How To Calculate Density Of A Ball . This free density calculator determines any of the three variables in the density equation given the other two. Enter the mass of the sphere and it's radius into the calculator to determine the density of that. To calculate the density of a sphere, determine its mass, then measure its radius and use the expression (4/3)πr^3 to find. Dive into the world of sphere density with the sphere density calculator. A density of a sphere is a measure of the mass per unit volume of a sphere. The density calculator will help you estimate the relationship between the weight and volume of an object. Density (p) is equal to mass (m) divided by volume (v). To calculate an object's density, you need to know the object's mass and volume. Density is the measurement of the amount of mass per unit of volume. The formula for calculating density is ρ = m/v, where p is the density, m is the mass and v is the volume. This value, called density, is one of the most important physical. Calculate density for solid, hollow, and composite spheres, explore.
from ar.inspiredpencil.com
Enter the mass of the sphere and it's radius into the calculator to determine the density of that. To calculate the density of a sphere, determine its mass, then measure its radius and use the expression (4/3)πr^3 to find. This free density calculator determines any of the three variables in the density equation given the other two. Density (p) is equal to mass (m) divided by volume (v). Calculate density for solid, hollow, and composite spheres, explore. The density calculator will help you estimate the relationship between the weight and volume of an object. Dive into the world of sphere density with the sphere density calculator. This value, called density, is one of the most important physical. A density of a sphere is a measure of the mass per unit volume of a sphere. The formula for calculating density is ρ = m/v, where p is the density, m is the mass and v is the volume.
A Sphere Formula For Density
How To Calculate Density Of A Ball Density is the measurement of the amount of mass per unit of volume. To calculate an object's density, you need to know the object's mass and volume. A density of a sphere is a measure of the mass per unit volume of a sphere. The formula for calculating density is ρ = m/v, where p is the density, m is the mass and v is the volume. This free density calculator determines any of the three variables in the density equation given the other two. Enter the mass of the sphere and it's radius into the calculator to determine the density of that. Density is the measurement of the amount of mass per unit of volume. The density calculator will help you estimate the relationship between the weight and volume of an object. Calculate density for solid, hollow, and composite spheres, explore. Density (p) is equal to mass (m) divided by volume (v). Dive into the world of sphere density with the sphere density calculator. This value, called density, is one of the most important physical. To calculate the density of a sphere, determine its mass, then measure its radius and use the expression (4/3)πr^3 to find.
From byjus.com
A metal ball of material density 7800 kg/m3 issuspected to have a large How To Calculate Density Of A Ball This free density calculator determines any of the three variables in the density equation given the other two. A density of a sphere is a measure of the mass per unit volume of a sphere. This value, called density, is one of the most important physical. To calculate the density of a sphere, determine its mass, then measure its radius. How To Calculate Density Of A Ball.
From sherilukasz.blogspot.com
Chemical density calculator SheriLukasz How To Calculate Density Of A Ball Calculate density for solid, hollow, and composite spheres, explore. The formula for calculating density is ρ = m/v, where p is the density, m is the mass and v is the volume. To calculate an object's density, you need to know the object's mass and volume. This value, called density, is one of the most important physical. Dive into the. How To Calculate Density Of A Ball.
From byjus.com
The density of a solid ball is to be determined in an experiment. The How To Calculate Density Of A Ball Density is the measurement of the amount of mass per unit of volume. Enter the mass of the sphere and it's radius into the calculator to determine the density of that. Density (p) is equal to mass (m) divided by volume (v). To calculate an object's density, you need to know the object's mass and volume. To calculate the density. How To Calculate Density Of A Ball.
From physics-with-kashifjamal.blogspot.com
Topical Learning and Revision of Physics 5054..determine DENSITY How To Calculate Density Of A Ball The density calculator will help you estimate the relationship between the weight and volume of an object. To calculate the density of a sphere, determine its mass, then measure its radius and use the expression (4/3)πr^3 to find. A density of a sphere is a measure of the mass per unit volume of a sphere. Dive into the world of. How To Calculate Density Of A Ball.
From scienceprojectideasforkids.com
DensityOcean Currents VanCleave's Science Fun How To Calculate Density Of A Ball To calculate the density of a sphere, determine its mass, then measure its radius and use the expression (4/3)πr^3 to find. The formula for calculating density is ρ = m/v, where p is the density, m is the mass and v is the volume. This value, called density, is one of the most important physical. Calculate density for solid, hollow,. How To Calculate Density Of A Ball.
From www.youtube.com
How to Calculate the Radius of a Sphere Using the Density Formula YouTube How To Calculate Density Of A Ball The formula for calculating density is ρ = m/v, where p is the density, m is the mass and v is the volume. Calculate density for solid, hollow, and composite spheres, explore. Dive into the world of sphere density with the sphere density calculator. Density is the measurement of the amount of mass per unit of volume. A density of. How To Calculate Density Of A Ball.
From byjus.com
A wooden ball of density D is immersed in water of density d to a depth How To Calculate Density Of A Ball Enter the mass of the sphere and it's radius into the calculator to determine the density of that. Calculate density for solid, hollow, and composite spheres, explore. To calculate the density of a sphere, determine its mass, then measure its radius and use the expression (4/3)πr^3 to find. The density calculator will help you estimate the relationship between the weight. How To Calculate Density Of A Ball.
From ar.inspiredpencil.com
A Sphere Formula For Density How To Calculate Density Of A Ball The formula for calculating density is ρ = m/v, where p is the density, m is the mass and v is the volume. To calculate the density of a sphere, determine its mass, then measure its radius and use the expression (4/3)πr^3 to find. The density calculator will help you estimate the relationship between the weight and volume of an. How To Calculate Density Of A Ball.
From www.wikihow.com
How to Calculate the Mass of a Sphere 13 Steps (with Pictures) How To Calculate Density Of A Ball Calculate density for solid, hollow, and composite spheres, explore. This free density calculator determines any of the three variables in the density equation given the other two. To calculate an object's density, you need to know the object's mass and volume. Density (p) is equal to mass (m) divided by volume (v). Dive into the world of sphere density with. How To Calculate Density Of A Ball.
From www.nagwa.com
Question Video Solving Problems Involving Density Calculations Nagwa How To Calculate Density Of A Ball A density of a sphere is a measure of the mass per unit volume of a sphere. To calculate the density of a sphere, determine its mass, then measure its radius and use the expression (4/3)πr^3 to find. This free density calculator determines any of the three variables in the density equation given the other two. Enter the mass of. How To Calculate Density Of A Ball.
From www.wikihow.com
How to Calculate the Mass of a Sphere 13 Steps (with Pictures) How To Calculate Density Of A Ball Density is the measurement of the amount of mass per unit of volume. To calculate an object's density, you need to know the object's mass and volume. This value, called density, is one of the most important physical. Density (p) is equal to mass (m) divided by volume (v). This free density calculator determines any of the three variables in. How To Calculate Density Of A Ball.
From lannaballena.blogspot.com
Sphere density calculator LannaBallena How To Calculate Density Of A Ball A density of a sphere is a measure of the mass per unit volume of a sphere. The formula for calculating density is ρ = m/v, where p is the density, m is the mass and v is the volume. To calculate an object's density, you need to know the object's mass and volume. This free density calculator determines any. How To Calculate Density Of A Ball.
From www.nagwa.com
Question Video Finding the Diameter of a Sphere given Its Mass and How To Calculate Density Of A Ball To calculate the density of a sphere, determine its mass, then measure its radius and use the expression (4/3)πr^3 to find. Density (p) is equal to mass (m) divided by volume (v). To calculate an object's density, you need to know the object's mass and volume. The density calculator will help you estimate the relationship between the weight and volume. How To Calculate Density Of A Ball.
From www.youtube.com
A sphere is just immersed in a liquid. Find the ratio of hydrostatic How To Calculate Density Of A Ball This value, called density, is one of the most important physical. The formula for calculating density is ρ = m/v, where p is the density, m is the mass and v is the volume. Dive into the world of sphere density with the sphere density calculator. Density (p) is equal to mass (m) divided by volume (v). Density is the. How To Calculate Density Of A Ball.
From www.youtube.com
Calculate the average density of earth in terms of g, G and R. YouTube How To Calculate Density Of A Ball A density of a sphere is a measure of the mass per unit volume of a sphere. To calculate the density of a sphere, determine its mass, then measure its radius and use the expression (4/3)πr^3 to find. This free density calculator determines any of the three variables in the density equation given the other two. Enter the mass of. How To Calculate Density Of A Ball.
From www.vrogue.co
Density Formula How To Calculate Density vrogue.co How To Calculate Density Of A Ball Enter the mass of the sphere and it's radius into the calculator to determine the density of that. To calculate an object's density, you need to know the object's mass and volume. Dive into the world of sphere density with the sphere density calculator. Calculate density for solid, hollow, and composite spheres, explore. Density is the measurement of the amount. How To Calculate Density Of A Ball.
From byjus.com
A ball of density 0.5g/cm3 is released from the bottom of a cylindrical How To Calculate Density Of A Ball The density calculator will help you estimate the relationship between the weight and volume of an object. Enter the mass of the sphere and it's radius into the calculator to determine the density of that. The formula for calculating density is ρ = m/v, where p is the density, m is the mass and v is the volume. To calculate. How To Calculate Density Of A Ball.
From www.slideserve.com
PPT Volume and Density PowerPoint Presentation, free download ID How To Calculate Density Of A Ball Dive into the world of sphere density with the sphere density calculator. This free density calculator determines any of the three variables in the density equation given the other two. The density calculator will help you estimate the relationship between the weight and volume of an object. Density (p) is equal to mass (m) divided by volume (v). Enter the. How To Calculate Density Of A Ball.
From kunduz.com
[ANSWERED] 7 A wooden ball of density D is immersed in water of How To Calculate Density Of A Ball Density (p) is equal to mass (m) divided by volume (v). To calculate the density of a sphere, determine its mass, then measure its radius and use the expression (4/3)πr^3 to find. Calculate density for solid, hollow, and composite spheres, explore. This value, called density, is one of the most important physical. To calculate an object's density, you need to. How To Calculate Density Of A Ball.
From www.wikihow.com
How to Find Density 8 Steps (with Pictures) wikiHow How To Calculate Density Of A Ball Calculate density for solid, hollow, and composite spheres, explore. Enter the mass of the sphere and it's radius into the calculator to determine the density of that. To calculate an object's density, you need to know the object's mass and volume. A density of a sphere is a measure of the mass per unit volume of a sphere. This value,. How To Calculate Density Of A Ball.
From kunduz.com
[ANSWERED] Consider the system shown in the figure A ball of density o How To Calculate Density Of A Ball Density is the measurement of the amount of mass per unit of volume. Calculate density for solid, hollow, and composite spheres, explore. Enter the mass of the sphere and it's radius into the calculator to determine the density of that. The density calculator will help you estimate the relationship between the weight and volume of an object. The formula for. How To Calculate Density Of A Ball.
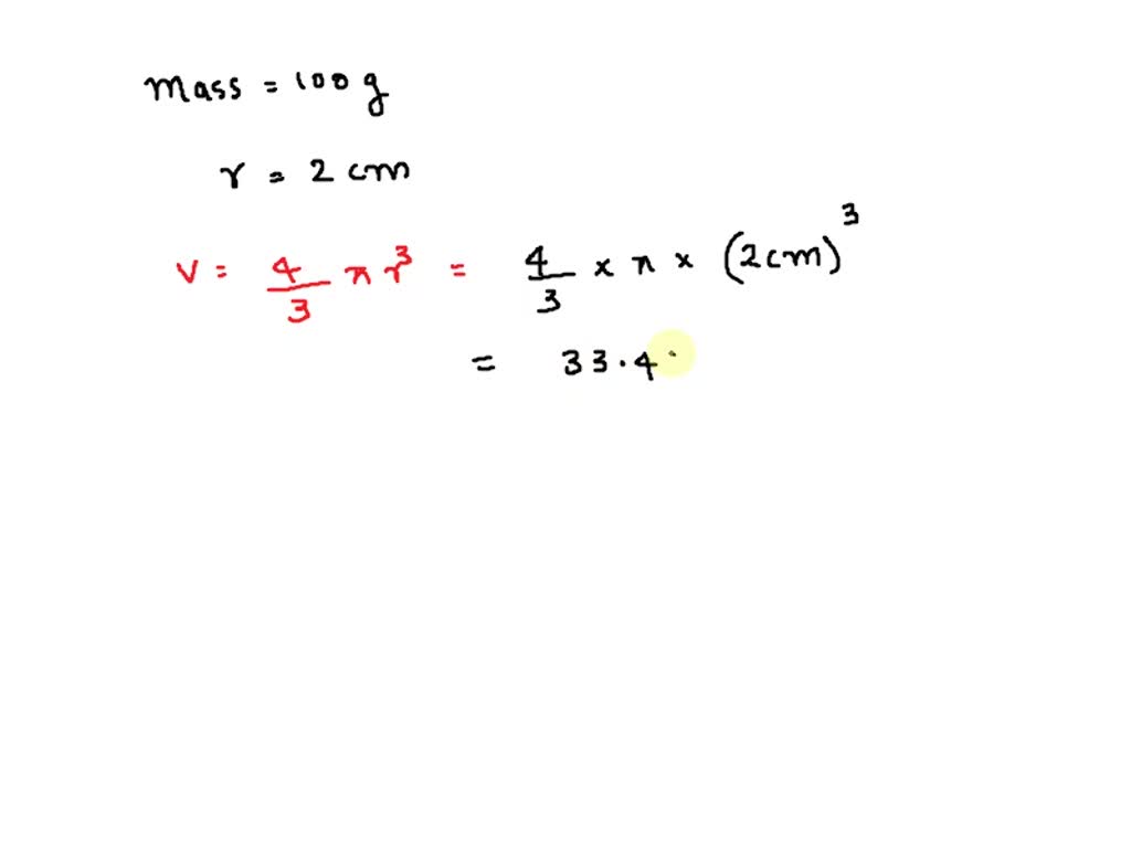
From www.numerade.com
SOLVED A solid ball has a mass of 100 grams and a radius of 2 cm. What How To Calculate Density Of A Ball Enter the mass of the sphere and it's radius into the calculator to determine the density of that. To calculate the density of a sphere, determine its mass, then measure its radius and use the expression (4/3)πr^3 to find. Calculate density for solid, hollow, and composite spheres, explore. This free density calculator determines any of the three variables in the. How To Calculate Density Of A Ball.
From www.wikihow.com
How to Calculate the Mass of a Sphere 13 Steps (with Pictures) How To Calculate Density Of A Ball Calculate density for solid, hollow, and composite spheres, explore. To calculate an object's density, you need to know the object's mass and volume. The formula for calculating density is ρ = m/v, where p is the density, m is the mass and v is the volume. Density is the measurement of the amount of mass per unit of volume. The. How To Calculate Density Of A Ball.
From www.nagwa.com
Question Video Finding the Density of a Sphere given Its Mass and How To Calculate Density Of A Ball A density of a sphere is a measure of the mass per unit volume of a sphere. This free density calculator determines any of the three variables in the density equation given the other two. Dive into the world of sphere density with the sphere density calculator. The density calculator will help you estimate the relationship between the weight and. How To Calculate Density Of A Ball.
From www.toppr.com
A solid ball of density ρ1 and radius r falls vertically through a How To Calculate Density Of A Ball Enter the mass of the sphere and it's radius into the calculator to determine the density of that. This value, called density, is one of the most important physical. Calculate density for solid, hollow, and composite spheres, explore. The formula for calculating density is ρ = m/v, where p is the density, m is the mass and v is the. How To Calculate Density Of A Ball.
From www.chegg.com
Solved The mass of the ball is m = 2 kg and the string's How To Calculate Density Of A Ball Calculate density for solid, hollow, and composite spheres, explore. Density (p) is equal to mass (m) divided by volume (v). The density calculator will help you estimate the relationship between the weight and volume of an object. Density is the measurement of the amount of mass per unit of volume. To calculate the density of a sphere, determine its mass,. How To Calculate Density Of A Ball.
From www.nagwa.com
Question Video Understanding How Density Relates to Mass and Volume How To Calculate Density Of A Ball Dive into the world of sphere density with the sphere density calculator. Calculate density for solid, hollow, and composite spheres, explore. Enter the mass of the sphere and it's radius into the calculator to determine the density of that. To calculate the density of a sphere, determine its mass, then measure its radius and use the expression (4/3)πr^3 to find.. How To Calculate Density Of A Ball.
From www.wikihow.com
How to Calculate the Mass of a Sphere 13 Steps (with Pictures) How To Calculate Density Of A Ball A density of a sphere is a measure of the mass per unit volume of a sphere. Density is the measurement of the amount of mass per unit of volume. Density (p) is equal to mass (m) divided by volume (v). This value, called density, is one of the most important physical. Dive into the world of sphere density with. How To Calculate Density Of A Ball.
From byjus.com
A ball of density 0.5g/cm3 is released from the bottom of a cylindrical How To Calculate Density Of A Ball Density (p) is equal to mass (m) divided by volume (v). To calculate an object's density, you need to know the object's mass and volume. Enter the mass of the sphere and it's radius into the calculator to determine the density of that. The density calculator will help you estimate the relationship between the weight and volume of an object.. How To Calculate Density Of A Ball.
From byjus.com
25, A ball of density and radius r is dropped on thesurface of a liquid How To Calculate Density Of A Ball To calculate the density of a sphere, determine its mass, then measure its radius and use the expression (4/3)πr^3 to find. Calculate density for solid, hollow, and composite spheres, explore. This free density calculator determines any of the three variables in the density equation given the other two. The formula for calculating density is ρ = m/v, where p is. How To Calculate Density Of A Ball.
From teachoo.com
Ex 13.8, 3 The diameter of a metallic ball is 4.2 cm Ex 13.8 How To Calculate Density Of A Ball This free density calculator determines any of the three variables in the density equation given the other two. A density of a sphere is a measure of the mass per unit volume of a sphere. This value, called density, is one of the most important physical. To calculate the density of a sphere, determine its mass, then measure its radius. How To Calculate Density Of A Ball.
From s3.amazonaws.com
How to find mass using density and volume, how much should a college qb How To Calculate Density Of A Ball Density is the measurement of the amount of mass per unit of volume. Dive into the world of sphere density with the sphere density calculator. This free density calculator determines any of the three variables in the density equation given the other two. The formula for calculating density is ρ = m/v, where p is the density, m is the. How To Calculate Density Of A Ball.
From lannaballena.blogspot.com
Sphere density calculator LannaBallena How To Calculate Density Of A Ball This free density calculator determines any of the three variables in the density equation given the other two. The formula for calculating density is ρ = m/v, where p is the density, m is the mass and v is the volume. Density is the measurement of the amount of mass per unit of volume. A density of a sphere is. How To Calculate Density Of A Ball.
From thirdspacelearning.com
Formula For Density GCSE Maths Steps & Examples How To Calculate Density Of A Ball Density is the measurement of the amount of mass per unit of volume. Dive into the world of sphere density with the sphere density calculator. The density calculator will help you estimate the relationship between the weight and volume of an object. This value, called density, is one of the most important physical. This free density calculator determines any of. How To Calculate Density Of A Ball.
From byjus.com
A ball of radius R carries a positive charge throughout its volume such How To Calculate Density Of A Ball To calculate the density of a sphere, determine its mass, then measure its radius and use the expression (4/3)πr^3 to find. Density is the measurement of the amount of mass per unit of volume. Dive into the world of sphere density with the sphere density calculator. To calculate an object's density, you need to know the object's mass and volume.. How To Calculate Density Of A Ball.