Engine Efficiency Formula . In the cyclic process for an engine shown below, the process from a to b triples the pressure, the process from b to c is adiabatic, and the working gas in the engine is monatomic. Learn how to calculate the efficiency of a machine or a process using the ratio of useful output to total input. \[ \text{efficiency (}\eta \text{)} = \frac{\text{work done. What are its types & examples. Learn the formula for thermal efficiency and find the maximum efficiency. See examples of efficiency formula. A carnot engine operating between two given temperatures has the greatest possible efficiency of any heat engine operating between these two temperatures. In this section we will perform further ideal cycle analysis to express the thrust and fuel efficiency of engines in terms of useful design variables, including design limits, flight conditions,. What is a heat engine. Engine efficiency refers to the efficiency with which the internal combustion engine can extract the energy from a fuel to provide useful. Mathematically, the thermal efficiency (η) of a diesel engine can be calculated using the following formula:
from www.youtube.com
Learn the formula for thermal efficiency and find the maximum efficiency. In the cyclic process for an engine shown below, the process from a to b triples the pressure, the process from b to c is adiabatic, and the working gas in the engine is monatomic. What is a heat engine. See examples of efficiency formula. Engine efficiency refers to the efficiency with which the internal combustion engine can extract the energy from a fuel to provide useful. Mathematically, the thermal efficiency (η) of a diesel engine can be calculated using the following formula: In this section we will perform further ideal cycle analysis to express the thrust and fuel efficiency of engines in terms of useful design variables, including design limits, flight conditions,. What are its types & examples. \[ \text{efficiency (}\eta \text{)} = \frac{\text{work done. A carnot engine operating between two given temperatures has the greatest possible efficiency of any heat engine operating between these two temperatures.
Evaluating Engine Performance Data and Calculating Engine Efficiency
Engine Efficiency Formula Learn the formula for thermal efficiency and find the maximum efficiency. What are its types & examples. Learn how to calculate the efficiency of a machine or a process using the ratio of useful output to total input. In the cyclic process for an engine shown below, the process from a to b triples the pressure, the process from b to c is adiabatic, and the working gas in the engine is monatomic. Engine efficiency refers to the efficiency with which the internal combustion engine can extract the energy from a fuel to provide useful. Mathematically, the thermal efficiency (η) of a diesel engine can be calculated using the following formula: \[ \text{efficiency (}\eta \text{)} = \frac{\text{work done. In this section we will perform further ideal cycle analysis to express the thrust and fuel efficiency of engines in terms of useful design variables, including design limits, flight conditions,. Learn the formula for thermal efficiency and find the maximum efficiency. What is a heat engine. A carnot engine operating between two given temperatures has the greatest possible efficiency of any heat engine operating between these two temperatures. See examples of efficiency formula.
From emborramhdifixmachine.z13.web.core.windows.net
Heat Engine And Efficiency Engine Efficiency Formula In the cyclic process for an engine shown below, the process from a to b triples the pressure, the process from b to c is adiabatic, and the working gas in the engine is monatomic. Learn the formula for thermal efficiency and find the maximum efficiency. In this section we will perform further ideal cycle analysis to express the thrust. Engine Efficiency Formula.
From workshopfixsuhrboomed.z21.web.core.windows.net
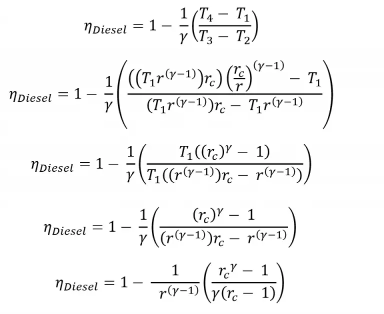
Efficiency Of Diesel Engine Formula Engine Efficiency Formula What is a heat engine. Learn how to calculate the efficiency of a machine or a process using the ratio of useful output to total input. See examples of efficiency formula. In this section we will perform further ideal cycle analysis to express the thrust and fuel efficiency of engines in terms of useful design variables, including design limits, flight. Engine Efficiency Formula.
From www.slideserve.com
PPT Lecture 11. Heat Engines (Ch. 4) PowerPoint Presentation, free Engine Efficiency Formula Learn the formula for thermal efficiency and find the maximum efficiency. What is a heat engine. In the cyclic process for an engine shown below, the process from a to b triples the pressure, the process from b to c is adiabatic, and the working gas in the engine is monatomic. See examples of efficiency formula. Engine efficiency refers to. Engine Efficiency Formula.
From www.slideserve.com
PPT Chapter 22 PowerPoint Presentation, free download ID6828429 Engine Efficiency Formula In the cyclic process for an engine shown below, the process from a to b triples the pressure, the process from b to c is adiabatic, and the working gas in the engine is monatomic. Mathematically, the thermal efficiency (η) of a diesel engine can be calculated using the following formula: What are its types & examples. Learn how to. Engine Efficiency Formula.
From www.youtube.com
Mechanical Efficiency of IC Engine By D Verma Sir YouTube Engine Efficiency Formula What are its types & examples. Learn the formula for thermal efficiency and find the maximum efficiency. Mathematically, the thermal efficiency (η) of a diesel engine can be calculated using the following formula: Engine efficiency refers to the efficiency with which the internal combustion engine can extract the energy from a fuel to provide useful. In the cyclic process for. Engine Efficiency Formula.
From themechanicalengineering.com
Diesel Cycle Definition, Process, PV and TS Diagram, Derivation Engine Efficiency Formula Learn how to calculate the efficiency of a machine or a process using the ratio of useful output to total input. A carnot engine operating between two given temperatures has the greatest possible efficiency of any heat engine operating between these two temperatures. \[ \text{efficiency (}\eta \text{)} = \frac{\text{work done. In this section we will perform further ideal cycle analysis. Engine Efficiency Formula.
From sciencekahani.blogspot.com
Science Kahani Thermodynamics(Auto cycle, Diesel cycle,Brayton cycle Engine Efficiency Formula Learn the formula for thermal efficiency and find the maximum efficiency. \[ \text{efficiency (}\eta \text{)} = \frac{\text{work done. Engine efficiency refers to the efficiency with which the internal combustion engine can extract the energy from a fuel to provide useful. A carnot engine operating between two given temperatures has the greatest possible efficiency of any heat engine operating between these. Engine Efficiency Formula.
From workshopfixsuhrboomed.z21.web.core.windows.net
Efficiency Of An Engine Formula Engine Efficiency Formula Learn the formula for thermal efficiency and find the maximum efficiency. Learn how to calculate the efficiency of a machine or a process using the ratio of useful output to total input. Engine efficiency refers to the efficiency with which the internal combustion engine can extract the energy from a fuel to provide useful. A carnot engine operating between two. Engine Efficiency Formula.
From www.youtube.com
Jet Engine (Gas Turbine) Efficiency YouTube Engine Efficiency Formula Engine efficiency refers to the efficiency with which the internal combustion engine can extract the energy from a fuel to provide useful. In the cyclic process for an engine shown below, the process from a to b triples the pressure, the process from b to c is adiabatic, and the working gas in the engine is monatomic. See examples of. Engine Efficiency Formula.
From mechanicstips.blogspot.com
Carnot Cycle MechanicsTips Engine Efficiency Formula See examples of efficiency formula. What is a heat engine. Engine efficiency refers to the efficiency with which the internal combustion engine can extract the energy from a fuel to provide useful. Learn how to calculate the efficiency of a machine or a process using the ratio of useful output to total input. Learn the formula for thermal efficiency and. Engine Efficiency Formula.
From study.com
Efficiency & the Carnot Cycle Equations & Examples Video & Lesson Engine Efficiency Formula Learn the formula for thermal efficiency and find the maximum efficiency. Engine efficiency refers to the efficiency with which the internal combustion engine can extract the energy from a fuel to provide useful. In this section we will perform further ideal cycle analysis to express the thrust and fuel efficiency of engines in terms of useful design variables, including design. Engine Efficiency Formula.
From study.com
Heat Engine Definition, Efficiency & Formula Lesson Engine Efficiency Formula What are its types & examples. Mathematically, the thermal efficiency (η) of a diesel engine can be calculated using the following formula: \[ \text{efficiency (}\eta \text{)} = \frac{\text{work done. In the cyclic process for an engine shown below, the process from a to b triples the pressure, the process from b to c is adiabatic, and the working gas in. Engine Efficiency Formula.
From www.tessshebaylo.com
Turbine Efficiency Equation Thermodynamics Tessshebaylo Engine Efficiency Formula Learn the formula for thermal efficiency and find the maximum efficiency. In the cyclic process for an engine shown below, the process from a to b triples the pressure, the process from b to c is adiabatic, and the working gas in the engine is monatomic. Learn how to calculate the efficiency of a machine or a process using the. Engine Efficiency Formula.
From www.slideserve.com
PPT Chapter 9 PowerPoint Presentation, free download ID5249149 Engine Efficiency Formula Engine efficiency refers to the efficiency with which the internal combustion engine can extract the energy from a fuel to provide useful. \[ \text{efficiency (}\eta \text{)} = \frac{\text{work done. In this section we will perform further ideal cycle analysis to express the thrust and fuel efficiency of engines in terms of useful design variables, including design limits, flight conditions,. A. Engine Efficiency Formula.
From www.slideserve.com
PPT Chapter 22 Entropy and the Second Law of Thermodynamics Engine Efficiency Formula Learn the formula for thermal efficiency and find the maximum efficiency. A carnot engine operating between two given temperatures has the greatest possible efficiency of any heat engine operating between these two temperatures. What is a heat engine. Learn how to calculate the efficiency of a machine or a process using the ratio of useful output to total input. \[. Engine Efficiency Formula.
From extrudesign.com
What is Diesel Cycle? ExtruDesign Engine Efficiency Formula Learn how to calculate the efficiency of a machine or a process using the ratio of useful output to total input. See examples of efficiency formula. In the cyclic process for an engine shown below, the process from a to b triples the pressure, the process from b to c is adiabatic, and the working gas in the engine is. Engine Efficiency Formula.
From www.sciencefacts.net
Heat Engine Definition, Efficiency, Cycle, and Diagram Engine Efficiency Formula Learn how to calculate the efficiency of a machine or a process using the ratio of useful output to total input. See examples of efficiency formula. \[ \text{efficiency (}\eta \text{)} = \frac{\text{work done. In this section we will perform further ideal cycle analysis to express the thrust and fuel efficiency of engines in terms of useful design variables, including design. Engine Efficiency Formula.
From www.tessshebaylo.com
Turbine Efficiency Equation Tessshebaylo Engine Efficiency Formula \[ \text{efficiency (}\eta \text{)} = \frac{\text{work done. A carnot engine operating between two given temperatures has the greatest possible efficiency of any heat engine operating between these two temperatures. What are its types & examples. Engine efficiency refers to the efficiency with which the internal combustion engine can extract the energy from a fuel to provide useful. In this section. Engine Efficiency Formula.
From www.youtube.com
Thermodynamics Lecture 29 Diesel Cycle YouTube Engine Efficiency Formula Learn the formula for thermal efficiency and find the maximum efficiency. What is a heat engine. What are its types & examples. See examples of efficiency formula. A carnot engine operating between two given temperatures has the greatest possible efficiency of any heat engine operating between these two temperatures. Engine efficiency refers to the efficiency with which the internal combustion. Engine Efficiency Formula.
From diagramlistwhite.z5.web.core.windows.net
Car Engine Efficiency Diagram Engine Efficiency Formula Learn the formula for thermal efficiency and find the maximum efficiency. \[ \text{efficiency (}\eta \text{)} = \frac{\text{work done. Mathematically, the thermal efficiency (η) of a diesel engine can be calculated using the following formula: What is a heat engine. Learn how to calculate the efficiency of a machine or a process using the ratio of useful output to total input.. Engine Efficiency Formula.
From www.youtube.com
Problems on Heat Engine YouTube Engine Efficiency Formula What is a heat engine. Mathematically, the thermal efficiency (η) of a diesel engine can be calculated using the following formula: Learn how to calculate the efficiency of a machine or a process using the ratio of useful output to total input. A carnot engine operating between two given temperatures has the greatest possible efficiency of any heat engine operating. Engine Efficiency Formula.
From www.youtube.com
Physics 5.2.4.4 Measuring the efficiency of a heat engine using the Engine Efficiency Formula In the cyclic process for an engine shown below, the process from a to b triples the pressure, the process from b to c is adiabatic, and the working gas in the engine is monatomic. What are its types & examples. See examples of efficiency formula. Mathematically, the thermal efficiency (η) of a diesel engine can be calculated using the. Engine Efficiency Formula.
From www.slideserve.com
PPT The Ideal Gas Law ( review chap.14) PowerPoint Presentation, free Engine Efficiency Formula Engine efficiency refers to the efficiency with which the internal combustion engine can extract the energy from a fuel to provide useful. In the cyclic process for an engine shown below, the process from a to b triples the pressure, the process from b to c is adiabatic, and the working gas in the engine is monatomic. A carnot engine. Engine Efficiency Formula.
From www.researchgate.net
Efficiency curve for a Stirling engine and commercial dish (ARUN 160 Engine Efficiency Formula In this section we will perform further ideal cycle analysis to express the thrust and fuel efficiency of engines in terms of useful design variables, including design limits, flight conditions,. What are its types & examples. Mathematically, the thermal efficiency (η) of a diesel engine can be calculated using the following formula: A carnot engine operating between two given temperatures. Engine Efficiency Formula.
From www.eigenplus.com
Carnot Efficiency Formula, Derivation & Explanation eigenplus Engine Efficiency Formula See examples of efficiency formula. In this section we will perform further ideal cycle analysis to express the thrust and fuel efficiency of engines in terms of useful design variables, including design limits, flight conditions,. \[ \text{efficiency (}\eta \text{)} = \frac{\text{work done. What are its types & examples. Engine efficiency refers to the efficiency with which the internal combustion engine. Engine Efficiency Formula.
From wirepartenrique.z22.web.core.windows.net
Car Engine Efficiency Diagram Engine Efficiency Formula Engine efficiency refers to the efficiency with which the internal combustion engine can extract the energy from a fuel to provide useful. In the cyclic process for an engine shown below, the process from a to b triples the pressure, the process from b to c is adiabatic, and the working gas in the engine is monatomic. What are its. Engine Efficiency Formula.
From www.eigenplus.com
Carnot Efficiency Formula, Derivation & Explanation eigenplus Engine Efficiency Formula Engine efficiency refers to the efficiency with which the internal combustion engine can extract the energy from a fuel to provide useful. What is a heat engine. Learn how to calculate the efficiency of a machine or a process using the ratio of useful output to total input. \[ \text{efficiency (}\eta \text{)} = \frac{\text{work done. In this section we will. Engine Efficiency Formula.
From themechanicalengineering.com
Diesel Cycle Definition, Process, PV and TS Diagram, Derivation Engine Efficiency Formula What is a heat engine. Learn the formula for thermal efficiency and find the maximum efficiency. Mathematically, the thermal efficiency (η) of a diesel engine can be calculated using the following formula: In this section we will perform further ideal cycle analysis to express the thrust and fuel efficiency of engines in terms of useful design variables, including design limits,. Engine Efficiency Formula.
From workshoprepairarolla.z13.web.core.windows.net
Formula For Efficiency Of Heat Engine Engine Efficiency Formula Mathematically, the thermal efficiency (η) of a diesel engine can be calculated using the following formula: In this section we will perform further ideal cycle analysis to express the thrust and fuel efficiency of engines in terms of useful design variables, including design limits, flight conditions,. Learn how to calculate the efficiency of a machine or a process using the. Engine Efficiency Formula.
From www.tessshebaylo.com
Turbine Efficiency Equation Thermodynamics Tessshebaylo Engine Efficiency Formula Learn how to calculate the efficiency of a machine or a process using the ratio of useful output to total input. See examples of efficiency formula. What is a heat engine. In this section we will perform further ideal cycle analysis to express the thrust and fuel efficiency of engines in terms of useful design variables, including design limits, flight. Engine Efficiency Formula.
From haipernews.com
How To Calculate Efficiency Of Heat Engine Haiper Engine Efficiency Formula A carnot engine operating between two given temperatures has the greatest possible efficiency of any heat engine operating between these two temperatures. What are its types & examples. In the cyclic process for an engine shown below, the process from a to b triples the pressure, the process from b to c is adiabatic, and the working gas in the. Engine Efficiency Formula.
From www.youtube.com
Evaluating Engine Performance Data and Calculating Engine Efficiency Engine Efficiency Formula Learn the formula for thermal efficiency and find the maximum efficiency. In the cyclic process for an engine shown below, the process from a to b triples the pressure, the process from b to c is adiabatic, and the working gas in the engine is monatomic. \[ \text{efficiency (}\eta \text{)} = \frac{\text{work done. What are its types & examples. What. Engine Efficiency Formula.
From www.slideserve.com
PPT Engine Parameters PowerPoint Presentation, free download ID3484043 Engine Efficiency Formula Learn the formula for thermal efficiency and find the maximum efficiency. Engine efficiency refers to the efficiency with which the internal combustion engine can extract the energy from a fuel to provide useful. A carnot engine operating between two given temperatures has the greatest possible efficiency of any heat engine operating between these two temperatures. What is a heat engine.. Engine Efficiency Formula.
From www.youtube.com
Simple Cycle Gas Turbine Efficiency and Net Power Output YouTube Engine Efficiency Formula What are its types & examples. In the cyclic process for an engine shown below, the process from a to b triples the pressure, the process from b to c is adiabatic, and the working gas in the engine is monatomic. Mathematically, the thermal efficiency (η) of a diesel engine can be calculated using the following formula: Engine efficiency refers. Engine Efficiency Formula.
From workshoprepairboydlill.z21.web.core.windows.net
Thermal Efficiency Of Jet Engine Formula Engine Efficiency Formula A carnot engine operating between two given temperatures has the greatest possible efficiency of any heat engine operating between these two temperatures. See examples of efficiency formula. In the cyclic process for an engine shown below, the process from a to b triples the pressure, the process from b to c is adiabatic, and the working gas in the engine. Engine Efficiency Formula.