Complete Set Of Eigenvectors . eigenvalues and eigenvectors have new information about a square matrix—deeper than its rank or its column space. in this section we’ll explore how the eigenvalues and eigenvectors of a matrix relate to other properties of that. for a symmetric matrix with real number entries, the eigenvalues are real numbers and it’s possible to choose a complete set. so we know eigenvectors corresponding to a different eigenvalue are orthogonal to each other. we defined an eigenvector of a square matrix \(a\) to be a nonzero vector \(\mathbf v\) such that \(a\mathbf v =. Let a be an n × n matrix and let x ∈ cn be a nonzero vector for. the set of operators which generates a unique basis upon simultaneous diagonalization is called complete set of.
from www.numerade.com
eigenvalues and eigenvectors have new information about a square matrix—deeper than its rank or its column space. we defined an eigenvector of a square matrix \(a\) to be a nonzero vector \(\mathbf v\) such that \(a\mathbf v =. in this section we’ll explore how the eigenvalues and eigenvectors of a matrix relate to other properties of that. for a symmetric matrix with real number entries, the eigenvalues are real numbers and it’s possible to choose a complete set. Let a be an n × n matrix and let x ∈ cn be a nonzero vector for. the set of operators which generates a unique basis upon simultaneous diagonalization is called complete set of. so we know eigenvectors corresponding to a different eigenvalue are orthogonal to each other.
VIDEO solution Consider a 3level physical system possessing a Hamiltonian that is represented
Complete Set Of Eigenvectors in this section we’ll explore how the eigenvalues and eigenvectors of a matrix relate to other properties of that. so we know eigenvectors corresponding to a different eigenvalue are orthogonal to each other. for a symmetric matrix with real number entries, the eigenvalues are real numbers and it’s possible to choose a complete set. the set of operators which generates a unique basis upon simultaneous diagonalization is called complete set of. we defined an eigenvector of a square matrix \(a\) to be a nonzero vector \(\mathbf v\) such that \(a\mathbf v =. in this section we’ll explore how the eigenvalues and eigenvectors of a matrix relate to other properties of that. eigenvalues and eigenvectors have new information about a square matrix—deeper than its rank or its column space. Let a be an n × n matrix and let x ∈ cn be a nonzero vector for.
From www.numerade.com
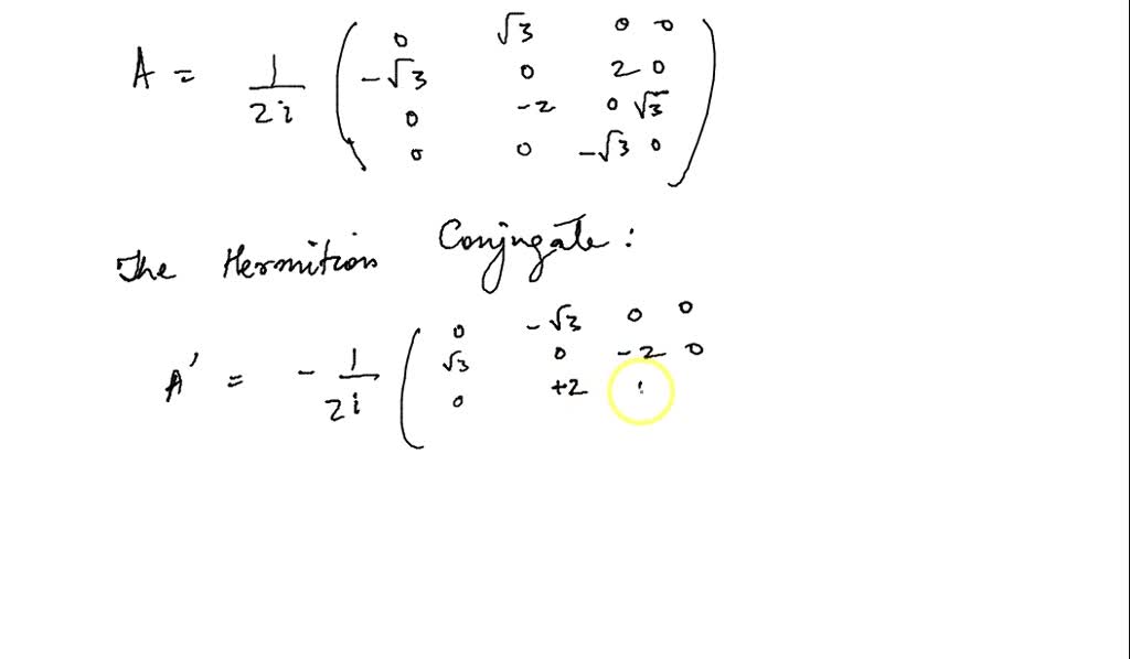
SOLVED For the following matrix V3 A = 2i 0 √3 Show that A is a Hermitian matrix. b. Find Complete Set Of Eigenvectors so we know eigenvectors corresponding to a different eigenvalue are orthogonal to each other. in this section we’ll explore how the eigenvalues and eigenvectors of a matrix relate to other properties of that. for a symmetric matrix with real number entries, the eigenvalues are real numbers and it’s possible to choose a complete set. eigenvalues and. Complete Set Of Eigenvectors.
From www.researchgate.net
Selected POD eigenvectors. (a)(e) Eigenvectors 15. (f) Eigenvector 20. Download Scientific Complete Set Of Eigenvectors eigenvalues and eigenvectors have new information about a square matrix—deeper than its rank or its column space. Let a be an n × n matrix and let x ∈ cn be a nonzero vector for. we defined an eigenvector of a square matrix \(a\) to be a nonzero vector \(\mathbf v\) such that \(a\mathbf v =. the. Complete Set Of Eigenvectors.
From www.numerade.com
SOLVEDUse some form of technology to determine a complete set of eigenvectors for the given Complete Set Of Eigenvectors so we know eigenvectors corresponding to a different eigenvalue are orthogonal to each other. Let a be an n × n matrix and let x ∈ cn be a nonzero vector for. we defined an eigenvector of a square matrix \(a\) to be a nonzero vector \(\mathbf v\) such that \(a\mathbf v =. in this section we’ll. Complete Set Of Eigenvectors.
From www.chegg.com
Solved 2) (i) find a complete set of eigenvectors and Complete Set Of Eigenvectors the set of operators which generates a unique basis upon simultaneous diagonalization is called complete set of. Let a be an n × n matrix and let x ∈ cn be a nonzero vector for. eigenvalues and eigenvectors have new information about a square matrix—deeper than its rank or its column space. for a symmetric matrix with. Complete Set Of Eigenvectors.
From www.youtube.com
Eigenvectors and Eigenvalues (Visual Explanation, No Sound) YouTube Complete Set Of Eigenvectors so we know eigenvectors corresponding to a different eigenvalue are orthogonal to each other. the set of operators which generates a unique basis upon simultaneous diagonalization is called complete set of. in this section we’ll explore how the eigenvalues and eigenvectors of a matrix relate to other properties of that. for a symmetric matrix with real. Complete Set Of Eigenvectors.
From gamma.app
Exploring Matrices, Eigenvalues, and Eigenvectors in Mathematics Complete Set Of Eigenvectors eigenvalues and eigenvectors have new information about a square matrix—deeper than its rank or its column space. Let a be an n × n matrix and let x ∈ cn be a nonzero vector for. in this section we’ll explore how the eigenvalues and eigenvectors of a matrix relate to other properties of that. we defined an. Complete Set Of Eigenvectors.
From www.numerade.com
VIDEO solution Consider a 3level physical system possessing a Hamiltonian that is represented Complete Set Of Eigenvectors in this section we’ll explore how the eigenvalues and eigenvectors of a matrix relate to other properties of that. we defined an eigenvector of a square matrix \(a\) to be a nonzero vector \(\mathbf v\) such that \(a\mathbf v =. for a symmetric matrix with real number entries, the eigenvalues are real numbers and it’s possible to. Complete Set Of Eigenvectors.
From www.chegg.com
Solved Find a complete set of orthonormal eigenvectors for Complete Set Of Eigenvectors eigenvalues and eigenvectors have new information about a square matrix—deeper than its rank or its column space. so we know eigenvectors corresponding to a different eigenvalue are orthogonal to each other. in this section we’ll explore how the eigenvalues and eigenvectors of a matrix relate to other properties of that. the set of operators which generates. Complete Set Of Eigenvectors.
From www.researchgate.net
Dendrogram derived from first three eigenvectors for different sample... Download Scientific Complete Set Of Eigenvectors in this section we’ll explore how the eigenvalues and eigenvectors of a matrix relate to other properties of that. eigenvalues and eigenvectors have new information about a square matrix—deeper than its rank or its column space. the set of operators which generates a unique basis upon simultaneous diagonalization is called complete set of. for a symmetric. Complete Set Of Eigenvectors.
From www.chegg.com
Solved Remember that the eigenvectors are a complete basis. Complete Set Of Eigenvectors the set of operators which generates a unique basis upon simultaneous diagonalization is called complete set of. Let a be an n × n matrix and let x ∈ cn be a nonzero vector for. we defined an eigenvector of a square matrix \(a\) to be a nonzero vector \(\mathbf v\) such that \(a\mathbf v =. in. Complete Set Of Eigenvectors.
From www.numerade.com
SOLVED For the following matrix V3 A = 2i 0 √3 Show that A is a Hermitian matrix. b. Find Complete Set Of Eigenvectors we defined an eigenvector of a square matrix \(a\) to be a nonzero vector \(\mathbf v\) such that \(a\mathbf v =. in this section we’ll explore how the eigenvalues and eigenvectors of a matrix relate to other properties of that. so we know eigenvectors corresponding to a different eigenvalue are orthogonal to each other. the set. Complete Set Of Eigenvectors.
From www.researchgate.net
First spatial eigenvectors of the tomographically Download Scientific Diagram Complete Set Of Eigenvectors eigenvalues and eigenvectors have new information about a square matrix—deeper than its rank or its column space. so we know eigenvectors corresponding to a different eigenvalue are orthogonal to each other. the set of operators which generates a unique basis upon simultaneous diagonalization is called complete set of. Let a be an n × n matrix and. Complete Set Of Eigenvectors.
From math.stackexchange.com
From eigenvectors, eigenvalues and the determinant of a matrix to the visual transformation Complete Set Of Eigenvectors eigenvalues and eigenvectors have new information about a square matrix—deeper than its rank or its column space. so we know eigenvectors corresponding to a different eigenvalue are orthogonal to each other. for a symmetric matrix with real number entries, the eigenvalues are real numbers and it’s possible to choose a complete set. Let a be an n. Complete Set Of Eigenvectors.
From www.researchgate.net
(a) Real part of the three normalized eigenvectors (EVs) of the... Download Scientific Diagram Complete Set Of Eigenvectors for a symmetric matrix with real number entries, the eigenvalues are real numbers and it’s possible to choose a complete set. the set of operators which generates a unique basis upon simultaneous diagonalization is called complete set of. eigenvalues and eigenvectors have new information about a square matrix—deeper than its rank or its column space. in. Complete Set Of Eigenvectors.
From www.researchgate.net
3. The first 12 eigenvectors of the complete dataset are displayed.... Download Scientific Diagram Complete Set Of Eigenvectors for a symmetric matrix with real number entries, the eigenvalues are real numbers and it’s possible to choose a complete set. we defined an eigenvector of a square matrix \(a\) to be a nonzero vector \(\mathbf v\) such that \(a\mathbf v =. Let a be an n × n matrix and let x ∈ cn be a nonzero. Complete Set Of Eigenvectors.
From studylib.net
Chapter 10 Eigenvectors and Eigenvalues Complete Set Of Eigenvectors the set of operators which generates a unique basis upon simultaneous diagonalization is called complete set of. eigenvalues and eigenvectors have new information about a square matrix—deeper than its rank or its column space. we defined an eigenvector of a square matrix \(a\) to be a nonzero vector \(\mathbf v\) such that \(a\mathbf v =. in. Complete Set Of Eigenvectors.
From www.numerade.com
SOLVED Consider a particle with angular momentum j=1. (a) Write down the three basis states Complete Set Of Eigenvectors eigenvalues and eigenvectors have new information about a square matrix—deeper than its rank or its column space. for a symmetric matrix with real number entries, the eigenvalues are real numbers and it’s possible to choose a complete set. in this section we’ll explore how the eigenvalues and eigenvectors of a matrix relate to other properties of that.. Complete Set Of Eigenvectors.
From github.com
GitHub ozlemekici/Finding_Eigenvectors_by_dot_product Finding Eigenvectors and Eigenvalues by Complete Set Of Eigenvectors in this section we’ll explore how the eigenvalues and eigenvectors of a matrix relate to other properties of that. for a symmetric matrix with real number entries, the eigenvalues are real numbers and it’s possible to choose a complete set. so we know eigenvectors corresponding to a different eigenvalue are orthogonal to each other. Let a be. Complete Set Of Eigenvectors.
From slideplayer.com
Linear Algebra Lecture ppt download Complete Set Of Eigenvectors for a symmetric matrix with real number entries, the eigenvalues are real numbers and it’s possible to choose a complete set. we defined an eigenvector of a square matrix \(a\) to be a nonzero vector \(\mathbf v\) such that \(a\mathbf v =. in this section we’ll explore how the eigenvalues and eigenvectors of a matrix relate to. Complete Set Of Eigenvectors.
From www.numerade.com
SOLVED Consider a particle with angular momentum j=1. (a) Write down the three basis states Complete Set Of Eigenvectors in this section we’ll explore how the eigenvalues and eigenvectors of a matrix relate to other properties of that. for a symmetric matrix with real number entries, the eigenvalues are real numbers and it’s possible to choose a complete set. eigenvalues and eigenvectors have new information about a square matrix—deeper than its rank or its column space.. Complete Set Of Eigenvectors.
From www.researchgate.net
Dendrogram derived from first six eigenvectors of various sample sizes... Download Scientific Complete Set Of Eigenvectors we defined an eigenvector of a square matrix \(a\) to be a nonzero vector \(\mathbf v\) such that \(a\mathbf v =. the set of operators which generates a unique basis upon simultaneous diagonalization is called complete set of. Let a be an n × n matrix and let x ∈ cn be a nonzero vector for. for. Complete Set Of Eigenvectors.
From www.scribd.com
Ae401 ch04 PDF Eigenvalues And Eigenvectors Differential Equations Complete Set Of Eigenvectors for a symmetric matrix with real number entries, the eigenvalues are real numbers and it’s possible to choose a complete set. so we know eigenvectors corresponding to a different eigenvalue are orthogonal to each other. we defined an eigenvector of a square matrix \(a\) to be a nonzero vector \(\mathbf v\) such that \(a\mathbf v =. . Complete Set Of Eigenvectors.
From www.researchgate.net
Dendrogram derived from first two eigenvectors for various sample sizes... Download Scientific Complete Set Of Eigenvectors Let a be an n × n matrix and let x ∈ cn be a nonzero vector for. the set of operators which generates a unique basis upon simultaneous diagonalization is called complete set of. so we know eigenvectors corresponding to a different eigenvalue are orthogonal to each other. eigenvalues and eigenvectors have new information about a. Complete Set Of Eigenvectors.
From www.numerade.com
SOLVED The Hamiltonian for the quantum mechanical harmonic oscillator is H = T + V = 2mω^2x^2/ Complete Set Of Eigenvectors for a symmetric matrix with real number entries, the eigenvalues are real numbers and it’s possible to choose a complete set. eigenvalues and eigenvectors have new information about a square matrix—deeper than its rank or its column space. we defined an eigenvector of a square matrix \(a\) to be a nonzero vector \(\mathbf v\) such that \(a\mathbf. Complete Set Of Eigenvectors.
From slideplayer.com
Electronic Structure Theory ppt download Complete Set Of Eigenvectors in this section we’ll explore how the eigenvalues and eigenvectors of a matrix relate to other properties of that. eigenvalues and eigenvectors have new information about a square matrix—deeper than its rank or its column space. for a symmetric matrix with real number entries, the eigenvalues are real numbers and it’s possible to choose a complete set.. Complete Set Of Eigenvectors.
From www.numerade.com
SOLVED Section 9 Given a set of normalized states () one can define the projection operator (1 Complete Set Of Eigenvectors eigenvalues and eigenvectors have new information about a square matrix—deeper than its rank or its column space. Let a be an n × n matrix and let x ∈ cn be a nonzero vector for. we defined an eigenvector of a square matrix \(a\) to be a nonzero vector \(\mathbf v\) such that \(a\mathbf v =. in. Complete Set Of Eigenvectors.
From dokumen.tips
(PDF) ALJABAR MATRIKS · Eigenvalues and Eigenvectors For a matrix A with eigenvectors l, a Complete Set Of Eigenvectors in this section we’ll explore how the eigenvalues and eigenvectors of a matrix relate to other properties of that. eigenvalues and eigenvectors have new information about a square matrix—deeper than its rank or its column space. the set of operators which generates a unique basis upon simultaneous diagonalization is called complete set of. Let a be an. Complete Set Of Eigenvectors.
From www.youtube.com
Find Eigenvalues, Orthonormal eigenvectors , Diagonazible Linear Algebra YouTube Complete Set Of Eigenvectors in this section we’ll explore how the eigenvalues and eigenvectors of a matrix relate to other properties of that. Let a be an n × n matrix and let x ∈ cn be a nonzero vector for. so we know eigenvectors corresponding to a different eigenvalue are orthogonal to each other. for a symmetric matrix with real. Complete Set Of Eigenvectors.
From www.researchgate.net
First and second eigenvectors using one of the datasets in simulation... Download Scientific Complete Set Of Eigenvectors eigenvalues and eigenvectors have new information about a square matrix—deeper than its rank or its column space. so we know eigenvectors corresponding to a different eigenvalue are orthogonal to each other. the set of operators which generates a unique basis upon simultaneous diagonalization is called complete set of. for a symmetric matrix with real number entries,. Complete Set Of Eigenvectors.
From www.numerade.com
SOLVED Consider a physical system whose threedimensional state space is spanned by the Complete Set Of Eigenvectors we defined an eigenvector of a square matrix \(a\) to be a nonzero vector \(\mathbf v\) such that \(a\mathbf v =. the set of operators which generates a unique basis upon simultaneous diagonalization is called complete set of. eigenvalues and eigenvectors have new information about a square matrix—deeper than its rank or its column space. for. Complete Set Of Eigenvectors.
From www.researchgate.net
Dendrogram derived from first five eigenvectors of various sample sizes... Download Scientific Complete Set Of Eigenvectors so we know eigenvectors corresponding to a different eigenvalue are orthogonal to each other. in this section we’ll explore how the eigenvalues and eigenvectors of a matrix relate to other properties of that. eigenvalues and eigenvectors have new information about a square matrix—deeper than its rank or its column space. the set of operators which generates. Complete Set Of Eigenvectors.
From www.slideserve.com
PPT Chapter 6 Eigenvalues and Eigenvectors PowerPoint Presentation, free download ID1800950 Complete Set Of Eigenvectors for a symmetric matrix with real number entries, the eigenvalues are real numbers and it’s possible to choose a complete set. we defined an eigenvector of a square matrix \(a\) to be a nonzero vector \(\mathbf v\) such that \(a\mathbf v =. the set of operators which generates a unique basis upon simultaneous diagonalization is called complete. Complete Set Of Eigenvectors.
From jmfgrputpi.blogspot.com
How To Find Eigenvectors The following are the steps to find eigenvectors of a matrix Complete Set Of Eigenvectors we defined an eigenvector of a square matrix \(a\) to be a nonzero vector \(\mathbf v\) such that \(a\mathbf v =. in this section we’ll explore how the eigenvalues and eigenvectors of a matrix relate to other properties of that. Let a be an n × n matrix and let x ∈ cn be a nonzero vector for.. Complete Set Of Eigenvectors.
From www.researchgate.net
(PDF) Direct Solution to Find the Eigenvectors of a Dynamic Modal Analysis Complete Set Of Eigenvectors in this section we’ll explore how the eigenvalues and eigenvectors of a matrix relate to other properties of that. we defined an eigenvector of a square matrix \(a\) to be a nonzero vector \(\mathbf v\) such that \(a\mathbf v =. the set of operators which generates a unique basis upon simultaneous diagonalization is called complete set of.. Complete Set Of Eigenvectors.
From www.chegg.com
Solved 1) Suppose there are two observables A and B, with Complete Set Of Eigenvectors for a symmetric matrix with real number entries, the eigenvalues are real numbers and it’s possible to choose a complete set. we defined an eigenvector of a square matrix \(a\) to be a nonzero vector \(\mathbf v\) such that \(a\mathbf v =. in this section we’ll explore how the eigenvalues and eigenvectors of a matrix relate to. Complete Set Of Eigenvectors.