The Force Of Friction On A Sliding Object Is 10 N . The force of friction on a sliding object is 10 n. Since this exceeds the maximum of 196 n, the crate must slip. We can define sliding friction as the resistance created by any two objects when sliding against each other. One of the simpler characteristics of sliding friction is that it is parallel to the contact surfaces between systems and is always in a direction. The formula that lets you calculate the friction force is very simple: The applied force needed to maintain a constant velocity is. The applied force needed to maintain a constant velocity is The frictional force is therefore kinetic and is fk = μkn = (0.300)(4.90 × 102 n) = 147 n. F = \mu n f = μn. When an object rests on an incline that makes an angle θ θ with the horizontal, the force of gravity acting on the object is divided into two. The force of friction on a sliding object is 10 newtons. Frictional force on the object, fk = 10 n the net horizontal force on the object is calculated by applying newton's second law of. If the crate is to move with the truck when it accelerates at 5.0 m/s 2, the force of static friction must be fs = max = (50.0 kg)(5.00 m / s2) = 250 n.
from www.toppr.com
Frictional force on the object, fk = 10 n the net horizontal force on the object is calculated by applying newton's second law of. F = \mu n f = μn. Since this exceeds the maximum of 196 n, the crate must slip. The applied force needed to maintain a constant velocity is The force of friction on a sliding object is 10 n. The applied force needed to maintain a constant velocity is. The formula that lets you calculate the friction force is very simple: The frictional force is therefore kinetic and is fk = μkn = (0.300)(4.90 × 102 n) = 147 n. When an object rests on an incline that makes an angle θ θ with the horizontal, the force of gravity acting on the object is divided into two. The force of friction on a sliding object is 10 newtons.
A block of mass M = 5 kg is resting on a rough horizontal surface for
The Force Of Friction On A Sliding Object Is 10 N The force of friction on a sliding object is 10 n. The frictional force is therefore kinetic and is fk = μkn = (0.300)(4.90 × 102 n) = 147 n. If the crate is to move with the truck when it accelerates at 5.0 m/s 2, the force of static friction must be fs = max = (50.0 kg)(5.00 m / s2) = 250 n. We can define sliding friction as the resistance created by any two objects when sliding against each other. The formula that lets you calculate the friction force is very simple: The applied force needed to maintain a constant velocity is. The force of friction on a sliding object is 10 newtons. F = \mu n f = μn. Frictional force on the object, fk = 10 n the net horizontal force on the object is calculated by applying newton's second law of. Since this exceeds the maximum of 196 n, the crate must slip. When an object rests on an incline that makes an angle θ θ with the horizontal, the force of gravity acting on the object is divided into two. One of the simpler characteristics of sliding friction is that it is parallel to the contact surfaces between systems and is always in a direction. The applied force needed to maintain a constant velocity is The force of friction on a sliding object is 10 n.
From www.bbc.co.uk
What is friction and how does it work? BBC Bitesize The Force Of Friction On A Sliding Object Is 10 N The applied force needed to maintain a constant velocity is The force of friction on a sliding object is 10 newtons. We can define sliding friction as the resistance created by any two objects when sliding against each other. The frictional force is therefore kinetic and is fk = μkn = (0.300)(4.90 × 102 n) = 147 n. The formula. The Force Of Friction On A Sliding Object Is 10 N.
From eduinput.com
Why rolling friction is less than sliding friction? The Force Of Friction On A Sliding Object Is 10 N The force of friction on a sliding object is 10 newtons. Since this exceeds the maximum of 196 n, the crate must slip. If the crate is to move with the truck when it accelerates at 5.0 m/s 2, the force of static friction must be fs = max = (50.0 kg)(5.00 m / s2) = 250 n. The formula. The Force Of Friction On A Sliding Object Is 10 N.
From www.vedantu.com
Sliding Friction What is Sliding Friction Definition and Examples The Force Of Friction On A Sliding Object Is 10 N Frictional force on the object, fk = 10 n the net horizontal force on the object is calculated by applying newton's second law of. The force of friction on a sliding object is 10 newtons. The formula that lets you calculate the friction force is very simple: The applied force needed to maintain a constant velocity is The force of. The Force Of Friction On A Sliding Object Is 10 N.
From www.embibe.com
Differentiate between rolling friction and sliding friction The Force Of Friction On A Sliding Object Is 10 N The applied force needed to maintain a constant velocity is The force of friction on a sliding object is 10 n. Since this exceeds the maximum of 196 n, the crate must slip. The formula that lets you calculate the friction force is very simple: When an object rests on an incline that makes an angle θ θ with the. The Force Of Friction On A Sliding Object Is 10 N.
From theory.labster.com
Friction Labster The Force Of Friction On A Sliding Object Is 10 N Since this exceeds the maximum of 196 n, the crate must slip. We can define sliding friction as the resistance created by any two objects when sliding against each other. One of the simpler characteristics of sliding friction is that it is parallel to the contact surfaces between systems and is always in a direction. If the crate is to. The Force Of Friction On A Sliding Object Is 10 N.
From lambdageeks.com
17 Examples Of Sliding Friction Lambda Geeks The Force Of Friction On A Sliding Object Is 10 N One of the simpler characteristics of sliding friction is that it is parallel to the contact surfaces between systems and is always in a direction. If the crate is to move with the truck when it accelerates at 5.0 m/s 2, the force of static friction must be fs = max = (50.0 kg)(5.00 m / s2) = 250 n.. The Force Of Friction On A Sliding Object Is 10 N.
From www.pinterest.com
14 best Forces Vocab images on Pinterest Picture show, The picture The Force Of Friction On A Sliding Object Is 10 N The force of friction on a sliding object is 10 n. The force of friction on a sliding object is 10 newtons. We can define sliding friction as the resistance created by any two objects when sliding against each other. The applied force needed to maintain a constant velocity is. When an object rests on an incline that makes an. The Force Of Friction On A Sliding Object Is 10 N.
From nittygrittyscience.com
Section 3 Motion and Forces Nitty Gritty Science The Force Of Friction On A Sliding Object Is 10 N The frictional force is therefore kinetic and is fk = μkn = (0.300)(4.90 × 102 n) = 147 n. When an object rests on an incline that makes an angle θ θ with the horizontal, the force of gravity acting on the object is divided into two. The force of friction on a sliding object is 10 n. Since this. The Force Of Friction On A Sliding Object Is 10 N.
From byjus.com
Friction always acts in the direction of the motion of an object The Force Of Friction On A Sliding Object Is 10 N The applied force needed to maintain a constant velocity is. The force of friction on a sliding object is 10 newtons. One of the simpler characteristics of sliding friction is that it is parallel to the contact surfaces between systems and is always in a direction. The formula that lets you calculate the friction force is very simple: If the. The Force Of Friction On A Sliding Object Is 10 N.
From www.animalia-life.club
Sliding Friction Diagram The Force Of Friction On A Sliding Object Is 10 N We can define sliding friction as the resistance created by any two objects when sliding against each other. The formula that lets you calculate the friction force is very simple: The force of friction on a sliding object is 10 newtons. The force of friction on a sliding object is 10 n. The applied force needed to maintain a constant. The Force Of Friction On A Sliding Object Is 10 N.
From mectips.com
Friction Force and Its Types Mechanical Engineering The Force Of Friction On A Sliding Object Is 10 N Since this exceeds the maximum of 196 n, the crate must slip. The applied force needed to maintain a constant velocity is When an object rests on an incline that makes an angle θ θ with the horizontal, the force of gravity acting on the object is divided into two. The force of friction on a sliding object is 10. The Force Of Friction On A Sliding Object Is 10 N.
From byjus.com
A body of mass 5 kg is placed on a rough horizontal surface. If the The Force Of Friction On A Sliding Object Is 10 N The applied force needed to maintain a constant velocity is One of the simpler characteristics of sliding friction is that it is parallel to the contact surfaces between systems and is always in a direction. We can define sliding friction as the resistance created by any two objects when sliding against each other. When an object rests on an incline. The Force Of Friction On A Sliding Object Is 10 N.
From www.sciencefacts.net
Sliding Friction Definition, Formula, and Examples The Force Of Friction On A Sliding Object Is 10 N The formula that lets you calculate the friction force is very simple: The applied force needed to maintain a constant velocity is The frictional force is therefore kinetic and is fk = μkn = (0.300)(4.90 × 102 n) = 147 n. The force of friction on a sliding object is 10 n. The force of friction on a sliding object. The Force Of Friction On A Sliding Object Is 10 N.
From blogjpmbahewpyg.blogspot.com
無料ダウンロード force of 16n and 12n n are acting on a mass of 200kg 259700 The Force Of Friction On A Sliding Object Is 10 N The frictional force is therefore kinetic and is fk = μkn = (0.300)(4.90 × 102 n) = 147 n. The applied force needed to maintain a constant velocity is. The force of friction on a sliding object is 10 n. When an object rests on an incline that makes an angle θ θ with the horizontal, the force of gravity. The Force Of Friction On A Sliding Object Is 10 N.
From byjus.com
Look at the given figure and answer the following questionsIf the boy The Force Of Friction On A Sliding Object Is 10 N The force of friction on a sliding object is 10 n. When an object rests on an incline that makes an angle θ θ with the horizontal, the force of gravity acting on the object is divided into two. We can define sliding friction as the resistance created by any two objects when sliding against each other. The frictional force. The Force Of Friction On A Sliding Object Is 10 N.
From askfilo.com
For an object sliding on a plane, the force of friction is less if the pl.. The Force Of Friction On A Sliding Object Is 10 N Since this exceeds the maximum of 196 n, the crate must slip. F = \mu n f = μn. We can define sliding friction as the resistance created by any two objects when sliding against each other. One of the simpler characteristics of sliding friction is that it is parallel to the contact surfaces between systems and is always in. The Force Of Friction On A Sliding Object Is 10 N.
From www.vedantu.com
Frictional Force Types of Frictional Force The Force Of Friction On A Sliding Object Is 10 N The formula that lets you calculate the friction force is very simple: The frictional force is therefore kinetic and is fk = μkn = (0.300)(4.90 × 102 n) = 147 n. The applied force needed to maintain a constant velocity is The applied force needed to maintain a constant velocity is. When an object rests on an incline that makes. The Force Of Friction On A Sliding Object Is 10 N.
From brainly.in
What is sliding friction force Brainly.in The Force Of Friction On A Sliding Object Is 10 N The force of friction on a sliding object is 10 n. The applied force needed to maintain a constant velocity is. If the crate is to move with the truck when it accelerates at 5.0 m/s 2, the force of static friction must be fs = max = (50.0 kg)(5.00 m / s2) = 250 n. F = \mu n. The Force Of Friction On A Sliding Object Is 10 N.
From www.toppr.com
A block of mass M = 5 kg is resting on a rough horizontal surface for The Force Of Friction On A Sliding Object Is 10 N F = \mu n f = μn. The force of friction on a sliding object is 10 n. The formula that lets you calculate the friction force is very simple: The frictional force is therefore kinetic and is fk = μkn = (0.300)(4.90 × 102 n) = 147 n. The applied force needed to maintain a constant velocity is. Frictional. The Force Of Friction On A Sliding Object Is 10 N.
From www.sciencefacts.net
Sliding Friction Definition, Formula, and Examples The Force Of Friction On A Sliding Object Is 10 N Frictional force on the object, fk = 10 n the net horizontal force on the object is calculated by applying newton's second law of. The applied force needed to maintain a constant velocity is. The force of friction on a sliding object is 10 newtons. When an object rests on an incline that makes an angle θ θ with the. The Force Of Friction On A Sliding Object Is 10 N.
From wcpigwqhgi.blogspot.com
Friction Definition For Kids What Is Force And Motion Ultimate Guide The Force Of Friction On A Sliding Object Is 10 N We can define sliding friction as the resistance created by any two objects when sliding against each other. The force of friction on a sliding object is 10 newtons. The applied force needed to maintain a constant velocity is. The force of friction on a sliding object is 10 n. If the crate is to move with the truck when. The Force Of Friction On A Sliding Object Is 10 N.
From www.britannica.com
friction Definition, Types, & Formula Britannica The Force Of Friction On A Sliding Object Is 10 N Since this exceeds the maximum of 196 n, the crate must slip. The applied force needed to maintain a constant velocity is Frictional force on the object, fk = 10 n the net horizontal force on the object is calculated by applying newton's second law of. The force of friction on a sliding object is 10 newtons. If the crate. The Force Of Friction On A Sliding Object Is 10 N.
From www.toppr.com
A body is moving with a uniform velocity of 2 m/s on a rough level The Force Of Friction On A Sliding Object Is 10 N The frictional force is therefore kinetic and is fk = μkn = (0.300)(4.90 × 102 n) = 147 n. The force of friction on a sliding object is 10 n. One of the simpler characteristics of sliding friction is that it is parallel to the contact surfaces between systems and is always in a direction. The applied force needed to. The Force Of Friction On A Sliding Object Is 10 N.
From pressbooks.library.upei.ca
4.4 Friction and Impending Motion Engineering Mechanics Statics The Force Of Friction On A Sliding Object Is 10 N If the crate is to move with the truck when it accelerates at 5.0 m/s 2, the force of static friction must be fs = max = (50.0 kg)(5.00 m / s2) = 250 n. The formula that lets you calculate the friction force is very simple: We can define sliding friction as the resistance created by any two objects. The Force Of Friction On A Sliding Object Is 10 N.
From slideplayer.com
Do Now A 40 N chair is pushed across a room with an acceleration of 2 The Force Of Friction On A Sliding Object Is 10 N The frictional force is therefore kinetic and is fk = μkn = (0.300)(4.90 × 102 n) = 147 n. The formula that lets you calculate the friction force is very simple: F = \mu n f = μn. The force of friction on a sliding object is 10 newtons. The applied force needed to maintain a constant velocity is. Since. The Force Of Friction On A Sliding Object Is 10 N.
From www.vecteezy.com
Frictional force for Science and Physics education 2764439 Vector Art The Force Of Friction On A Sliding Object Is 10 N The formula that lets you calculate the friction force is very simple: The force of friction on a sliding object is 10 n. The force of friction on a sliding object is 10 newtons. When an object rests on an incline that makes an angle θ θ with the horizontal, the force of gravity acting on the object is divided. The Force Of Friction On A Sliding Object Is 10 N.
From www.numerade.com
Problem 24 Consider the block shown in the figure, which has a mass m The Force Of Friction On A Sliding Object Is 10 N The applied force needed to maintain a constant velocity is If the crate is to move with the truck when it accelerates at 5.0 m/s 2, the force of static friction must be fs = max = (50.0 kg)(5.00 m / s2) = 250 n. Frictional force on the object, fk = 10 n the net horizontal force on the. The Force Of Friction On A Sliding Object Is 10 N.
From emedia.rmit.edu.au
PF1.2 Forces on Slopes Learning Lab The Force Of Friction On A Sliding Object Is 10 N Frictional force on the object, fk = 10 n the net horizontal force on the object is calculated by applying newton's second law of. The applied force needed to maintain a constant velocity is The force of friction on a sliding object is 10 n. The formula that lets you calculate the friction force is very simple: The frictional force. The Force Of Friction On A Sliding Object Is 10 N.
From www.chegg.com
Solved Two blocks are stacked as shown below, and rest on a The Force Of Friction On A Sliding Object Is 10 N If the crate is to move with the truck when it accelerates at 5.0 m/s 2, the force of static friction must be fs = max = (50.0 kg)(5.00 m / s2) = 250 n. When an object rests on an incline that makes an angle θ θ with the horizontal, the force of gravity acting on the object is. The Force Of Friction On A Sliding Object Is 10 N.
From www.numerade.com
A block of mass m is pushed up an inclined plane by a horizontal The Force Of Friction On A Sliding Object Is 10 N The applied force needed to maintain a constant velocity is. The applied force needed to maintain a constant velocity is F = \mu n f = μn. One of the simpler characteristics of sliding friction is that it is parallel to the contact surfaces between systems and is always in a direction. Frictional force on the object, fk = 10. The Force Of Friction On A Sliding Object Is 10 N.
From www.slideserve.com
PPT Friction and Gravity PowerPoint Presentation ID2575293 The Force Of Friction On A Sliding Object Is 10 N Frictional force on the object, fk = 10 n the net horizontal force on the object is calculated by applying newton's second law of. We can define sliding friction as the resistance created by any two objects when sliding against each other. The force of friction on a sliding object is 10 newtons. Since this exceeds the maximum of 196. The Force Of Friction On A Sliding Object Is 10 N.
From byjus.com
If a force equal to half the weight of the body can just move the body The Force Of Friction On A Sliding Object Is 10 N The force of friction on a sliding object is 10 n. The applied force needed to maintain a constant velocity is. If the crate is to move with the truck when it accelerates at 5.0 m/s 2, the force of static friction must be fs = max = (50.0 kg)(5.00 m / s2) = 250 n. The formula that lets. The Force Of Friction On A Sliding Object Is 10 N.
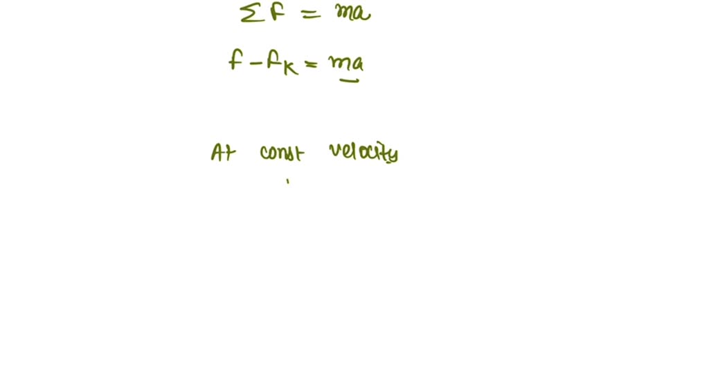
From www.numerade.com
SOLVED The force of friction on a sliding object is 10 n. the applied The Force Of Friction On A Sliding Object Is 10 N The formula that lets you calculate the friction force is very simple: Frictional force on the object, fk = 10 n the net horizontal force on the object is calculated by applying newton's second law of. The force of friction on a sliding object is 10 n. If the crate is to move with the truck when it accelerates at. The Force Of Friction On A Sliding Object Is 10 N.
From www.sciencefacts.net
Friction (Frictional Force) Definition, Formula, & Examples The Force Of Friction On A Sliding Object Is 10 N The force of friction on a sliding object is 10 n. The applied force needed to maintain a constant velocity is When an object rests on an incline that makes an angle θ θ with the horizontal, the force of gravity acting on the object is divided into two. We can define sliding friction as the resistance created by any. The Force Of Friction On A Sliding Object Is 10 N.
From www.slideserve.com
PPT Sliding Friction PowerPoint Presentation, free download ID3065323 The Force Of Friction On A Sliding Object Is 10 N When an object rests on an incline that makes an angle θ θ with the horizontal, the force of gravity acting on the object is divided into two. The applied force needed to maintain a constant velocity is. We can define sliding friction as the resistance created by any two objects when sliding against each other. Frictional force on the. The Force Of Friction On A Sliding Object Is 10 N.