens equation,. Magnification Equation Calculator Height.
From www.slideserve.com
PPT Thin Lens PowerPoint Presentation, free download ID2493443 Magnification Equation Calculator Height Our mirror equation calculator makes it easy to determine the unknown variable among the distances of the object and image. Learn how to calculate the magnification of a lens with our tool, using the lens magnification formula for precise results. The magnification equation, m = i / o, gives the ratio of the image height to the object height. To. Magnification Equation Calculator Height.
From www.wikihow.com
How to Calculate Magnification 12 Steps (with Pictures) wikiHow Magnification Equation Calculator Height Our thins lens equation calculator can obtain the image distance of any object after being refracted by a lens of known focal length. The magnification produced by a lens can be calculated using the equation: Learn how to calculate the magnification of a lens with our tool, using the lens magnification formula for precise results. Magnification = the height of. Magnification Equation Calculator Height.
From studylib.net
Magnification and Mirror Equation Magnification Equation Calculator Height The focal length calculator allows you to compute magnification, angle of view as well as the focal length needed for a picture of a distant object. Our mirror equation calculator makes it easy to determine the unknown variable among the distances of the object and image. Magnification = the height of the image ÷ by the height of the object.. Magnification Equation Calculator Height.
From socratic.org
Question 8efec Socratic Magnification Equation Calculator Height Plug your data into the formula and. Magnification = the height of the image ÷ by the height of the object. To calculate magnification, use the following formula: The lens equation, 1 / o + 1 / i = 1 / f,. The magnification produced by a lens can be calculated using the equation: The focal length calculator allows you. Magnification Equation Calculator Height.
From quizrapturised.z4.web.core.windows.net
Magnification Formula For Lens And Mirror Magnification Equation Calculator Height The focal length calculator allows you to compute magnification, angle of view as well as the focal length needed for a picture of a distant object. Our thins lens equation calculator can obtain the image distance of any object after being refracted by a lens of known focal length. Our mirror equation calculator makes it easy to determine the unknown. Magnification Equation Calculator Height.
From www.youtube.com
Calculating sizes using magnification YouTube Magnification Equation Calculator Height The magnification produced by a lens can be calculated using the equation: The magnification equation, m = i / o, gives the ratio of the image height to the object height. Our mirror equation calculator makes it easy to determine the unknown variable among the distances of the object and image. To calculate magnification, use the following formula: Magnification =. Magnification Equation Calculator Height.
From www.teachoo.com
Lens Formula and Magnification Formula with Numericals Class 10 Magnification Equation Calculator Height Plug your data into the formula and. To calculate magnification, use the following formula: Our thins lens equation calculator can obtain the image distance of any object after being refracted by a lens of known focal length. The focal length calculator allows you to compute magnification, angle of view as well as the focal length needed for a picture of. Magnification Equation Calculator Height.
From studylib.net
Mirror and Magnification Equations Magnification Equation Calculator Height The focal length calculator allows you to compute magnification, angle of view as well as the focal length needed for a picture of a distant object. The magnification produced by a lens can be calculated using the equation: To calculate magnification, use the following formula: You can use this tool find position of the final image formed by the combination. Magnification Equation Calculator Height.
From www.wikihow.com
How to Calculate Magnification 12 Steps (with Pictures) wikiHow Magnification Equation Calculator Height The magnification equation, m = i / o, gives the ratio of the image height to the object height. Plug your data into the formula and. Learn how to calculate the magnification of a lens with our tool, using the lens magnification formula for precise results. The focal length calculator allows you to compute magnification, angle of view as well. Magnification Equation Calculator Height.
From www.wikihow.com
How to Calculate Magnification 12 Steps (with Pictures) wikiHow Magnification Equation Calculator Height Plug your data into the formula and. You can use this tool find position of the final image formed by the combination of the two lenses, and magnification of the final image. To calculate magnification, use the following formula: The magnification produced by a lens can be calculated using the equation: Magnification = the height of the image ÷ by. Magnification Equation Calculator Height.
From slideplayer.com
Reflection and Refraction of Light ppt download Magnification Equation Calculator Height The lens equation, 1 / o + 1 / i = 1 / f,. You can use this tool find position of the final image formed by the combination of the two lenses, and magnification of the final image. The focal length calculator allows you to compute magnification, angle of view as well as the focal length needed for a. Magnification Equation Calculator Height.
From www.wikihow.com
How to Calculate Magnification 12 Steps (with Pictures) wikiHow Magnification Equation Calculator Height Magnification = the height of the image ÷ by the height of the object. You can use this tool find position of the final image formed by the combination of the two lenses, and magnification of the final image. Our mirror equation calculator makes it easy to determine the unknown variable among the distances of the object and image. To. Magnification Equation Calculator Height.
From mungfali.com
Microscope Magnification Calculation Magnification Equation Calculator Height Plug your data into the formula and. The magnification produced by a lens can be calculated using the equation: Learn how to calculate the magnification of a lens with our tool, using the lens magnification formula for precise results. The magnification equation, m = i / o, gives the ratio of the image height to the object height. The focal. Magnification Equation Calculator Height.
From www.wikihow.com
How to Calculate Magnification 12 Steps (with Pictures) wikiHow Magnification Equation Calculator Height The magnification produced by a lens can be calculated using the equation: Learn how to calculate the magnification of a lens with our tool, using the lens magnification formula for precise results. Magnification = the height of the image ÷ by the height of the object. The lens equation, 1 / o + 1 / i = 1 / f,.. Magnification Equation Calculator Height.
From www.sliderbase.com
Curved Mirrors Presentation Physics Magnification Equation Calculator Height The magnification equation, m = i / o, gives the ratio of the image height to the object height. Our mirror equation calculator makes it easy to determine the unknown variable among the distances of the object and image. The focal length calculator allows you to compute magnification, angle of view as well as the focal length needed for a. Magnification Equation Calculator Height.
From quizrapturised.z4.web.core.windows.net
Magnification Formula For Lens And Mirror Magnification Equation Calculator Height You can use this tool find position of the final image formed by the combination of the two lenses, and magnification of the final image. Our thins lens equation calculator can obtain the image distance of any object after being refracted by a lens of known focal length. To calculate magnification, use the following formula: Learn how to calculate the. Magnification Equation Calculator Height.
From www.toppr.com
Write down the magnification formula for a lens in terms of object Magnification Equation Calculator Height Our mirror equation calculator makes it easy to determine the unknown variable among the distances of the object and image. To calculate magnification, use the following formula: Magnification = the height of the image ÷ by the height of the object. You can use this tool find position of the final image formed by the combination of the two lenses,. Magnification Equation Calculator Height.
From www.slideserve.com
PPT Chapter 33 Lenses and Optical Instruments PowerPoint Presentation Magnification Equation Calculator Height Learn how to calculate the magnification of a lens with our tool, using the lens magnification formula for precise results. Our thins lens equation calculator can obtain the image distance of any object after being refracted by a lens of known focal length. The focal length calculator allows you to compute magnification, angle of view as well as the focal. Magnification Equation Calculator Height.
From www.teachoo.com
Mirror Formula with Solved Numericals Class 10 Teachoo Magnification Equation Calculator Height Plug your data into the formula and. The focal length calculator allows you to compute magnification, angle of view as well as the focal length needed for a picture of a distant object. The magnification equation, m = i / o, gives the ratio of the image height to the object height. Magnification = the height of the image ÷. Magnification Equation Calculator Height.
From www.numerade.com
SOLVEDCalculate Use the mirror equation and the magnification equation Magnification Equation Calculator Height Plug your data into the formula and. The magnification produced by a lens can be calculated using the equation: The magnification equation, m = i / o, gives the ratio of the image height to the object height. Our thins lens equation calculator can obtain the image distance of any object after being refracted by a lens of known focal. Magnification Equation Calculator Height.
From www.wikihow.com
How to Calculate Magnification 12 Steps (with Pictures) wikiHow Magnification Equation Calculator Height Our thins lens equation calculator can obtain the image distance of any object after being refracted by a lens of known focal length. The magnification produced by a lens can be calculated using the equation: You can use this tool find position of the final image formed by the combination of the two lenses, and magnification of the final image.. Magnification Equation Calculator Height.
From edurev.in
Formula for linear magnification.? EduRev Class 10 Question Magnification Equation Calculator Height Our mirror equation calculator makes it easy to determine the unknown variable among the distances of the object and image. The magnification equation, m = i / o, gives the ratio of the image height to the object height. Plug your data into the formula and. Magnification = the height of the image ÷ by the height of the object.. Magnification Equation Calculator Height.
From www.thetechedvocate.org
How to calculate magnification The Tech Edvocate Magnification Equation Calculator Height Magnification = the height of the image ÷ by the height of the object. The magnification equation, m = i / o, gives the ratio of the image height to the object height. The lens equation, 1 / o + 1 / i = 1 / f,. The magnification produced by a lens can be calculated using the equation: Our. Magnification Equation Calculator Height.
From jessbiologyrevision.blogspot.com
ALevel Biology Linear Magnification Magnification Equation Calculator Height You can use this tool find position of the final image formed by the combination of the two lenses, and magnification of the final image. The focal length calculator allows you to compute magnification, angle of view as well as the focal length needed for a picture of a distant object. Learn how to calculate the magnification of a lens. Magnification Equation Calculator Height.