Convert 108 Acres To Miles . How much is 108 acres? Learn how to convert from acres to square miles and what is the conversion factor as well as the conversion formula. How many square miles are in 108 acres? Convert 108 acres to square miles. To calculate 108 acres to the corresponding value in square miles, multiply the quantity in acres by. 108 acres ≈ 16.9% of a square mile. Use the calculator above to convert between. 108 square miles are equal to. Instant free online tool for acre to square mile conversion or vice versa. The acre [ac] to square mile [mi^2] conversion table and conversion steps. What is 108 acres converted to square miles? To convert 108 acre to mile2 use direct. Converting from 108 acres to a variety of units. Calculate 108 acres, hectares, square feet (ft2, sq feet), square inches (in2, sq in), square kilometers (km2, sq km), square meters (meters2), square. Convert 108 acres to square miles (acre to mile2) with our conversion calculator and conversion tables.
from www.wikihow.com
Use the calculator above to convert between. To convert 108 acre to mile2 use direct. The acre [ac] to square mile [mi^2] conversion table and conversion steps. 108 acres = 4,704,480 square feet. What is 108 acres converted to square miles? How big is 108 acres? How many square miles are in 108 acres? To calculate 108 acres to the corresponding value in square miles, multiply the quantity in acres by. 108 square miles are equal to. Convert 108 acres to square miles (acre to mile2) with our conversion calculator and conversion tables.
How to Convert Acres to Square Miles 6 Steps (with Pictures)
Convert 108 Acres To Miles The acre [ac] to square mile [mi^2] conversion table and conversion steps. 35 rows 108 acres is equal to about 0.169 square miles. What is 108 acres converted to square miles? 108 acres ≈ 16.9% of a square mile. Instant free online tool for acre to square mile conversion or vice versa. How big is 108 acres? To calculate 108 acres to the corresponding value in square miles, multiply the quantity in acres by. Calculate 108 acres, hectares, square feet (ft2, sq feet), square inches (in2, sq in), square kilometers (km2, sq km), square meters (meters2), square. 108 square miles are equal to. Convert 108 acres to square miles (acre to mile2) with our conversion calculator and conversion tables. Use the calculator above to convert between. The acre [ac] to square mile [mi^2] conversion table and conversion steps. Learn how to convert from acres to square miles and what is the conversion factor as well as the conversion formula. Convert 108 acres to square miles. How many square miles are in 108 acres? How much is 108 acres?
From loexvodmb.blob.core.windows.net
How To Calculate An Acre Of Land at Jerry Wilkerson blog Convert 108 Acres To Miles Learn how to convert from acres to square miles and what is the conversion factor as well as the conversion formula. Instant free online tool for acre to square mile conversion or vice versa. The acre [ac] to square mile [mi^2] conversion table and conversion steps. What is 108 acres converted to square miles? How much is 108 acres? To. Convert 108 Acres To Miles.
From www.wikihow.com
How to Convert Acres to Square Miles 6 Steps wikiHow Convert 108 Acres To Miles 35 rows 108 acres is equal to about 0.169 square miles. Convert 108 acres to square miles. Calculate 108 acres, hectares, square feet (ft2, sq feet), square inches (in2, sq in), square kilometers (km2, sq km), square meters (meters2), square. Use the calculator above to convert between. Converting from 108 acres to a variety of units. To calculate 108 acres. Convert 108 Acres To Miles.
From whatisconvert.com
What is 640 Acres in Square Miles? Convert 640 ac to mi2 Convert 108 Acres To Miles 108 acres ≈ 16.9% of a square mile. How many square miles are in 108 acres? 108 square miles are equal to. To calculate 108 acres to the corresponding value in square miles, multiply the quantity in acres by. What is 108 acres converted to square miles? The acre [ac] to square mile [mi^2] conversion table and conversion steps. Convert. Convert 108 Acres To Miles.
From www.letsdiskuss.com
How many acres in a mile? letsdiskuss Convert 108 Acres To Miles How many square miles are in 108 acres? Instant free online tool for acre to square mile conversion or vice versa. Convert 108 acres to square miles (acre to mile2) with our conversion calculator and conversion tables. Convert 108 acres to square miles. How big is 108 acres? Learn how to convert from acres to square miles and what is. Convert 108 Acres To Miles.
From www.youtube.com
How to Convert Acre to Square mile? YouTube Convert 108 Acres To Miles Instant free online tool for acre to square mile conversion or vice versa. The acre [ac] to square mile [mi^2] conversion table and conversion steps. Learn how to convert from acres to square miles and what is the conversion factor as well as the conversion formula. 108 acres ≈ 16.9% of a square mile. 108 acres = 4,704,480 square feet.. Convert 108 Acres To Miles.
From www.wikihow.com
How to Convert Acres to Square Miles 6 Steps (with Pictures) Convert 108 Acres To Miles To convert 108 acre to mile2 use direct. How much is 108 acres? Use the calculator above to convert between. How many square miles are in 108 acres? 108 acres ≈ 16.9% of a square mile. The acre [ac] to square mile [mi^2] conversion table and conversion steps. 108 square miles are equal to. Calculate 108 acres, hectares, square feet. Convert 108 Acres To Miles.
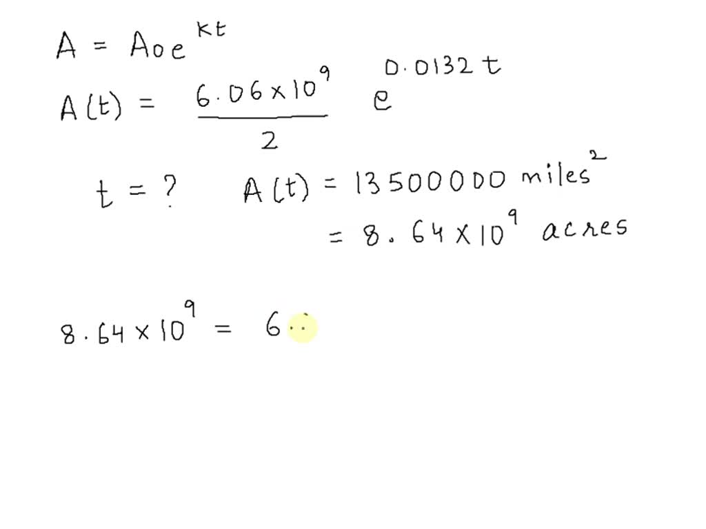
From www.numerade.com
SOLVED (1 point) Assume the world population will continue to grow Convert 108 Acres To Miles Learn how to convert from acres to square miles and what is the conversion factor as well as the conversion formula. How big is 108 acres? Use the calculator above to convert between. To convert 108 acre to mile2 use direct. Calculate 108 acres, hectares, square feet (ft2, sq feet), square inches (in2, sq in), square kilometers (km2, sq km),. Convert 108 Acres To Miles.
From loelcslqu.blob.core.windows.net
How Big Is 28 Acres Of Land Cost at Selina Bradford blog Convert 108 Acres To Miles Learn how to convert from acres to square miles and what is the conversion factor as well as the conversion formula. How many square miles are in 108 acres? What is 108 acres converted to square miles? Convert 108 acres to square miles (acre to mile2) with our conversion calculator and conversion tables. Use the calculator above to convert between.. Convert 108 Acres To Miles.
From www.wikihow.com
How to Convert Acres to Square Miles 6 Steps (with Pictures) Convert 108 Acres To Miles 35 rows 108 acres is equal to about 0.169 square miles. What is 108 acres converted to square miles? Calculate 108 acres, hectares, square feet (ft2, sq feet), square inches (in2, sq in), square kilometers (km2, sq km), square meters (meters2), square. Convert 108 acres to square miles. Learn how to convert from acres to square miles and what is. Convert 108 Acres To Miles.
From ceefourb.blob.core.windows.net
How Many Miles Will A Van Engine Last at Bruce Shaw blog Convert 108 Acres To Miles Convert 108 acres to square miles. How much is 108 acres? 108 acres ≈ 16.9% of a square mile. How many square miles are in 108 acres? Converting from 108 acres to a variety of units. To calculate 108 acres to the corresponding value in square miles, multiply the quantity in acres by. Calculate 108 acres, hectares, square feet (ft2,. Convert 108 Acres To Miles.
From calculatorshub.net
Acres To Miles Calculator Convert 108 Acres To Miles How big is 108 acres? How many square miles are in 108 acres? What is 108 acres converted to square miles? How much is 108 acres? 108 square miles are equal to. Calculate 108 acres, hectares, square feet (ft2, sq feet), square inches (in2, sq in), square kilometers (km2, sq km), square meters (meters2), square. Instant free online tool for. Convert 108 Acres To Miles.
From zishankristyn.blogspot.com
How to calculate feet into acres ZishanKristyn Convert 108 Acres To Miles How big is 108 acres? Convert 108 acres to square miles (acre to mile2) with our conversion calculator and conversion tables. Calculate 108 acres, hectares, square feet (ft2, sq feet), square inches (in2, sq in), square kilometers (km2, sq km), square meters (meters2), square. To calculate 108 acres to the corresponding value in square miles, multiply the quantity in acres. Convert 108 Acres To Miles.
From www.youtube.com
How to convert Acres to Square Miles YouTube Convert 108 Acres To Miles 35 rows 108 acres is equal to about 0.169 square miles. How big is 108 acres? Calculate 108 acres, hectares, square feet (ft2, sq feet), square inches (in2, sq in), square kilometers (km2, sq km), square meters (meters2), square. Convert 108 acres to square miles. Use the calculator above to convert between. Converting from 108 acres to a variety of. Convert 108 Acres To Miles.
From www.calconi.com
Convert Areas Hectare Meter Ar Mile Convert 108 Acres To Miles 35 rows 108 acres is equal to about 0.169 square miles. 108 acres = 4,704,480 square feet. How big is 108 acres? Instant free online tool for acre to square mile conversion or vice versa. Convert 108 acres to square miles. Convert 108 acres to square miles (acre to mile2) with our conversion calculator and conversion tables. The acre [ac]. Convert 108 Acres To Miles.
From quizmischances.z4.web.core.windows.net
1 Mile Is Equal To How Many Yards Convert 108 Acres To Miles 108 acres = 4,704,480 square feet. Convert 108 acres to square miles (acre to mile2) with our conversion calculator and conversion tables. Convert 108 acres to square miles. 35 rows 108 acres is equal to about 0.169 square miles. To calculate 108 acres to the corresponding value in square miles, multiply the quantity in acres by. Learn how to convert. Convert 108 Acres To Miles.
From www.internettoolwizard.com
Convert Kilometer Square to Acre Square (km2 to ac) Convert 108 Acres To Miles Convert 108 acres to square miles. 35 rows 108 acres is equal to about 0.169 square miles. How big is 108 acres? To convert 108 acre to mile2 use direct. What is 108 acres converted to square miles? Use the calculator above to convert between. Learn how to convert from acres to square miles and what is the conversion factor. Convert 108 Acres To Miles.
From www.youtube.com
Convert miles into kilometers C++ program (Explained) YouTube Convert 108 Acres To Miles Use the calculator above to convert between. 108 square miles are equal to. Convert 108 acres to square miles. Converting from 108 acres to a variety of units. How big is 108 acres? What is 108 acres converted to square miles? 108 acres ≈ 16.9% of a square mile. Calculate 108 acres, hectares, square feet (ft2, sq feet), square inches. Convert 108 Acres To Miles.
From www.wikihow.com
How to Convert Acres to Square Miles 6 Steps (with Pictures) Convert 108 Acres To Miles Converting from 108 acres to a variety of units. Calculate 108 acres, hectares, square feet (ft2, sq feet), square inches (in2, sq in), square kilometers (km2, sq km), square meters (meters2), square. How much is 108 acres? What is 108 acres converted to square miles? 108 square miles are equal to. How big is 108 acres? Convert 108 acres to. Convert 108 Acres To Miles.
From testbook.com
Square Mile to Acre Calculator Convert sq mile to acres online Convert 108 Acres To Miles What is 108 acres converted to square miles? How big is 108 acres? To convert 108 acre to mile2 use direct. How many square miles are in 108 acres? Use the calculator above to convert between. The acre [ac] to square mile [mi^2] conversion table and conversion steps. Instant free online tool for acre to square mile conversion or vice. Convert 108 Acres To Miles.
From www.wikihow.com
How to Convert Acres to Square Miles 6 Steps (with Pictures) Convert 108 Acres To Miles 108 acres ≈ 16.9% of a square mile. What is 108 acres converted to square miles? To calculate 108 acres to the corresponding value in square miles, multiply the quantity in acres by. Instant free online tool for acre to square mile conversion or vice versa. How many square miles are in 108 acres? To convert 108 acre to mile2. Convert 108 Acres To Miles.
From www.letsdiskuss.com
How many acres in a mile? letsdiskuss Convert 108 Acres To Miles How many square miles are in 108 acres? 108 acres ≈ 16.9% of a square mile. Convert 108 acres to square miles. The acre [ac] to square mile [mi^2] conversion table and conversion steps. Use the calculator above to convert between. Instant free online tool for acre to square mile conversion or vice versa. How big is 108 acres? What. Convert 108 Acres To Miles.
From zishankristyn.blogspot.com
How to calculate feet into acres ZishanKristyn Convert 108 Acres To Miles Calculate 108 acres, hectares, square feet (ft2, sq feet), square inches (in2, sq in), square kilometers (km2, sq km), square meters (meters2), square. Use the calculator above to convert between. How much is 108 acres? Learn how to convert from acres to square miles and what is the conversion factor as well as the conversion formula. How many square miles. Convert 108 Acres To Miles.
From www.artofit.org
How to convert miles to kilometers and vice versa Artofit Convert 108 Acres To Miles Calculate 108 acres, hectares, square feet (ft2, sq feet), square inches (in2, sq in), square kilometers (km2, sq km), square meters (meters2), square. Use the calculator above to convert between. To convert 108 acre to mile2 use direct. Instant free online tool for acre to square mile conversion or vice versa. Convert 108 acres to square miles. What is 108. Convert 108 Acres To Miles.
From convertilo.com
5.06 Hectares to Acres 5.06 ha to ac Convertilo Convert 108 Acres To Miles Convert 108 acres to square miles (acre to mile2) with our conversion calculator and conversion tables. Convert 108 acres to square miles. 108 acres ≈ 16.9% of a square mile. How big is 108 acres? What is 108 acres converted to square miles? To convert 108 acre to mile2 use direct. Learn how to convert from acres to square miles. Convert 108 Acres To Miles.
From loeqesusg.blob.core.windows.net
Square Feet To Acres Formula at Julio Levine blog Convert 108 Acres To Miles How much is 108 acres? To convert 108 acre to mile2 use direct. The acre [ac] to square mile [mi^2] conversion table and conversion steps. What is 108 acres converted to square miles? How big is 108 acres? 108 acres = 4,704,480 square feet. 108 acres ≈ 16.9% of a square mile. Convert 108 acres to square miles. Calculate 108. Convert 108 Acres To Miles.
From nathanhale.z21.web.core.windows.net
Convert 1/4 Mile To 1/8 Mile Times Convert 108 Acres To Miles Use the calculator above to convert between. Learn how to convert from acres to square miles and what is the conversion factor as well as the conversion formula. Convert 108 acres to square miles. How big is 108 acres? How many square miles are in 108 acres? What is 108 acres converted to square miles? 108 acres = 4,704,480 square. Convert 108 Acres To Miles.
From klaffqmlf.blob.core.windows.net
What Is 10 Km Equal To In Miles at Lynn Crotts blog Convert 108 Acres To Miles Converting from 108 acres to a variety of units. Learn how to convert from acres to square miles and what is the conversion factor as well as the conversion formula. How big is 108 acres? What is 108 acres converted to square miles? Use the calculator above to convert between. How much is 108 acres? Convert 108 acres to square. Convert 108 Acres To Miles.
From elwyndickens.blogspot.com
Convert Hektar To Ekar Water Measurement Units And Conversion Factors Convert 108 Acres To Miles What is 108 acres converted to square miles? Converting from 108 acres to a variety of units. 108 acres = 4,704,480 square feet. To calculate 108 acres to the corresponding value in square miles, multiply the quantity in acres by. Instant free online tool for acre to square mile conversion or vice versa. 35 rows 108 acres is equal to. Convert 108 Acres To Miles.
From calculatorshub.net
Acres To Miles Calculator Convert 108 Acres To Miles 108 acres ≈ 16.9% of a square mile. To convert 108 acre to mile2 use direct. 108 square miles are equal to. What is 108 acres converted to square miles? Use the calculator above to convert between. How big is 108 acres? How much is 108 acres? Convert 108 acres to square miles. 35 rows 108 acres is equal to. Convert 108 Acres To Miles.
From www.pinterest.com
Square miles to acres conversion table and converter. How many acres in Convert 108 Acres To Miles 108 acres = 4,704,480 square feet. 108 square miles are equal to. To convert 108 acre to mile2 use direct. Use the calculator above to convert between. How many square miles are in 108 acres? To calculate 108 acres to the corresponding value in square miles, multiply the quantity in acres by. What is 108 acres converted to square miles?. Convert 108 Acres To Miles.
From www.inchcalculator.com
Square Yards to Square Miles Conversion (sq yd to sq mi) Convert 108 Acres To Miles Use the calculator above to convert between. To convert 108 acre to mile2 use direct. Calculate 108 acres, hectares, square feet (ft2, sq feet), square inches (in2, sq in), square kilometers (km2, sq km), square meters (meters2), square. How big is 108 acres? Convert 108 acres to square miles. To calculate 108 acres to the corresponding value in square miles,. Convert 108 Acres To Miles.
From zishankristyn.blogspot.com
How to calculate feet into acres ZishanKristyn Convert 108 Acres To Miles The acre [ac] to square mile [mi^2] conversion table and conversion steps. Learn how to convert from acres to square miles and what is the conversion factor as well as the conversion formula. Converting from 108 acres to a variety of units. How big is 108 acres? 35 rows 108 acres is equal to about 0.169 square miles. 108 square. Convert 108 Acres To Miles.
From bernardeviee.blogspot.com
How Many Miles Is 500 Acres BernardEviee Convert 108 Acres To Miles The acre [ac] to square mile [mi^2] conversion table and conversion steps. 35 rows 108 acres is equal to about 0.169 square miles. Convert 108 acres to square miles. What is 108 acres converted to square miles? Convert 108 acres to square miles (acre to mile2) with our conversion calculator and conversion tables. To calculate 108 acres to the corresponding. Convert 108 Acres To Miles.
From basiccalculator.in
Convert Acre to Hectare, Square Meter, Square Feet and Guntha Convert 108 Acres To Miles To calculate 108 acres to the corresponding value in square miles, multiply the quantity in acres by. Instant free online tool for acre to square mile conversion or vice versa. To convert 108 acre to mile2 use direct. The acre [ac] to square mile [mi^2] conversion table and conversion steps. Calculate 108 acres, hectares, square feet (ft2, sq feet), square. Convert 108 Acres To Miles.
From studydesshutsduphp.z21.web.core.windows.net
Liters To Lbs Converter Convert 108 Acres To Miles Convert 108 acres to square miles (acre to mile2) with our conversion calculator and conversion tables. Converting from 108 acres to a variety of units. To convert 108 acre to mile2 use direct. What is 108 acres converted to square miles? Instant free online tool for acre to square mile conversion or vice versa. 35 rows 108 acres is equal. Convert 108 Acres To Miles.