A Turkey Is Removed From The Oven . Remove the turkey from the oven immediately (if your probe is reading 160f, the turkey will continue to coast upward to at. By following these tips, you can safely and successfully take out a turkey from the oven every time. When should i take my turkey. The ideal temperature to take a turkey out of the oven depends on a number of factors, including the size of the turkey, the. Within 2 hours of cooking food or after it is removed from the oven, warming drawer, slow cooker, or other appliance, leftovers must be refrigerated (if the temperature is above 90 f, refrigerate them within 1 hour). (yes, we know that new safe cooking guidelines say to. Cook your turkey at 325 degrees f for most of the cook time; In the final 45 minutes, remove the cover or foil tent from the turkey, increase the oven temperature to 425 degrees f.
from www.chegg.com
(yes, we know that new safe cooking guidelines say to. Cook your turkey at 325 degrees f for most of the cook time; In the final 45 minutes, remove the cover or foil tent from the turkey, increase the oven temperature to 425 degrees f. By following these tips, you can safely and successfully take out a turkey from the oven every time. When should i take my turkey. The ideal temperature to take a turkey out of the oven depends on a number of factors, including the size of the turkey, the. Remove the turkey from the oven immediately (if your probe is reading 160f, the turkey will continue to coast upward to at. Within 2 hours of cooking food or after it is removed from the oven, warming drawer, slow cooker, or other appliance, leftovers must be refrigerated (if the temperature is above 90 f, refrigerate them within 1 hour).
Solved A roast turkey is removed from an oven when its
A Turkey Is Removed From The Oven (yes, we know that new safe cooking guidelines say to. Remove the turkey from the oven immediately (if your probe is reading 160f, the turkey will continue to coast upward to at. The ideal temperature to take a turkey out of the oven depends on a number of factors, including the size of the turkey, the. (yes, we know that new safe cooking guidelines say to. Cook your turkey at 325 degrees f for most of the cook time; In the final 45 minutes, remove the cover or foil tent from the turkey, increase the oven temperature to 425 degrees f. When should i take my turkey. By following these tips, you can safely and successfully take out a turkey from the oven every time. Within 2 hours of cooking food or after it is removed from the oven, warming drawer, slow cooker, or other appliance, leftovers must be refrigerated (if the temperature is above 90 f, refrigerate them within 1 hour).
From www.flippedoutfood.com
Ultimate Classic Roast Turkey, the perfect holiday dinner! A Turkey Is Removed From The Oven The ideal temperature to take a turkey out of the oven depends on a number of factors, including the size of the turkey, the. (yes, we know that new safe cooking guidelines say to. In the final 45 minutes, remove the cover or foil tent from the turkey, increase the oven temperature to 425 degrees f. By following these tips,. A Turkey Is Removed From The Oven.
From kitchenseer.com
How Do You Cook A Turkey In A Convection Oven? Kitchen Seer A Turkey Is Removed From The Oven By following these tips, you can safely and successfully take out a turkey from the oven every time. The ideal temperature to take a turkey out of the oven depends on a number of factors, including the size of the turkey, the. When should i take my turkey. (yes, we know that new safe cooking guidelines say to. Remove the. A Turkey Is Removed From The Oven.
From hub.jhu.edu
Vernon Rice Memorial Turkey Drive expands to two distribution sites Hub A Turkey Is Removed From The Oven In the final 45 minutes, remove the cover or foil tent from the turkey, increase the oven temperature to 425 degrees f. Remove the turkey from the oven immediately (if your probe is reading 160f, the turkey will continue to coast upward to at. (yes, we know that new safe cooking guidelines say to. Within 2 hours of cooking food. A Turkey Is Removed From The Oven.
From www.dreamstime.com
The Cooked Homemade Pork is Removed from the Oven Stock Image Image A Turkey Is Removed From The Oven The ideal temperature to take a turkey out of the oven depends on a number of factors, including the size of the turkey, the. When should i take my turkey. Remove the turkey from the oven immediately (if your probe is reading 160f, the turkey will continue to coast upward to at. Within 2 hours of cooking food or after. A Turkey Is Removed From The Oven.
From www.thetwobiteclub.com
Easy Oven Roasted Turkey The Two Bite Club A Turkey Is Removed From The Oven The ideal temperature to take a turkey out of the oven depends on a number of factors, including the size of the turkey, the. Remove the turkey from the oven immediately (if your probe is reading 160f, the turkey will continue to coast upward to at. (yes, we know that new safe cooking guidelines say to. When should i take. A Turkey Is Removed From The Oven.
From www.umamiinfo.com
Roast turkey Smart Recipes with Umami Umami Information Center A Turkey Is Removed From The Oven Remove the turkey from the oven immediately (if your probe is reading 160f, the turkey will continue to coast upward to at. The ideal temperature to take a turkey out of the oven depends on a number of factors, including the size of the turkey, the. In the final 45 minutes, remove the cover or foil tent from the turkey,. A Turkey Is Removed From The Oven.
From www.atbbq.com
Ultimate Guide to Cooking Turkey In the Oven or On the Grill A Turkey Is Removed From The Oven By following these tips, you can safely and successfully take out a turkey from the oven every time. Within 2 hours of cooking food or after it is removed from the oven, warming drawer, slow cooker, or other appliance, leftovers must be refrigerated (if the temperature is above 90 f, refrigerate them within 1 hour). Remove the turkey from the. A Turkey Is Removed From The Oven.
From www.followann.com
Turkey Roulade Boned, Stuffed, Rolled and Roasted Turkey Breast A Turkey Is Removed From The Oven In the final 45 minutes, remove the cover or foil tent from the turkey, increase the oven temperature to 425 degrees f. The ideal temperature to take a turkey out of the oven depends on a number of factors, including the size of the turkey, the. Cook your turkey at 325 degrees f for most of the cook time; (yes,. A Turkey Is Removed From The Oven.
From www.pinterest.co.uk
AGA Turkey Roasting Medium Method Whole turkey recipes, Roast A Turkey Is Removed From The Oven When should i take my turkey. The ideal temperature to take a turkey out of the oven depends on a number of factors, including the size of the turkey, the. (yes, we know that new safe cooking guidelines say to. In the final 45 minutes, remove the cover or foil tent from the turkey, increase the oven temperature to 425. A Turkey Is Removed From The Oven.
From www.thespruceeats.com
10 Tips for Cooking a Terrific Turkey A Turkey Is Removed From The Oven Cook your turkey at 325 degrees f for most of the cook time; In the final 45 minutes, remove the cover or foil tent from the turkey, increase the oven temperature to 425 degrees f. Within 2 hours of cooking food or after it is removed from the oven, warming drawer, slow cooker, or other appliance, leftovers must be refrigerated. A Turkey Is Removed From The Oven.
From www.oklahoman.com
A guide to preparing turkey for a Thanksgiving feast. A Turkey Is Removed From The Oven In the final 45 minutes, remove the cover or foil tent from the turkey, increase the oven temperature to 425 degrees f. (yes, we know that new safe cooking guidelines say to. Cook your turkey at 325 degrees f for most of the cook time; The ideal temperature to take a turkey out of the oven depends on a number. A Turkey Is Removed From The Oven.
From www.sprinklesandsprouts.com
Slow Roasted Turkey Overnight Turkey Sprinkles and Sprouts A Turkey Is Removed From The Oven In the final 45 minutes, remove the cover or foil tent from the turkey, increase the oven temperature to 425 degrees f. Cook your turkey at 325 degrees f for most of the cook time; Within 2 hours of cooking food or after it is removed from the oven, warming drawer, slow cooker, or other appliance, leftovers must be refrigerated. A Turkey Is Removed From The Oven.
From www.sprinklesandsprouts.com
Oven Roasted Bone in Turkey Breast (Turkey Crown) Sprinkles and Sprouts A Turkey Is Removed From The Oven By following these tips, you can safely and successfully take out a turkey from the oven every time. Cook your turkey at 325 degrees f for most of the cook time; The ideal temperature to take a turkey out of the oven depends on a number of factors, including the size of the turkey, the. Within 2 hours of cooking. A Turkey Is Removed From The Oven.
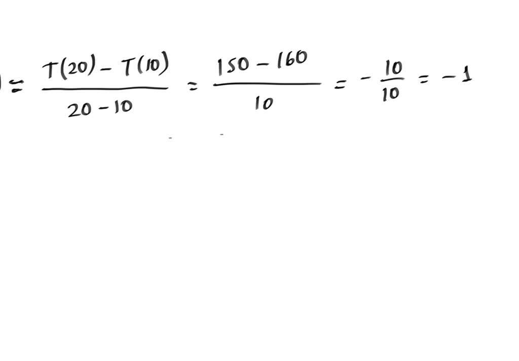
From www.chegg.com
Solved Is this interval valid whatever the nature of the A Turkey Is Removed From The Oven In the final 45 minutes, remove the cover or foil tent from the turkey, increase the oven temperature to 425 degrees f. The ideal temperature to take a turkey out of the oven depends on a number of factors, including the size of the turkey, the. When should i take my turkey. Remove the turkey from the oven immediately (if. A Turkey Is Removed From The Oven.
From thekitchentoday.com
How Long To Cook A Butterball Turkey Per Pound THEKITCHENTODAY A Turkey Is Removed From The Oven Cook your turkey at 325 degrees f for most of the cook time; By following these tips, you can safely and successfully take out a turkey from the oven every time. Remove the turkey from the oven immediately (if your probe is reading 160f, the turkey will continue to coast upward to at. In the final 45 minutes, remove the. A Turkey Is Removed From The Oven.
From www.numerade.com
SOLVED A turkey is removed from the oven when its temperature reaches A Turkey Is Removed From The Oven Cook your turkey at 325 degrees f for most of the cook time; When should i take my turkey. In the final 45 minutes, remove the cover or foil tent from the turkey, increase the oven temperature to 425 degrees f. The ideal temperature to take a turkey out of the oven depends on a number of factors, including the. A Turkey Is Removed From The Oven.
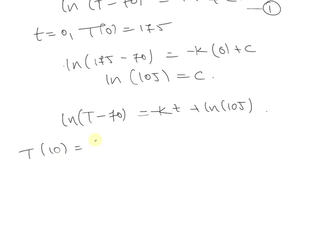
From www.chegg.com
Solved A roast turkey is removed from an oven when its A Turkey Is Removed From The Oven Remove the turkey from the oven immediately (if your probe is reading 160f, the turkey will continue to coast upward to at. By following these tips, you can safely and successfully take out a turkey from the oven every time. When should i take my turkey. The ideal temperature to take a turkey out of the oven depends on a. A Turkey Is Removed From The Oven.
From www.pinterest.ca
How to Cook a Turkey {in an Oven Bag} Cooking Classy Turkey recipes A Turkey Is Removed From The Oven In the final 45 minutes, remove the cover or foil tent from the turkey, increase the oven temperature to 425 degrees f. When should i take my turkey. Remove the turkey from the oven immediately (if your probe is reading 160f, the turkey will continue to coast upward to at. (yes, we know that new safe cooking guidelines say to.. A Turkey Is Removed From The Oven.
From cattlemansmeats.com
Brining Your Turkey? YES Please! Cattleman's Meats A Turkey Is Removed From The Oven When should i take my turkey. In the final 45 minutes, remove the cover or foil tent from the turkey, increase the oven temperature to 425 degrees f. By following these tips, you can safely and successfully take out a turkey from the oven every time. The ideal temperature to take a turkey out of the oven depends on a. A Turkey Is Removed From The Oven.
From www.alamy.com
Oct 27, 2006; San Diego, CA, USA; Chef/instructor KATHERINE EMMENEGGER A Turkey Is Removed From The Oven By following these tips, you can safely and successfully take out a turkey from the oven every time. Cook your turkey at 325 degrees f for most of the cook time; (yes, we know that new safe cooking guidelines say to. The ideal temperature to take a turkey out of the oven depends on a number of factors, including the. A Turkey Is Removed From The Oven.
From www.pinterest.com
Here is a turkey for when time and oven space are at a premium The bird A Turkey Is Removed From The Oven (yes, we know that new safe cooking guidelines say to. The ideal temperature to take a turkey out of the oven depends on a number of factors, including the size of the turkey, the. By following these tips, you can safely and successfully take out a turkey from the oven every time. Cook your turkey at 325 degrees f for. A Turkey Is Removed From The Oven.
From www.americastestkitchen.com
Is Pink Turkey Safe to Eat? Cook's Illustrated A Turkey Is Removed From The Oven (yes, we know that new safe cooking guidelines say to. The ideal temperature to take a turkey out of the oven depends on a number of factors, including the size of the turkey, the. Within 2 hours of cooking food or after it is removed from the oven, warming drawer, slow cooker, or other appliance, leftovers must be refrigerated (if. A Turkey Is Removed From The Oven.
From www.chegg.com
Solved A roast turkey is taken from an oven when its A Turkey Is Removed From The Oven By following these tips, you can safely and successfully take out a turkey from the oven every time. When should i take my turkey. In the final 45 minutes, remove the cover or foil tent from the turkey, increase the oven temperature to 425 degrees f. Remove the turkey from the oven immediately (if your probe is reading 160f, the. A Turkey Is Removed From The Oven.
From fawcusfitness.com
How to cook a Turkey that isn't dry! — Fawcusfitness A Turkey Is Removed From The Oven Remove the turkey from the oven immediately (if your probe is reading 160f, the turkey will continue to coast upward to at. Cook your turkey at 325 degrees f for most of the cook time; The ideal temperature to take a turkey out of the oven depends on a number of factors, including the size of the turkey, the. By. A Turkey Is Removed From The Oven.
From www.alamy.com
Oct 27, 2006; San Diego, CA, USA; Chef/instructor KATHERINE EMMENEGGER A Turkey Is Removed From The Oven Cook your turkey at 325 degrees f for most of the cook time; Remove the turkey from the oven immediately (if your probe is reading 160f, the turkey will continue to coast upward to at. By following these tips, you can safely and successfully take out a turkey from the oven every time. Within 2 hours of cooking food or. A Turkey Is Removed From The Oven.
From www.southernkitchen.com
OvenRoasted Turkey Southern Kitchen A Turkey Is Removed From The Oven By following these tips, you can safely and successfully take out a turkey from the oven every time. In the final 45 minutes, remove the cover or foil tent from the turkey, increase the oven temperature to 425 degrees f. (yes, we know that new safe cooking guidelines say to. Within 2 hours of cooking food or after it is. A Turkey Is Removed From The Oven.
From www.msn.com
Roast Turkey in an Oven Bag A Turkey Is Removed From The Oven The ideal temperature to take a turkey out of the oven depends on a number of factors, including the size of the turkey, the. In the final 45 minutes, remove the cover or foil tent from the turkey, increase the oven temperature to 425 degrees f. When should i take my turkey. Cook your turkey at 325 degrees f for. A Turkey Is Removed From The Oven.
From www.dreamstime.com
The Baked Turkey Drumsticks in a Glass Dish are Removed from the Oven A Turkey Is Removed From The Oven Remove the turkey from the oven immediately (if your probe is reading 160f, the turkey will continue to coast upward to at. By following these tips, you can safely and successfully take out a turkey from the oven every time. Within 2 hours of cooking food or after it is removed from the oven, warming drawer, slow cooker, or other. A Turkey Is Removed From The Oven.
From www.chegg.com
Solved A roast turkey is removed from an oven when its A Turkey Is Removed From The Oven Cook your turkey at 325 degrees f for most of the cook time; Remove the turkey from the oven immediately (if your probe is reading 160f, the turkey will continue to coast upward to at. In the final 45 minutes, remove the cover or foil tent from the turkey, increase the oven temperature to 425 degrees f. The ideal temperature. A Turkey Is Removed From The Oven.
From www.numerade.com
SOLVED A turkey is removed from the oven when its temperature reaches A Turkey Is Removed From The Oven In the final 45 minutes, remove the cover or foil tent from the turkey, increase the oven temperature to 425 degrees f. Remove the turkey from the oven immediately (if your probe is reading 160f, the turkey will continue to coast upward to at. (yes, we know that new safe cooking guidelines say to. By following these tips, you can. A Turkey Is Removed From The Oven.
From dxodvszlf.blob.core.windows.net
How Long Do You Cook A 16 Pound Turkey In A Convection Oven at Pablo A Turkey Is Removed From The Oven When should i take my turkey. Remove the turkey from the oven immediately (if your probe is reading 160f, the turkey will continue to coast upward to at. Cook your turkey at 325 degrees f for most of the cook time; In the final 45 minutes, remove the cover or foil tent from the turkey, increase the oven temperature to. A Turkey Is Removed From The Oven.
From hubpages.com
How to Cook a Turkey Drumstick hubpages A Turkey Is Removed From The Oven When should i take my turkey. (yes, we know that new safe cooking guidelines say to. Cook your turkey at 325 degrees f for most of the cook time; Within 2 hours of cooking food or after it is removed from the oven, warming drawer, slow cooker, or other appliance, leftovers must be refrigerated (if the temperature is above 90. A Turkey Is Removed From The Oven.
From temeculablogs.com
How to Cook a Moist Turkey in Oven How Long to Roast a Turkey A Turkey Is Removed From The Oven Within 2 hours of cooking food or after it is removed from the oven, warming drawer, slow cooker, or other appliance, leftovers must be refrigerated (if the temperature is above 90 f, refrigerate them within 1 hour). Cook your turkey at 325 degrees f for most of the cook time; By following these tips, you can safely and successfully take. A Turkey Is Removed From The Oven.
From www.bonappetit.com
How Long to Cook a Turkey Whole, Spatchcocked, or in Parts Bon Appétit A Turkey Is Removed From The Oven When should i take my turkey. Cook your turkey at 325 degrees f for most of the cook time; By following these tips, you can safely and successfully take out a turkey from the oven every time. The ideal temperature to take a turkey out of the oven depends on a number of factors, including the size of the turkey,. A Turkey Is Removed From The Oven.
From www.flickr.com
This is the turkey after it is removed from the oven Flickr A Turkey Is Removed From The Oven By following these tips, you can safely and successfully take out a turkey from the oven every time. Within 2 hours of cooking food or after it is removed from the oven, warming drawer, slow cooker, or other appliance, leftovers must be refrigerated (if the temperature is above 90 f, refrigerate them within 1 hour). (yes, we know that new. A Turkey Is Removed From The Oven.