Hydrobromic Acid With Magnesium Hydroxide Formula . the chemical formula of the salt produced by the neutralization of hydrobromic acid (hbr) with magnesium. 100% (8 ratings) share share. hydrobromic acid is an aqueous solution of hydrogen bromide. Your solution’s ready to go! the neutralization is a distinct reaction for an acid such as hydrobromic acid reacting with the base magnesium hydroxide. It is a strong acid formed by dissolving the diatomic molecule. Enter for formula of the salt formed when hydrobromic acid reacts with magnesium hydroxide. enter for formula of the salt formed when hydrobromic acid reacts with magnesium hydroxide. Mg (oh)2 (aq) + 2hbr.
from www.numerade.com
Mg (oh)2 (aq) + 2hbr. hydrobromic acid is an aqueous solution of hydrogen bromide. the chemical formula of the salt produced by the neutralization of hydrobromic acid (hbr) with magnesium. It is a strong acid formed by dissolving the diatomic molecule. Your solution’s ready to go! 100% (8 ratings) share share. the neutralization is a distinct reaction for an acid such as hydrobromic acid reacting with the base magnesium hydroxide. enter for formula of the salt formed when hydrobromic acid reacts with magnesium hydroxide. Enter for formula of the salt formed when hydrobromic acid reacts with magnesium hydroxide.
SOLVED (a) Write chemical equations which show what happens when the
Hydrobromic Acid With Magnesium Hydroxide Formula enter for formula of the salt formed when hydrobromic acid reacts with magnesium hydroxide. Enter for formula of the salt formed when hydrobromic acid reacts with magnesium hydroxide. Mg (oh)2 (aq) + 2hbr. It is a strong acid formed by dissolving the diatomic molecule. the chemical formula of the salt produced by the neutralization of hydrobromic acid (hbr) with magnesium. hydrobromic acid is an aqueous solution of hydrogen bromide. enter for formula of the salt formed when hydrobromic acid reacts with magnesium hydroxide. 100% (8 ratings) share share. Your solution’s ready to go! the neutralization is a distinct reaction for an acid such as hydrobromic acid reacting with the base magnesium hydroxide.
From www.shutterstock.com
Magnesium Hydroxide Formula Handwritten Chemical Formula Stock Hydrobromic Acid With Magnesium Hydroxide Formula Your solution’s ready to go! Enter for formula of the salt formed when hydrobromic acid reacts with magnesium hydroxide. hydrobromic acid is an aqueous solution of hydrogen bromide. 100% (8 ratings) share share. the neutralization is a distinct reaction for an acid such as hydrobromic acid reacting with the base magnesium hydroxide. enter for formula of the. Hydrobromic Acid With Magnesium Hydroxide Formula.
From www.numerade.com
Solid aluminum hydroxide reacts with a solution of hydrobromic acid Hydrobromic Acid With Magnesium Hydroxide Formula the chemical formula of the salt produced by the neutralization of hydrobromic acid (hbr) with magnesium. Your solution’s ready to go! hydrobromic acid is an aqueous solution of hydrogen bromide. the neutralization is a distinct reaction for an acid such as hydrobromic acid reacting with the base magnesium hydroxide. enter for formula of the salt formed. Hydrobromic Acid With Magnesium Hydroxide Formula.
From www.youtube.com
How to write the formula for Hydrobromic acid (HBr) YouTube Hydrobromic Acid With Magnesium Hydroxide Formula 100% (8 ratings) share share. hydrobromic acid is an aqueous solution of hydrogen bromide. Mg (oh)2 (aq) + 2hbr. Your solution’s ready to go! Enter for formula of the salt formed when hydrobromic acid reacts with magnesium hydroxide. enter for formula of the salt formed when hydrobromic acid reacts with magnesium hydroxide. the chemical formula of the. Hydrobromic Acid With Magnesium Hydroxide Formula.
From www.shutterstock.com
Magnesium Hydroxide Formula Handwritten Chemical Formula Stock Hydrobromic Acid With Magnesium Hydroxide Formula the neutralization is a distinct reaction for an acid such as hydrobromic acid reacting with the base magnesium hydroxide. enter for formula of the salt formed when hydrobromic acid reacts with magnesium hydroxide. Enter for formula of the salt formed when hydrobromic acid reacts with magnesium hydroxide. Mg (oh)2 (aq) + 2hbr. It is a strong acid formed. Hydrobromic Acid With Magnesium Hydroxide Formula.
From www.numerade.com
SOLVED A solution of hydrobromic acid is neutralized by a solution of Hydrobromic Acid With Magnesium Hydroxide Formula Enter for formula of the salt formed when hydrobromic acid reacts with magnesium hydroxide. hydrobromic acid is an aqueous solution of hydrogen bromide. 100% (8 ratings) share share. It is a strong acid formed by dissolving the diatomic molecule. the chemical formula of the salt produced by the neutralization of hydrobromic acid (hbr) with magnesium. Your solution’s ready. Hydrobromic Acid With Magnesium Hydroxide Formula.
From www.numerade.com
SOLVED Write a balanced equation for the reaction of hydrochloric acid Hydrobromic Acid With Magnesium Hydroxide Formula hydrobromic acid is an aqueous solution of hydrogen bromide. the chemical formula of the salt produced by the neutralization of hydrobromic acid (hbr) with magnesium. the neutralization is a distinct reaction for an acid such as hydrobromic acid reacting with the base magnesium hydroxide. Your solution’s ready to go! 100% (8 ratings) share share. Enter for formula. Hydrobromic Acid With Magnesium Hydroxide Formula.
From www.numerade.com
SOLVED write a balanced chemical equation for the dissociation of Hydrobromic Acid With Magnesium Hydroxide Formula Mg (oh)2 (aq) + 2hbr. the neutralization is a distinct reaction for an acid such as hydrobromic acid reacting with the base magnesium hydroxide. Your solution’s ready to go! It is a strong acid formed by dissolving the diatomic molecule. enter for formula of the salt formed when hydrobromic acid reacts with magnesium hydroxide. Enter for formula of. Hydrobromic Acid With Magnesium Hydroxide Formula.
From www.youtube.com
Is Mg(OH)2, Magnesium Hydroxide, an Acid, Base, or Neutral? YouTube Hydrobromic Acid With Magnesium Hydroxide Formula hydrobromic acid is an aqueous solution of hydrogen bromide. Your solution’s ready to go! It is a strong acid formed by dissolving the diatomic molecule. 100% (8 ratings) share share. the chemical formula of the salt produced by the neutralization of hydrobromic acid (hbr) with magnesium. the neutralization is a distinct reaction for an acid such as. Hydrobromic Acid With Magnesium Hydroxide Formula.
From www.numerade.com
SOLVED Write the formula equation from the word equation Include Hydrobromic Acid With Magnesium Hydroxide Formula Your solution’s ready to go! 100% (8 ratings) share share. Enter for formula of the salt formed when hydrobromic acid reacts with magnesium hydroxide. the neutralization is a distinct reaction for an acid such as hydrobromic acid reacting with the base magnesium hydroxide. enter for formula of the salt formed when hydrobromic acid reacts with magnesium hydroxide. . Hydrobromic Acid With Magnesium Hydroxide Formula.
From brainly.in
9.Write the chemical formula (i) Hydrochloric acid (ii) Magnesium Hydrobromic Acid With Magnesium Hydroxide Formula It is a strong acid formed by dissolving the diatomic molecule. the neutralization is a distinct reaction for an acid such as hydrobromic acid reacting with the base magnesium hydroxide. Enter for formula of the salt formed when hydrobromic acid reacts with magnesium hydroxide. 100% (8 ratings) share share. enter for formula of the salt formed when hydrobromic. Hydrobromic Acid With Magnesium Hydroxide Formula.
From www.numerade.com
SOLVED A Complete the table with the correct information about the Hydrobromic Acid With Magnesium Hydroxide Formula 100% (8 ratings) share share. hydrobromic acid is an aqueous solution of hydrogen bromide. It is a strong acid formed by dissolving the diatomic molecule. the neutralization is a distinct reaction for an acid such as hydrobromic acid reacting with the base magnesium hydroxide. the chemical formula of the salt produced by the neutralization of hydrobromic acid. Hydrobromic Acid With Magnesium Hydroxide Formula.
From www.slideserve.com
PPT Sodium hydroxide and hydrobromic acid PowerPoint Presentation Hydrobromic Acid With Magnesium Hydroxide Formula Mg (oh)2 (aq) + 2hbr. enter for formula of the salt formed when hydrobromic acid reacts with magnesium hydroxide. the neutralization is a distinct reaction for an acid such as hydrobromic acid reacting with the base magnesium hydroxide. Enter for formula of the salt formed when hydrobromic acid reacts with magnesium hydroxide. Your solution’s ready to go! 100%. Hydrobromic Acid With Magnesium Hydroxide Formula.
From solvedlib.com
Magnesium hydroxide reacts with hydrochloric acid to … SolvedLib Hydrobromic Acid With Magnesium Hydroxide Formula Your solution’s ready to go! the chemical formula of the salt produced by the neutralization of hydrobromic acid (hbr) with magnesium. Enter for formula of the salt formed when hydrobromic acid reacts with magnesium hydroxide. 100% (8 ratings) share share. hydrobromic acid is an aqueous solution of hydrogen bromide. enter for formula of the salt formed when. Hydrobromic Acid With Magnesium Hydroxide Formula.
From www.toppr.com
Write the chemical formula of magnesium hydroxide. Hydrobromic Acid With Magnesium Hydroxide Formula the chemical formula of the salt produced by the neutralization of hydrobromic acid (hbr) with magnesium. Your solution’s ready to go! enter for formula of the salt formed when hydrobromic acid reacts with magnesium hydroxide. hydrobromic acid is an aqueous solution of hydrogen bromide. Mg (oh)2 (aq) + 2hbr. 100% (8 ratings) share share. the neutralization. Hydrobromic Acid With Magnesium Hydroxide Formula.
From www.numerade.com
SOLVEDand net ionic equation for the following eactions Write Hydrobromic Acid With Magnesium Hydroxide Formula the neutralization is a distinct reaction for an acid such as hydrobromic acid reacting with the base magnesium hydroxide. It is a strong acid formed by dissolving the diatomic molecule. Your solution’s ready to go! Enter for formula of the salt formed when hydrobromic acid reacts with magnesium hydroxide. Mg (oh)2 (aq) + 2hbr. the chemical formula of. Hydrobromic Acid With Magnesium Hydroxide Formula.
From slideplayer.com
Acids and Bases. ppt download Hydrobromic Acid With Magnesium Hydroxide Formula the neutralization is a distinct reaction for an acid such as hydrobromic acid reacting with the base magnesium hydroxide. 100% (8 ratings) share share. Enter for formula of the salt formed when hydrobromic acid reacts with magnesium hydroxide. enter for formula of the salt formed when hydrobromic acid reacts with magnesium hydroxide. hydrobromic acid is an aqueous. Hydrobromic Acid With Magnesium Hydroxide Formula.
From mavink.com
Magnesium And Hcl Reaction Hydrobromic Acid With Magnesium Hydroxide Formula hydrobromic acid is an aqueous solution of hydrogen bromide. the chemical formula of the salt produced by the neutralization of hydrobromic acid (hbr) with magnesium. the neutralization is a distinct reaction for an acid such as hydrobromic acid reacting with the base magnesium hydroxide. It is a strong acid formed by dissolving the diatomic molecule. 100% (8. Hydrobromic Acid With Magnesium Hydroxide Formula.
From www.youtube.com
How to Write the Net Ionic Equation for HBr + Mg(OH)2 = MgBr2 + H2O Hydrobromic Acid With Magnesium Hydroxide Formula Your solution’s ready to go! It is a strong acid formed by dissolving the diatomic molecule. hydrobromic acid is an aqueous solution of hydrogen bromide. Mg (oh)2 (aq) + 2hbr. enter for formula of the salt formed when hydrobromic acid reacts with magnesium hydroxide. the chemical formula of the salt produced by the neutralization of hydrobromic acid. Hydrobromic Acid With Magnesium Hydroxide Formula.
From ar.inspiredpencil.com
Magnesium Hydroxide Formula Hydrobromic Acid With Magnesium Hydroxide Formula the chemical formula of the salt produced by the neutralization of hydrobromic acid (hbr) with magnesium. It is a strong acid formed by dissolving the diatomic molecule. Mg (oh)2 (aq) + 2hbr. hydrobromic acid is an aqueous solution of hydrogen bromide. enter for formula of the salt formed when hydrobromic acid reacts with magnesium hydroxide. Your solution’s. Hydrobromic Acid With Magnesium Hydroxide Formula.
From questions.kunduz.com
Write a balanced chemical equation for t... Chemistry Hydrobromic Acid With Magnesium Hydroxide Formula It is a strong acid formed by dissolving the diatomic molecule. Enter for formula of the salt formed when hydrobromic acid reacts with magnesium hydroxide. hydrobromic acid is an aqueous solution of hydrogen bromide. the neutralization is a distinct reaction for an acid such as hydrobromic acid reacting with the base magnesium hydroxide. 100% (8 ratings) share share.. Hydrobromic Acid With Magnesium Hydroxide Formula.
From www.youtube.com
How to write the formula for magnesium hydroxide YouTube Hydrobromic Acid With Magnesium Hydroxide Formula 100% (8 ratings) share share. the neutralization is a distinct reaction for an acid such as hydrobromic acid reacting with the base magnesium hydroxide. Mg (oh)2 (aq) + 2hbr. Your solution’s ready to go! Enter for formula of the salt formed when hydrobromic acid reacts with magnesium hydroxide. hydrobromic acid is an aqueous solution of hydrogen bromide. It. Hydrobromic Acid With Magnesium Hydroxide Formula.
From www.chegg.com
Solved 1 6. (25pts)Magnesium Hydrobromic Acid With Magnesium Hydroxide Formula the neutralization is a distinct reaction for an acid such as hydrobromic acid reacting with the base magnesium hydroxide. hydrobromic acid is an aqueous solution of hydrogen bromide. the chemical formula of the salt produced by the neutralization of hydrobromic acid (hbr) with magnesium. enter for formula of the salt formed when hydrobromic acid reacts with. Hydrobromic Acid With Magnesium Hydroxide Formula.
From exolgpkoq.blob.core.windows.net
Magnesium Citrate Reaction at Anthony Buskirk blog Hydrobromic Acid With Magnesium Hydroxide Formula Enter for formula of the salt formed when hydrobromic acid reacts with magnesium hydroxide. 100% (8 ratings) share share. hydrobromic acid is an aqueous solution of hydrogen bromide. Mg (oh)2 (aq) + 2hbr. enter for formula of the salt formed when hydrobromic acid reacts with magnesium hydroxide. Your solution’s ready to go! the chemical formula of the. Hydrobromic Acid With Magnesium Hydroxide Formula.
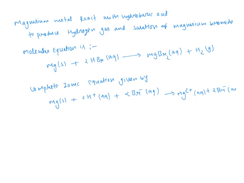
From www.numerade.com
SOLVED Magnesium metal reacts with hydrobromic acid to produce Hydrobromic Acid With Magnesium Hydroxide Formula Enter for formula of the salt formed when hydrobromic acid reacts with magnesium hydroxide. enter for formula of the salt formed when hydrobromic acid reacts with magnesium hydroxide. It is a strong acid formed by dissolving the diatomic molecule. Mg (oh)2 (aq) + 2hbr. Your solution’s ready to go! the chemical formula of the salt produced by the. Hydrobromic Acid With Magnesium Hydroxide Formula.
From quizdbdisfeature.z4.web.core.windows.net
Magnesium Hydroxide Formula Compound Hydrobromic Acid With Magnesium Hydroxide Formula Your solution’s ready to go! hydrobromic acid is an aqueous solution of hydrogen bromide. 100% (8 ratings) share share. Mg (oh)2 (aq) + 2hbr. enter for formula of the salt formed when hydrobromic acid reacts with magnesium hydroxide. Enter for formula of the salt formed when hydrobromic acid reacts with magnesium hydroxide. It is a strong acid formed. Hydrobromic Acid With Magnesium Hydroxide Formula.
From www.numerade.com
SOLVED For each chemical reaction written below, write chemical Hydrobromic Acid With Magnesium Hydroxide Formula hydrobromic acid is an aqueous solution of hydrogen bromide. It is a strong acid formed by dissolving the diatomic molecule. 100% (8 ratings) share share. Mg (oh)2 (aq) + 2hbr. the chemical formula of the salt produced by the neutralization of hydrobromic acid (hbr) with magnesium. Your solution’s ready to go! the neutralization is a distinct reaction. Hydrobromic Acid With Magnesium Hydroxide Formula.
From www.slideserve.com
PPT Sodium hydroxide and hydrobromic acid PowerPoint Presentation Hydrobromic Acid With Magnesium Hydroxide Formula Mg (oh)2 (aq) + 2hbr. hydrobromic acid is an aqueous solution of hydrogen bromide. the neutralization is a distinct reaction for an acid such as hydrobromic acid reacting with the base magnesium hydroxide. It is a strong acid formed by dissolving the diatomic molecule. enter for formula of the salt formed when hydrobromic acid reacts with magnesium. Hydrobromic Acid With Magnesium Hydroxide Formula.
From exopiharb.blob.core.windows.net
Magnesium Hydroxide And Formula at Mary Starkes blog Hydrobromic Acid With Magnesium Hydroxide Formula the neutralization is a distinct reaction for an acid such as hydrobromic acid reacting with the base magnesium hydroxide. Enter for formula of the salt formed when hydrobromic acid reacts with magnesium hydroxide. Your solution’s ready to go! hydrobromic acid is an aqueous solution of hydrogen bromide. enter for formula of the salt formed when hydrobromic acid. Hydrobromic Acid With Magnesium Hydroxide Formula.
From infinitylearn.com
Magnesium hydroxide Formula Infinity Learn Hydrobromic Acid With Magnesium Hydroxide Formula the neutralization is a distinct reaction for an acid such as hydrobromic acid reacting with the base magnesium hydroxide. Your solution’s ready to go! It is a strong acid formed by dissolving the diatomic molecule. enter for formula of the salt formed when hydrobromic acid reacts with magnesium hydroxide. Mg (oh)2 (aq) + 2hbr. the chemical formula. Hydrobromic Acid With Magnesium Hydroxide Formula.
From hadassah-blogmercer.blogspot.com
Ionic Equation of Magnesium and Hydrochloric Acid Hydrobromic Acid With Magnesium Hydroxide Formula the neutralization is a distinct reaction for an acid such as hydrobromic acid reacting with the base magnesium hydroxide. Your solution’s ready to go! It is a strong acid formed by dissolving the diatomic molecule. the chemical formula of the salt produced by the neutralization of hydrobromic acid (hbr) with magnesium. Mg (oh)2 (aq) + 2hbr. 100% (8. Hydrobromic Acid With Magnesium Hydroxide Formula.
From www.thesciencehive.co.uk
Acids, Bases and Salt Preparations (GCSE) — the science hive Hydrobromic Acid With Magnesium Hydroxide Formula hydrobromic acid is an aqueous solution of hydrogen bromide. It is a strong acid formed by dissolving the diatomic molecule. Mg (oh)2 (aq) + 2hbr. 100% (8 ratings) share share. the chemical formula of the salt produced by the neutralization of hydrobromic acid (hbr) with magnesium. Your solution’s ready to go! Enter for formula of the salt formed. Hydrobromic Acid With Magnesium Hydroxide Formula.
From paperap.com
Hydrobromic Acid With Magnesium Free Essay Example Hydrobromic Acid With Magnesium Hydroxide Formula Enter for formula of the salt formed when hydrobromic acid reacts with magnesium hydroxide. Mg (oh)2 (aq) + 2hbr. hydrobromic acid is an aqueous solution of hydrogen bromide. enter for formula of the salt formed when hydrobromic acid reacts with magnesium hydroxide. the neutralization is a distinct reaction for an acid such as hydrobromic acid reacting with. Hydrobromic Acid With Magnesium Hydroxide Formula.
From www.numerade.com
SOLVED Aqueous hydrobromic acid (HBr) reacts with solid sodium Hydrobromic Acid With Magnesium Hydroxide Formula hydrobromic acid is an aqueous solution of hydrogen bromide. the chemical formula of the salt produced by the neutralization of hydrobromic acid (hbr) with magnesium. Enter for formula of the salt formed when hydrobromic acid reacts with magnesium hydroxide. Mg (oh)2 (aq) + 2hbr. It is a strong acid formed by dissolving the diatomic molecule. the neutralization. Hydrobromic Acid With Magnesium Hydroxide Formula.
From slideplayer.com
Acids and Bases L. ppt download Hydrobromic Acid With Magnesium Hydroxide Formula Mg (oh)2 (aq) + 2hbr. hydrobromic acid is an aqueous solution of hydrogen bromide. It is a strong acid formed by dissolving the diatomic molecule. the neutralization is a distinct reaction for an acid such as hydrobromic acid reacting with the base magnesium hydroxide. 100% (8 ratings) share share. Enter for formula of the salt formed when hydrobromic. Hydrobromic Acid With Magnesium Hydroxide Formula.
From www.numerade.com
SOLVED (a) Write chemical equations which show what happens when the Hydrobromic Acid With Magnesium Hydroxide Formula 100% (8 ratings) share share. Enter for formula of the salt formed when hydrobromic acid reacts with magnesium hydroxide. the neutralization is a distinct reaction for an acid such as hydrobromic acid reacting with the base magnesium hydroxide. enter for formula of the salt formed when hydrobromic acid reacts with magnesium hydroxide. hydrobromic acid is an aqueous. Hydrobromic Acid With Magnesium Hydroxide Formula.